서론
필터층의 설치는 우물에서의 급격한 효율저하를 방지하기 위하여 우물의 스크린 주변에 양호한 투수성대를 형성시켜주는 인공 우물개량의 한 방법이다(Driscoll, Fletcher G, 1986; Han, 1998). 충적층 우물의 취수량, 취수효율 및 장기적인 안정성 등은 정호설치 지점의 지하수위 분포상태, 토층 구성상태에 따른 수리지질조건, 스크린의 성능, 필터층의 유무 및 조건 등에 의해 좌우된다(Song et al., 2016).
취수정의 효율과 필터조건에 대한 많은 연구가 수행된 바 있다. Smith (1954)는 최상의 취수량 확보를 위한 대수층의 입도 대비 필터재의 특정입도와의 비를 4~6 사이로 제시하였다. Blair (1970)는 효과적인 필터층 설계를 위해 최적 입경, 입자형태, 두께에 대한 권장안을 제시하였다. Rafferty (2001)는 필터재의 효율적인 입경, 균질계수, 두께, 형태, 배치에 관한 가이드라인 등을 포함하는 설계안을 제시하였다. 또한, Kim (2014)은 이중필터팩과 단일필터팩에 대한 수리전도도와 우물효율을 분석하여 필터조건이 수리특성과 우물효율에 미치는 영향을 분석하였다. 또한, Song et al. (2016; 2017)은 자유면대수층을 모사하여 필터층이 취수량 및 우물효율에 미치는 영향을 실내시험을 통해 분석하였다. 이와 같이 우물의 효율을 개선하기 위해서 다양한 연구들이 수행되어 왔고 필터층의 설계조건에 따라 우물을 개선시킬 수 있음이 연구된 바 있다(Kim, 2014).
단계양수시험(step-drawdown test)은 일정한 시간간격으로 양수량을 증가시켜가면서 우물의 수위강하 또는 인접한 관측정의 수위강하를 측정함으로써 적정양수량 및 관정의 효율 평가가 가능하다(Dawson and Istok, 1991; Kruseman and de Ridder, 1991; Han, 1998).
장기양수시험은 장시간(10시간 이상)에 걸친 양수를 중단 없이 수행하는 것을 원칙으로 하며, 시간, 양수량, 수위강하량의 관계를 분석하여 수리특성 및 장기적 효율을 평가할 수 있다.
본 연구는 토층으로 이루어진 자유면대수층에서 단계 및 변형된 장기양수시험을 실시하여 필터 조건에 따른 초기 취수량, 투수특성, 적정양수량, 장기적인 안정성을 평가하기 위하여 수행하였다. 이를 위하여 입도가 다른 충적층(모래층, 자갈층) 조건에 다양한 필터조건을 형성시킨 모형시험장치를 제작한 후 단계양수시험 및 장기적인 양수량의 변화를 확인하고자 변형된 장기양수시험을 수행하고 그 결과를 분석하여 필터조건과의 연관성을 도출하고자 하였다. 본 연구는 Song et al. (2017)의 후속 연구로 진행되었으며, 연구의 결과는 추후 수행예정인 현장실증시험의 기초자료로 활용할 예정이다.
시험조건
장치제작
실내모형시험을 수행하기 위해 시험장치를 제작하였다. 시험장치는 안정적으로 용수를 공급하기 위한 용수공급조, 강변의 대수층을 모사하는 시험조, 시험조의 스크린을 통해 지하수를 배출하는 배수펌프, 배수펌프를 통하여 배출되는 물의 양을 측정하기 위한 유량계, 필터층 형성을 위한 원형 케이싱으로 구성된다(Fig. 1). 펌프 배관에 밸브를 장착, 시험조에서 유출되는 유량을 조절하여 시험조 수위가 일정하게 유지될 수 있도록 하였으며, 시험조에 유입된 물이 필터층을 지나 스크린을 통해 배출될 때 시간에 따른 유량의 변화를 관찰하기 위하여 유량계를 설치하였다. 유량계를 통해 유출된 용수는 시험조 용수공급부로 재공급 되도록 배관을 설치하였다(Fig. 1). 또한, 용수공급이 부족 할 경우를 대비하여 용수공급조를 추가 설치하여 부족한 용수를 공급하도록 계획하였으며, 용수공급이 과다할 경우를 대비하여 시험조에 수위유지선 높이에 유출배관을 설치하였다. 이중필터를 적용하여 실험하는 경우 필터재의 두께는 총 30 cm로 설정하였으며, 단일필터의 경우 필터재의 두께는 10 cm와 30 cm를 적용하였다. 관측정1 (OW-1)은 취수정에서 60 cm 이격하여 설치하였으며, 관측정2 (OW-2)는 100 cm 이격하여 설치하였다. 원수유입관 지점의 지하수위는 항상 65 cm를 유지하도록 설계하였다(Figs. 2 and 3).
