서 론
최근 이상기후 영향으로 2017년에는 경기 안성시의 경우 200년 빈도의 극한가뭄이 발생하였으며 충남지역의 6월 강수량은 역대 최저치를 기록하였다. 또한, 강수량의 지역별 편중으로 인하여 국지적인 가뭄이 빈발하게 발생하고 지역적 특성으로 충청남도 서부지역, 경기도 남부지역 및 전라도 등에서 상습적인 가뭄 피해가 확대되고 있다. 가뭄은 봄철에서 초여름까지 영농기에 발생하며 농작물의 피해가 폭 넓게 나타난다.
최근 지속가능한 수자원 확보방안에 대한 연구가 활발히 이루어지고 있으며, Bouwer(2002)는 인공함양 기술이 풍수기 잉여 수자원을 대수층에 주입하여 수자원을 확보하는 방법으로 미래에 활용성이 확대될 것으로 예상하였다. Kim and Kim(2010)은 과도한 지하수 개발로 저하된 지하수위를 복원하고 갈수기 하천의 건천화를 예방하는데 활용이 가능한 것으로 설명하고 있다. 또한, Oh et al.(2011)은 제주지역의 지하수 인공함양 평가를 위해 인공함양에 따른 지하수 변화를 예측하는 지하수 모델을 개발하여 지하수위 변동 및 대수층의 물수지 변화를 예측하였다. Moon et al.(2014)은 낙동강 주변 충적층 지대에 하천수를 인위적으로 주입하였을 때 대수층의 주입능력이 어떻게 변화하는지에 대한 평가를 수행하였다. Lee et al.(2014)은 최적의 주입정 위치를 평가하기 위해 주입정 위치에 따른 기존 양수정의 양수량 변화를 수치 모의하는 모델을 개발하여 분석을 수행하였다. Lee and Kim(2015)는 도시화에 의한 해안 대수층 내의 해수 침투 저감을 위한 담수 주입 기법의 영향을 효과적으로 예측하고 정량적으로 평가하였다. Chang et al.(2016)은 물수지 분석을 바탕으로 대수층의 지속성 여부를 증명하고 인공함양 시나리오를 적용하여 지속가능한 수막재배 이용방식을 제안하였다. Park et al.(2016)은 지하수 모델링 기법을 이용하여 계절양수 시 최적의 인공함양 시기 및 위치를 평가하였으며, 효율적인 인공함양 전략을 제시하였다. Lee et al.(2019)은 현장 조사를 토대로 지하수 인공함양의 대상으로 고려되는 대수층의 범위를 선정하고, 함양 방법별 장단점을 토대로 적정 인공함양 방법을 검토하였다.
수치해석을 활용하여 인공함양기법에 대한 지하수 변동특성 연구는 활발하게 수행되고 있으나 가뭄발생 지역을 대상으로 함양 후 재사용을 위한 주입 기간, 주입량 등에 따른 함양효율을 평가한 연구는 미미한 실정이다. 본 연구는 가뭄이 빈번히 발생하는 지역에서 농번기(4월, 5월)의 물부족량 해결을 위해 평상시 잉여 수자원 및 사용 후 남는 재이용수 등 물을 지하에 인공적으로 함양시켜 저장 후 활용하기 위한 함양효율을 평가하고자 한다. 함양효율 평가를 위해 수치모델을 활용하였으며 공당 주입량, 총 주입용량, 주입시간 및 대수층 조건을 반영하여 수행하였다.
연구지역
연구지역은 충청남도 홍성군 갈산면 운곡리 일대로 동북부의 삼준산(490 m)을 비롯한 산지가 발달해 있고, 서쪽은 평야를 이루며 밭과 논 등 경작지로 구성되어 있다. 수계는 삼준산을 분수령으로 갈산천, 가곡천이 와룡천과 합류하여 흐르고 있다. 지질은 선캠브리아기의 편암류, 이를 관입한 시대미상의 편상화강암, 백악기에 재관입한 화성암류, 신생대 제4기 충적층이 부정합으로 피복하고 있다(Fig. 1).
연구지역 내 지하수시설은 가정용과 농업용 등 총 29개소가 존재하며 농업용(전작 및 답작용) 지하수의 이용량은 224.5 m3/day로 추정하였다(Kim and Hwang, 2019). 특히, 본 지역은 농번기에 용수가 부족한 가뭄지역으로 10년 가뭄 주기를 고려할 때 4월, 5월의 물 부족량을 최대 6,446 m3으로 평가되었다(Kim et al., 2021).