대수층 및 필터재 선정
실내시험에서 적용된 대수층 중 지반조건-1(모래층) 및 지반조건-2(자갈층) 원재료는 강원도 원주시 호저면 무장리 일원(골재채취장) 하상에 분포하는 충적층 시료를 채취하여 사용하였다. 대수층의 모래층 대표시료는 충적층 시료에 입도분포 0.80 mm 이하의 실트를 혼합하여 총 3개의 입도특성이 다른 모래층시료를 제작하고 Hazen식(Hazen, 1930)과 실내시험을 수행하여 각각의 시료에 대한 투수성을 평가하여 선정하였으며, 자갈층도 총 2개의 시료를 제작하고 모래층과 동일한 평가를 수행하여 선정하였다(Table 2). 또한 필터재는 필터층을 구성하는 매질로써 일정 규격의 여과사 및 여과사리를 사용하였다(Table 3).
시험방법
대수성시험은 단계대수성시험과 변형된 장기대수성시험을 각각 수행하였다. 단계대수성시험은 각 시험조에서 단계별 소요시간은 1시간이며, 총 소요시간은 5시간으로 설정하였다.
장기대수성시험은 각 시험조별 우물 내 수위가 가능한 약 40 cm정도로 유지될 수 있도록 양수량을 조절하면서 약 90일간 시험을 수행하였다. 최초 시험시작부터 약 9.3일(13,380분) 까지는 매 분마다 양수량 및 지하수위 변화를 관측하였으며, 그 이후부터 시험 종료까지는 매 2시간(120분)마다 양수량과 지하수위 변화를 관측하였다(Table 4).
결과 및 토의
초기 투수특성 및 적정양수량 분석
본 모형시험에서는 양수량과 수위강하량 및 지하수위 분포관계를 바탕으로 투수특성을 평가하였다. 투수계수는
일 때,
,
일 때,
이므로 다음 식에 의해 계산 가능하다(Dupuit, 1863).
=
여기서,
: 투수계수,
: 양수량,
: 영향반경,
: 양수정의 반경,
: 양수정에서의 안정수위,
: 양수시작 전 초기지하수위를 나타낸다.
투수계수는 자갈층인 SD-300에서 44.18×10-2 cm/sec로 가장 높은 값을 보인다. 모래층에서의 투수계수는 이중필터인 SD-300이 11.48×10-2 cm/sec로 가장 높은 값을 보이고 있으며, 단일필터인 SS-300에서 10.84×10-2 cm/sec, 단일필터 SS- 100에서 6.10×10-2 cm/sec로 평가되었다(Table 5). 모래층에서 동일한 두께의 이중필터와 단일필터의 투수계수를 비교하면, 이중필터가 단일필터에 비해 약 105.8% 높은 값을 나타냈다(Fig. 4).