연구지역 내 시추조사는 7개 지점에 대해 실시하였으며 충적층의 두께는 3.5~9.5 m (평균 6.5 m)로 상부로부터 매립층, 충적층, 붕적층, 풍화토로 구분된다(Fig. 2). 풍화암의 두께는 2.0~4.5 m (평균 3.4 m)로 파쇄가 심한 것으로 나타났다. 기반암의 출현 심도는 GL. 5.8~12.3 m로 평균 GL. 8.7 m의 심도를 보였다. 지하수 관측공은 수위 측정을 위해 시추조사공을 활용하여 총 9개소를 운영하였으며 지하수위는 GL. 2.0~2.8 m (평균 GL. 2.3 m)로 충적층에 위치하고 있다(Fig. 2b). 지형 및 기반암의 경사는 A-B의 경우 4.5%, 4.1%의 경사도를 보이며 A-C의 경우 각각 4.1%, 4.3%의 경사도를 갖는다. 또한, 지하수 구배는 A-A’, A-C에서 각각 0.043, 0.039로 나타났다. 대수층의 주입 능력에 대한 실증시험을 위해 6개의 주입정(IW-1~IW-6)을 설치하였다.
연구방법
본 연구에서는 연구지역을 대상으로 인공함양을 통한 함양가능량 평가에 있어 주입 요소에 따른 시나리오를 구축하였으며, 이를 3차원 지하수유동해석 프로그램(Visual MODFLOW; Waterloo hydrogeologic Inc.)을 활용하여 지하수위 변화와 물수지 변화를 분석하였다. 함양가능량 평가를 위한 시나리오는 공당 주입량(injection rate per well) 또는 일 주입량(daily total injection rate), 총 주입용량(total injection volume), 주입시간(injection time) 등을 고려하여 구성하였다.
본 연구에서는 적정 주입량 및 주입효율 평가를 위하여 주입 시나리오를 구성하였으며 시나리오 구성요소는 공당 주입량(또는 일 주입량), 주입시간, 총 주입용량으로 설정하였다. 또한, 주입정의 수는 6개소로 동일하게 하였다(Table 1). Type 1은 4가지 경우로 총 주입용량(3,000 m3)을 일정하게 가정하였으며 공당 주입량은 20.0~62.5 m3/day (일 주입량 120~375 m3/day)로 변화시켰으며 이에 따라 주입시간(8~25일)을 결정하였다. Type 2의 경우 주입시간(10일) 일정하게 가정하였으며 공당 주입량은 20.0~62.5 m3/day (일 주입량 120~375 m3/day)로 변화시켰으며 총 주입용량은 1,200~3,750 m3으로 산정되었다. Type 3의 경우 공당 주입량은 50.0 m3/day (일 주입량 300 m3/day)로 동일하며 주입시간은 5~30일로 총 주입량은 1,500~9,000 m3으로 결정하였다.
Table 1.
Injection cases for numerical simulation
공당 적정주입량은 시나리오 Type 1의 수치모사 결과를 활용하여 평가하였으며 지하수위 변화분석을 통해 수위가 지표면 하부 1 m까지 상승할 때의 주입량을 최적주입량으로 설정하였다. 이는 「논의 전작에 관한 연구(Seoul National University, 1993)」에서 밀, 보리, 콩, 양배추 등 작물의 최적 지하수위(지표면 하부 0.7~1.0 m)를 적용하였다.
본 연구에서 모델영역은 지하수분수령 및 하천경계를 반영하여 2,450 m × 2,350 m로 설정하였으며 지층은 시추조사 자료를 반영하여 충적층과 암반층으로 구분하였다(Fig. 3a). 지하수분수령은 인접한 두 개의 지하수계 사이의 경계로 주변보다 지하수위가 높은 지역을 의미하며 산의 능선에 해당하는 부분을 분수령으로 설정하였다. 격자망은 490열 470행 2층으로 구성하였으며 격자간격은 5 m × 5 m로 설정하였다. 모델에 대한 경계조건은 강경계(river package, RIV), 배수경계(drain package, DRN), 우물경계(well package, WELL)로 설정하였다. 강경계는 모델의 서쪽에 흐르는 갈산천과 모델영역 중앙을 흐르는 소하천에 적용하였다. 배수경계는 소하천의 상류부로 건천화가 발생하는 부분과 계곡부를 대상으로 설정하였으며 우물경계는 현재 사용하고 있는 기존 지하수시설을 대상으로 설정하였다. 또한, 모델영역의 동쪽, 남쪽 및 북쪽 등 산 능선부는 불투수경계(no-flow boundary) 로 설정하였다(Fig. 3b).