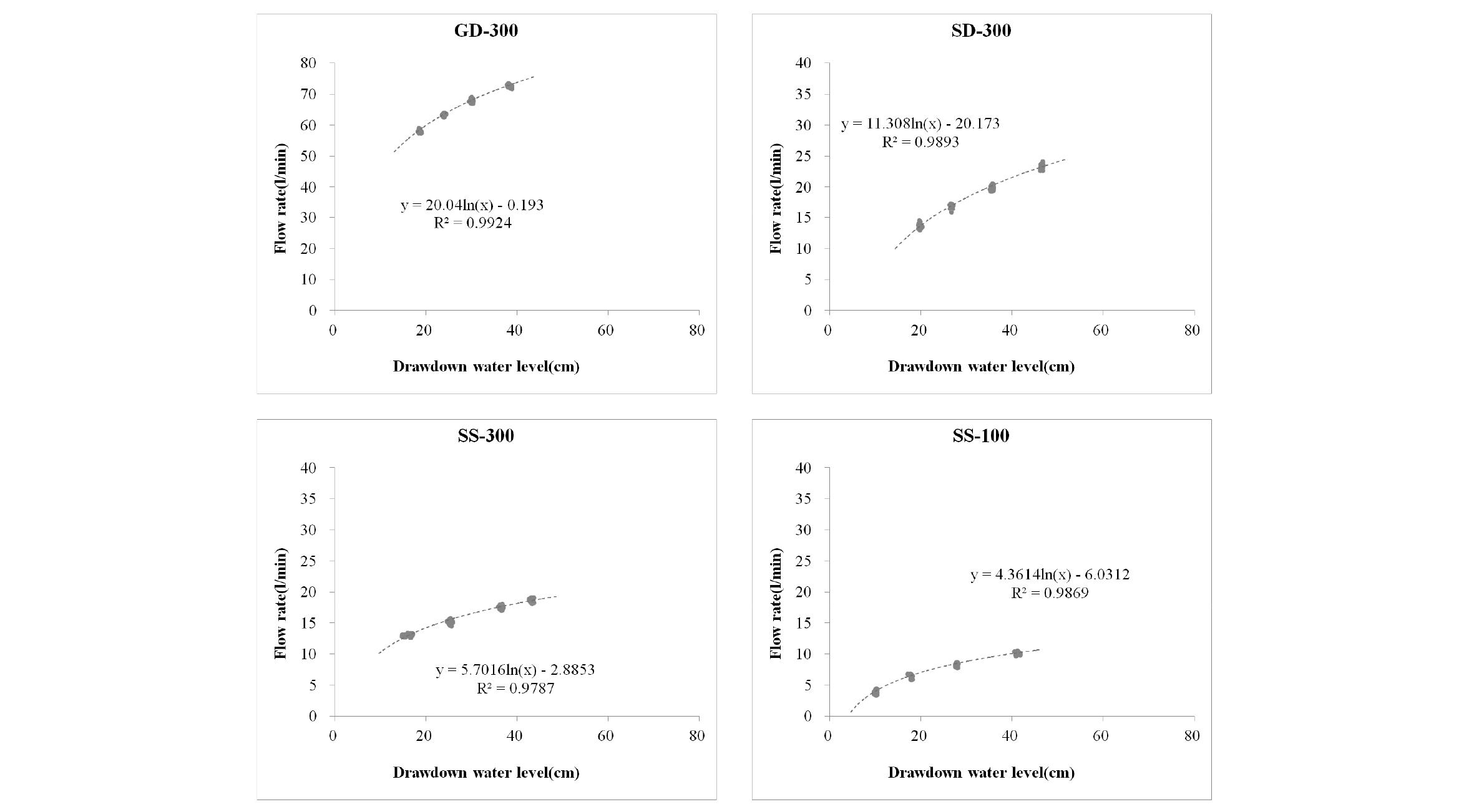
수위강하량 분석을 수행하여 각 시험조별 적정양수량을 평가하였다. 각 단계별 평균양수량과 양수정에서의 수위강하량과의 관계를 분석하면 로그함수 형태로 매우 높은 상관성을 보이는 것을 확인하였다(Fig. 5).
관계식을 근거로 하여 수위강하 심도가 50 cm인 경우로 각각의 조건에 대하여 평가하면 이중필터가 단일필터에 비해 상대적으로 양호한 취수량이 확보되는 것으로 파악되었다.
자갈층의 이중필터로 구성된 시험조인 SD-300의 적정 양수량은 78.20 L/min로 모래층 이중필터 대비 약 325%의 취수효율을 나타낸다. 모래층에서는 이중필터인 SD-300에서 24.06 L/min로 가장 높은 양수량을 보이며, 이중필터와 두께가 동일한 단일필터 SS-300에서 19.42 L/min, 필터 두께 100 mm인 SS-100에서 11.03 L/min 순으로 평가되었다(Table 6). 동일한 두께인 30 cm 필터층을 갖는 이중필터와 단일필터의 평균 양수량을 분석하면, 이중필터가 단일필터 대비 약 123.9% 양수량이 증대되는 것으로 평가되었다. 필터층 두께가 얇은 SS-100과 비교하면, 이중필터가 약 218.1% 양수량이 증대되는 것을 확인할 수 있었다(Fig. 6).