대수층의 수리상수는 연구지역에서 수행한 시추조사 및 현장시험 결과를 통해 획득한 자료를 활용하였다. 그 결과 1층의 경우 논과 밭 등 충적층의 수리전도도는 1.08 × 10-2 cm/sec이며 산지는 1.89 × 10-5 cm/sec를 적용하였다. 2층(암반층)의 수리전도도는 3.47 × 10-6 ~ 2.31 × 10-5 cm/sec의 값을 적용하였다.
강수에 의한 지하수 함양률은 지하수면의 위치 및 대수층 구성매질의 특성 등에 따라 시간적 변화가 다양하게 나타날 수 있다(Koo and Lee, 2002). 본 모델의 경우 강수량은 서산 기상관측소의 10년 평균 연강우량(1,238 mm/yr)을 활용하였으며 지하수 함양률은 본 연구지역을 대상으로 분석한 결과인 10.3%를 적용하였다(Kim et al., 2019).
수치모사는 시나리오를 기반으로 수행하였으며 각 시나리오별 지하수위 변화 및 물수지 분석을 통해 함양효율을 평가하였다. 물수지 분석의 경우 모델영역 내 인공함양 영역을 대상으로 유입량과 유출량을 활용하였다(Fig. 4a). 또한, 수치모사에서 지하수위 변화는 현장에 설치된 관측공 및 주입정과 모델에서 설정한 가상 관측공의 계산된 결과를 분석하였다. 주입정(IW-1~IW-6)은 각각 5 m 이격되어 설치되어 있으며 가상의 관측정은 주입정의 하류부에 이격거리 10, 20, 50 m를 갖도록 설정하였다(Fig. 4b).
결과 및 고찰
공당 적정주입량 평가
본 연구에서는 농번기(4월, 5월)의 물부족량 해결을 위한 함양가능량 평가를 실시하였으며 현재 상태의 지하수환경 구현을 위해 정류모사를 수행하였다. 또한, 함양가능량 평가는 부정류모사를 통해 다양한 시나리오별 지하수위 변화와 물수지 변화를 분석하였다.
현재 지하수 시스템을 구현한 정류모사 결과는 Fig. 5와 같으며 모델보정 결과와 지하수위 분포도를 나타낸 것이다. 모델보정은 현장 관측수위와 계산된 수위를 비교분석하였으며 그 결과 정규화된 RMS(root mean square)는 4.2%이며 상관계수(R2)는 0.995로 분석되었다. 연구지역의 지하수위는 EL. 28.3 ~ EL. 249.1 m로 분포하며 지하수 흐름은 북쪽, 동쪽 및 남쪽의 산악지역에서 모델 내 소하천 방향으로 이루어진다. 또한, 모델영역의 서쪽에 흐르는 갈산천으로 합류되며 갈산천은 이득하천으로 모사되었다.
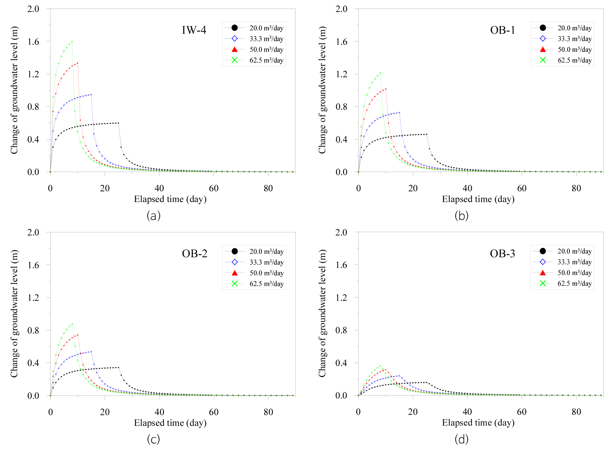
모사결과 Type 1의 함양시나리오에 따른 주입정 및 관측공의 지하수위 변화량은 Fig. 6과 같으며 주입정은 6개의 주입정 중 중앙부에 있는 IW-4을 대상으로 수위변화량을 분석하였다. 이는 주입정 사이에서 주입에 의한 수리간섭효과가 가장 많이 발생하는 주입정을 선정하였다. 관측공은 주입정 하류부에 가상의 관측공인 OB-1(10 m 이격), OB-2(20 m 이격), OB-3(50 m 이격)을 대상으로 수위변동 분석을 실시하였다. 모사결과 주입정의 지하수위는 Case 1(주입량 20.00 m3/day/공)의 경우 주입 후 8일까지 급격히 지하수위가 상승하며 주입종료(25일) 시 최대 0.60 m 상승하는 것으로 모사되었다. 주입종료 후 상승된 지하수위는 점차 감소하며 종료 후 30일(0.01 m 상승) 이후 주입 전의 지하수위로 회복되는 것으로 나타났다. Case 2(주입량 33.33 m3/day/공)의 경우 주입 후 10일까지 지하수위의 급격한 상승이 발생하며 주입종료(15일) 시 최대 0.95 m 상승하는 것으로 모사되었다. 주입종료 후 상승된 지하수위는 점차 감소하며 종료 후 30일(0.01 m 상승) 이후 주입 전의 지하수위로 회복되는 것으로 나타났다. Case 3(주입량 50.00 m3/day/공)의 경우 지하수위는 주입 후 지속적으로 상승하며 주입종료(10일) 시 최대 1.34 m 상승하는 것으로 모사되었다. 주입종료 후 상승된 지하수위는 점차 감소하며 종료 후 32일(0.01 m 상승) 이후 주입 전의 지하수위로 회복되는 것으로 나타났다. Case 4(주입량 62.50 m3/day/공)의 경우 주입 후 급격한 지하수위 상승이 발생하며 주입종료(8일) 시 최대 1.60 m 상승하는 것으로 모사되었다. 주입종료 후 상승된 지하수위는 점차 감소하며 종료 후 33일(0.01 m 상승) 이후 주입 전의 지하수위로 회복되는 것으로 나타났다. 가상의 관측정 OB-1의 경우 공당 주입량에 따른 최대 수위 상승량은 Case 1, 2, 3, 4에서 주입 종료 시 각각 0.46, 0,73, 1.02 및 1.21 m 상승하며 주입정과 유사한 수위변화 양상을 보인다. OB-2의 경우 지하수위 변화 양상은 주입정과 유사하며 Case 1, 2, 3 및 4의 최대 수위 상승량은 각각 0.34, 0,54, 0.75 및 0.88 m로 모사되었다. OB-3의 경우 지하수위는 Case에 따라 각각 0.16~0.36 m 상승하는 것으로 나타났다. 함양시나리오에 따른 수위변동 분석에 있어 공당 주입량이 큰 경우 지하수위의 안정화가 이루어지지 않았으며 수위상승은 더 발생할 것으로 판단된다. 이에 본 연구에서 최대 수위 상승량은 주입 종료 시 변화량을 기준으로 가정하였다.
본 연구에서는 연구지역 내 지하수 인공함양을 통한 함양가능량 평가에 앞서 주입정 1개소에 주입할 수 있는 적정주입량을 평가하였으며 주입량을 변화시키면서 지하수위 상승량을 분석하여 실시하였다. 이 때 주입은 개별 주입정이 아닌 전체 주입정(6개소)을 대상으로 실시하는 것으로 모사하였다.
그 결과 주입정에서 최대 지하수위 상승량은 주입량(20.0~62.5 m3/day/공) 변화에 따라 각각 0.60, 0.95, 1.34 및 1.60 m로 모사되었으며 주입량 증가에 따라 수위상승량은 비선형으로 증가하는 것으로 나타났다(Fig. 7a). 또한, 주입량에 따른 상승된 지하수위는 지표면으로부터 0.70~1.70 m 하부에 위치하며 50.0 m3/day/공일 때 지하수위는 지표하 0.96 m에 위치하였다. 이에 본 연구지역에서의 공당 적정주입량은 주입에 따른 지하수위가 지표하 1 m까지 상승한 50.0 m3/day/공으로 평가하였다.