장기 투수특성 분석
시간이 경과함에 따라 투수계수는 감소하는 양상을 보인다. 시험기간 30~50일 구간에서 투수계수가 뚜렷이 증가하는 양상을 보이고 있으며, 이는 자동측정 과정에서 해당 기간에 부분적인 월류현상으로 용수공급량이 증가하였기 때문인 것으로 판단된다. 투수계수 분석결과, 자갈층에서 수행한 이중필터 시험조인 GD-300에서 가장 높은 값을 보이는 것으로 파악되며(Fig. 7), 이는 자갈층의 투수성이 높은데 기인한 것으로 보인다. 모래층에서의 투수계수는 이중필터로 설치된 SD- 300에서 가장 높은 값을 보이는 것으로 평가되었으며, 단일필터 층에서는 필터재 두께가 30 cm로 설정한 SS-300이 10 cm로 선정한 SS-100에 비해 양호한 투수특성을 보이는 것으로 확인되었다. 추세선을 분석하면, 자갈층에서의 기울기가 모래층보다 크게 나타나는데, 이는 충적층에서 필터재 방향으로 세립토사 유입이 모래층보다 자갈층에서 더 빠르게 진행되기 때문인 것으로 판단된다(Fig. 8).
모래층에서 수행한 이중필터와 단일필터의 투수계수를 비교하면, 이중필터인 SD-300은 동일두께의 단일필터인 SS- 300에 비해 초기 투수계수는 105.9% 높은 값을 보이며, 최종 투수계수는 161.3% 높게 평가되었다. 이중필터 SD-300과 필터층 두께가 얇은 단일필터 SS-100을 비교하면, 이중필터가 초기 투수계수에서 188.2% 높게 평가되며, 최종 투수계수는 601.8% 높게 나타난다(Table 7). 분석결과 이중필터와 단일필터의 투수계수 비가 시간이 경과할수록 커짐을 확인하였으며(Fig. 9), 이는 단일필터에 비해 이중필터가 투수성이 상대적으로 양호하게 유지되는 것을 의미한다.
Table 7. Average hydraulic conductivity ratio (%) of SD-300/SS-300 and SD-300/SS-100 in sand formation |
|
적정양수량 평가
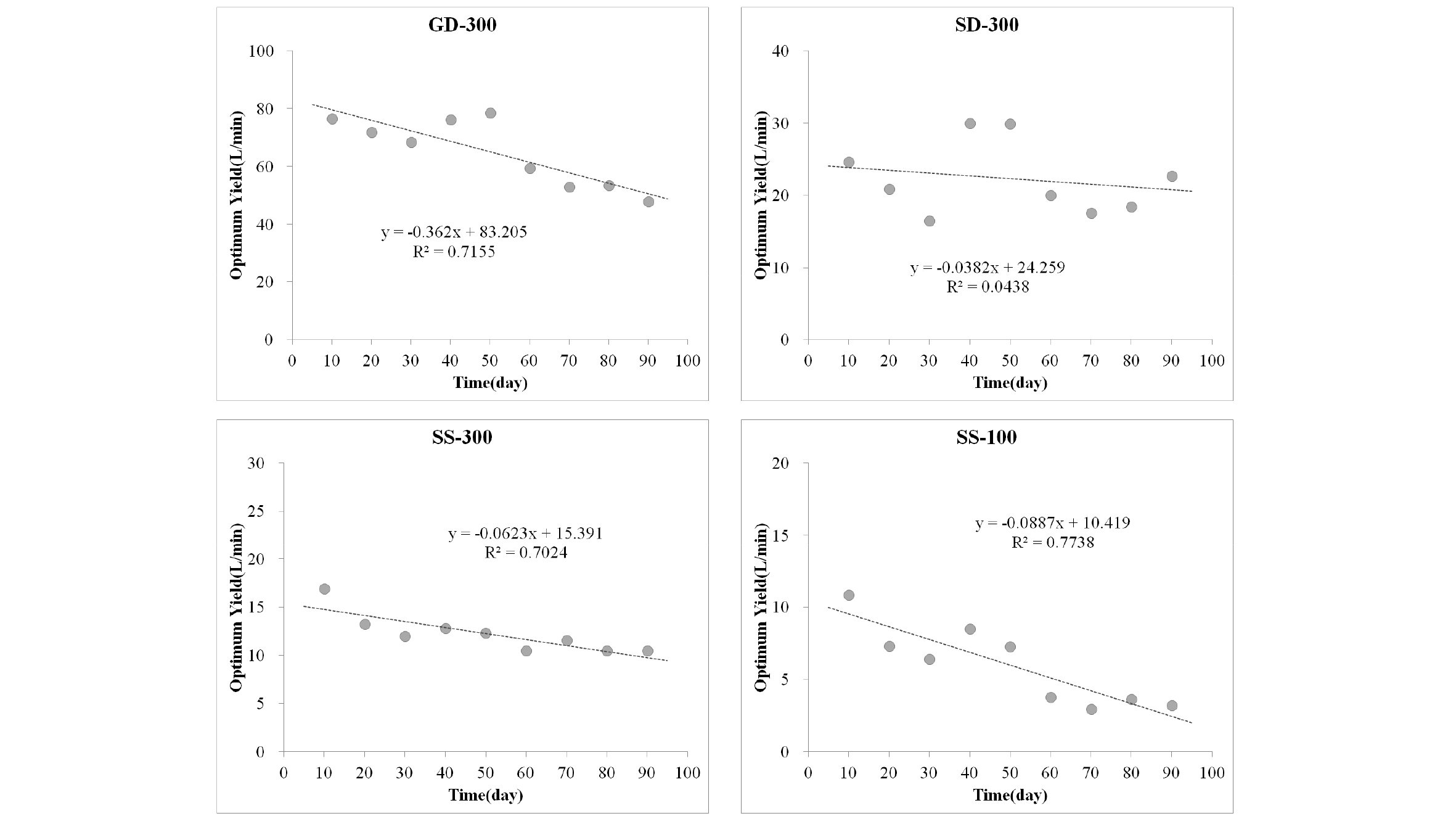