관측공에서의 주입량에 따른 최대 수위변화량은 OB-1의 경우 0.46~1.21 m이며 OB-2, 3의 경우 각각 0.34~0.88, 0.16~0.36 m로 나타났다(Fig. 7b). 특히, 관측공에서의 수위상승량은 주입량에 따라 비선형의 증가를 보이고 있다(Dupuit, 1863). 주입량이 큰 경우 이격거리에 따른 최대 수위상승량 변화가 크게 나타나며 관측공의 이격거리가 먼 경우 주입량에 따른 최대 수위상승량 변화률은 작게 모사되었다. 이는 주입 후 도달시간이 길고 부채꼴 모양으로 흐름이 발산하여 수위상승이 희석되는 효과를 보이는 것으로 판단된다.
인공함양에 따른 함양효율 평가
본 연구에서는 다양한 시나리오별 부정류모사를 통해 물수지 결과를 분석하여 함양 효과를 평가하였다. 함양량평가는 모델영역 내 산지를 제외한 논과 밭 등 경작지를 대상으로 실시하였다(Fig. 4a).
Type 1의 함양시나리오에 따른 모사결과 경과시간에 대한 저류량 변화를 분석하였다(Fig. 8) 저류량 변화는 총 유출량에서 저류량 평가영역 외에서 유입, 하천에 의한 유입 및 강우에 의한 함양을 제외하여 인공함양에 의한 주입효과를 평가하였다. 또한, 총 저류용량은 저류량과 시간의 곱을 합산한 것으로 주입종료 후 30일간의 결과를 비교하였다. 모사결과 Case 1(주입량 20.00 m3/day/공)의 경우 저류량(storage rate)은 주입기간 동안 120.6~122.8 m3/day로 나타났으며 주입종료 후 점차 감소하여 종료 후 30일 경과 시 9.7 m3/day로 모사되었다. 또한, 총 저류용량은 4,149 m3으로 나타났다. Case 2(주입량 33.33 m3/day/공)의 경우 주입기간 동안 200.0~203.8 m3/day의 저류량을 보였으며 주입종료 후 30일 경과 시 12.2 m3/day로 감소하였고 총 저류용량은 4,582 m3으로 산정되었다. Case 3(주입량 50.00 m3/day/공)의 경우 저류량은 주입기간 동안 300.1~306.1 m3/day이며 주입종료 후 30일 경과 시 13.5 m3/day이고 4,932 m3의 저류용량을 보였다. Case 4(주입량 62.50 m 3/day/공)의 경우 저류량은 주입기간 동안 375.1~383.0 m3/day이며, 주입종료 후 30일 경과 시 14.0 m3/day로 총 저류용량은 5,083 m3으로 산정되었다.
Fig. 8b는 일 주입량에 따른 주입종료 후 잔류 저류용량(maintenance storage volume)을 나타낸 것으로 일 주입량은 6개의 주입정에 공당 주입량의 곱으로 산정하였다. 잔류 저류용량은 총 저류용량(total storage volume)에서 총 주입용량(total injection volume; 30,000 m3)을 제외하였다. 그 결과 일 주입량에 따른 잔류 저류용량은 비선형의 증가 양상을 보이며 Case 1~4의 잔류 저류용량은 각각 1,149, 1,582, 1,932 및 2,083 m3으로 나타났다. 또한 잔류 저류률(maintenance storage rate)은 잔류 저류용량을 총 주입용량으로 나눈 것으로 총 주입용량 대비 38.3~69.4%로 모사되었다. 이는 총 주입용량이 동일한 경우 일 주입량이 많거나 주입시간이 짧을수록 잔류되는 저류용량이 많아지며 함양효과를 높일 수 있을 것으로 판단된다.
주입시간(10일)이 동일한 함양시나리오(Type 2)를 대상으로 일 주입량에 따른 주입종료 후 잔류 저류용량 및 잔류 저류률은 Fig. 9와 같다. 모사결과 주입시간이 동일한 경우 일 주입량에 따른 잔류 저류용량은 선형으로 증가하며 Case 5~8의 잔류 저류용량은 각각 787, 1,302, 1,932 및 2,378 m3으로 나타났다. 또한 잔류 저류률은 총 주입용량 대비 65.5~63.4%로 모사되었다. 이는 주입시간이 동일한 경우 일 주입량이 많을수록 잔류 저류률은 2% 내외로 유사하나 잔류 저류용량은 증가하므로 물 부족량을 해결하기 위해 일 주입량과 주입시기를 조절함으로써 함양효과를 높일 수 있을 것으로 판단된다.