적정양수량 분석결과, 시간이 경과함에 따라 적정양수량이 감소하는 양상을 보인다. 투수계수와 마찬가지로 40~50일 구간의 적정양수량 증가는 시험시 공급량 증대에 따른 월류 영향으로 판단된다. 자갈층에서 수행한 이중필터 시험조인 GD-300에서 가장 높은 값을 보이는 것으로 파악되었다(Fig. 10). 모래층에서의 적정양수량은 이중필터로 설치된 SD-300에서 가장 높은 값을 보이는 것으로 평가되었으며, 단일필터 층에서는 필터재 두께가 30 cm로 설정한 SS-300이 10 cm로 선정한 SS-100에 비해 양호한 투수특성을 보이는 것으로 평가되었다(Fig. 11).
모래층에서 수행한 이중필터와 단일필터의 적정양수량를 비교하면, 이중필터인 SD-300은 동일두께의 단일필터인 SS-300에 비해 초기 적정양수량은 123.9% 높은 값을 보이며, 최종 적정양수량은 216.8% 높게 평가되었고, 최대값은 242.3% 높게 평가되었다. 이중필터 SD-300과 필터층 두께가 얇은 단일필터 SS-100을 비교하면, 이중필터가 초기 적정양수량에서 218.1% 높게 평가되며, 최종 적정양수량은 709.2% 높게 나타났다(Table 8). 분석결과, 이중필터와 단일필터의 적정양수량 비가 시간이 경과할수록 증대됨을 확인하였으며(Fig. 12), 이는 단일필터에 비해 이중필터에서 양수량이 상대적으로 양호하게 유지되고 있음을 나타낸다.
장기적 안정성 평가
동일조건에서의 적정양수량 분석을 위해 시간경과에 따른 적정양수량을 산출하였다. 시간경과 및 적정양수량을 그래프에 도시하고 이에 대한 추세선식을 활용하면 양수 후 특정 시기의 적정양수량 산출이 가능하다. Fig. 13은 시간과 수위강하량 50 cm로 보정한 시험조별 10일 단위의 평균 적정 양수량에 대한 관계를 나타낸 것이다.
회귀식을 바탕으로 각 시험조별 초기 적정양수량이 50% 저감되는 시점을 검토한 결과, 자갈층 이중필터인 GD-300에서 121.8일, 모래층 이중필터인 SD-300에서 320.1일, 모래층 단일필터인 SS-300에서 91.2일, 모래층에서의 필터두께 10 cm로 설정한 단일필터인 SS-100에서 55.3일로 평가되었다(Table 9; Fig. 14).
상호 비교가 가능한 모래층을 대상으로 분석하면, 이중필터인 SD-300은 동일두께 단일필터인 SS-300 대비 약 351.1% 높은 값을 보이며, SS-100 대비 약 579.0% 높은 값을 보인다. 이러한 결과를 볼 때, 초기 양수량의 50%로 저하되는 지점을 우물 수명으로 가정하면, 이중필터는 동일두께의 단일필터 대비 약 3.5배, 일반적인 단일필터 대비 약 5.8배의 수명 증대가 예상된다(Fig. 15).
결 론
본 연구에서는 다양한 필터조건에 따른 영향을 평가하기 위하여 모형시험장치를 제작하고 단계양수시험 및 장기양수시험 수행하여 그 결과를 토대로 투수계수, 적정양수량, 장기적인 안정성을 평가하였다.
초기 투수특성을 분석한 결과 자갈층인 SD-300에서 44.18×10-2 cm/sec로 가장 높은 값을 보인다. 모래층에서의 투수계수는 이중필터인 SD-300이 11.48×10-2 cm/sec로 가장 높은 값을 보이고 있으며, 동일한 두께의 이중필터와 단일필터의 투수계수를 비교하면, 이중필터가 단일필터에 비해 약 105.8% 높은 값을 나타냈다.
평균양수량과 양수정에서의 수위강하량과의 관계는 매우 높은 상관성을 보이는 것을 확인하였다. 수위강하 심도가 50 cm인 경우로 각각의 조건에 대하여 초기 적정양수량을 평가하면 SD-300의 적정 양수량은 78.20 L/min로 모래층 이중필터 대비 약 325%의 취수효율을 나타낸다. 모래층에서는 이중필터인 SD-300에서 24.06 L/min로 가장 높은 양수량을 보이며, 동일한 두께의 단일필터 대비 약 123.9% 양수량이 증대되는 것으로 평가되었다. 또한 필터층 두께가 얇은 SS-100과 비교하면, 이중필터가 약 218.1% 양수량이 증대되는 것을 확인할 수 있었다.
모래층에서 수행한 이중필터와 단일필터의 장기 투수특성을 분석하면, 이중필터는 동일두께의 단일필터에 비해 최종 투수계수가 161.3% 높게 평가되었다. 이중필터 SD-300과 필터층 두께가 얇은 단일필터 SS-100을 비교하면, 이중필터가 초기 투수계수에서 188.2% 높게 평가되며, 최종 투수계수는 601.8% 높게 나타난다. 분석결과, 이중필터와 단일필터의 투수계수 비가 시간이 경과할수록 커짐을 확인하였으며, 이는 단일필터에 비해 이중필터가 투수성이 상대적으로 양호하게 유지되는 것을 의미한다.
모래층에서 수행한 이중필터와 단일필터의 적정양수량를 비교하면, 이중필터인 SD-300은 동일두께의 단일필터인 SS-300에 비해 최종 적정양수량은 216.8% 높게 평가되었고, 최대값은 242.3% 높게 평가되었다. 이중필터 SD-300과 필터층 두께가 얇은 단일필터 SS-100을 비교하면, 최종 적정양수량은 709.2% 높게 나타났다. 분석결과, 이중필터와 단일필터의 적정양수량 비가 시간이 경과할수록 증대됨을 확인하였다.
초기 적정양수량이 50% 저감되는 시점을 검토한 결과, 자갈층 이중필터인 GD-300에서 121.8일, 모래층 이중필터인 SD-300에서 320.1일, 모래층 단일필터인 SS-300에서 91.2일, 모래층에서의 필터두께 10 cm로 설정한 단일필터인 SS-100에서 55.3일로 평가되었다.
상호 비교가 가능한 모래층을 대상으로 분석하면, 이중필터인 SD-300은 동일두께 단일필터인 SS-300 대비 약 351.1% 높은 값을 보이며, SS-100 대비 약 579.0% 높은 값을 보인다. 이러한 결과를 볼 때, 초기 양수량의 50%로 저하되는 지점을 우물 수명으로 가정하면, 이중필터는 동일두께의 단일필터 대비 약 3.5배, 일반적인 단일필터 대비 약 5.8배의 수명 증대가 예상된다.
이와 같은 결과는 강변여과수나 해변여과수를 활용하기 위한 우물설계에 활용될 수 있고, 향후 수행될 현장실증시험 성과와의 상호비교를 통해 이중필터의 효과에 대한 보다 명확한 규명이 가능할 것으로 판단된다.
