일 주입량(300 m3/day)이 동일한 함양시나리오(Type 3)에 대하여 분석결과 총 주입용량 및 주입시간에 따른 잔류 저류용량은 Fig. 10과 같다. 그 결과 잔류 저류용량은 Case 9~12의 경우 각각 1,218, 1,932, 2,638, 2,991 m3으로 나타났으며 총 주입용량이 증가함에 따라 잔류 저류용량은 비선형으로 증가하는 경향을 보인다. 주입시간에 따른 잔류 저류률은 총 주입용량 대비 33.2~81.2%이며 주입시간이 증가할수록 비선형으로 감소하는 양상을 보인다. 이는 일 주입량이 동일한 경우 주입시간이 짧을수록 잔류 저류률 측면에서 효율적이나 잔류 저류용량의 경우 총 주입용량이 많을수록 물부족 시 사용 가능량이 많아 유리할 것으로 판단된다.
전체 함양시나리오(10가지)에 대한 주입시간에 따른 잔류 저류률은 주입시간이 길수록 비선형으로 감소하는 양상을 보인다(Fig. 11). 회귀분석 결과 주입정의 수(6개소)와 배치가 동일한 조건에서 식 (1)과 같으며 상관계수(R2)는 0.996으로 나타났다. 이를 통해 물 부족 시기를 고려하여 함양시기를 결정하는데 활용할 수 있을 것으로 판단된다.
여기서, 는 잔류 저류률(%)이며 는 주입시간(day)을 의미한다.

Fig. 11
Comparisons of maintenance storage rate and injection time by type. Type 1 is variable injection time and injection rate and same total injection volume. Type 2 is variable total injection volume and injection rate and same injection time. Type 3 is variable total injection volume and injection time and same injection rate.
이상과 같이 인공함양에 따른 주입효과는 주입시간이 짧을수록 잔류 저류률이 33.2~81.2%로 효율이 높게 나타났다. Type 3의 경우 총 주입용량(1,500~9,000 m3)에 따른 잔류 저류용량은 1,218~2,991 m3으로 연구지역의 농업용 지하수 이용량(224.5 m3/day)으로 취수할 경우 5~13일 동안 취수가 가능할 것으로 판단된다.
본 연구에서는 연구지역 대수층의 불균질성 및 이방성, 지층 분포, 지하수시설의 지하수 이용량 등 자료 획득의 어려움으로 수치해석의 한계가 존재하나 향후 인공함양 대상 부지에 대한 정밀조사 및 현장 실증시험 결과를 활용한 모델검증을 수행할 경우 보다 정확한 인공함양 효율을 평가할 수 있을 것으로 보인다.
토의 및 결론
본 연구에서는 수치모사를 통해 가뭄이 빈번히 발생하는 지역의 농번기에 부족한 물을 확보하기 위해 평상시 잉여 수자원을 인공적으로 지하에 주입하는 함양효율을 평가하였다.
수치모사 결과 연구지역의 공당 적정주입량은 50.0 m3/day/공으로 선정하였으며 이는 지하수위가 지표면 1 m 하부까지 상승한 경우를 기준으로 하였다. 주입효율은 다양한 함양시나리오를 기반으로 분석하였으며 잔류 저류률은 총 주입용량 대비 33.2~81.2%로 모사되었다(Table 2). 특히, 주입효율은 주입시간이 짧을수록 비선형으로 증가하는 양상을 보였다. 잔류 저류용량은 총 주입용량이 많을수록 물부족 시 사용 가능량이 많아 유리한 것으로 나타났다. 또한, 함양효율 증대 및 수자원 확보 위해 연구지역에서 비교적 좁은 지역인 하류부에 저투수성 벽체를 설치하는 것도 고려할 수 있을 것으로 보인다.
Table 2.
Comparisons of maintenance storage rate by cases
가뭄 시 수자원 확보방식의 일환인 인공함양 능력 평가는 대수층의 수리지질학적 특성에 따른 주입정의 개소수와 배치 등에 대한 고려가 필요하며 이와 더불어 실질적인 물 수요량 추정 및 잉여 주입수의 수급 시기와 용량 등 면밀한 분석이 요구된다. 또한, 본 연구에서는 주입정에 의한 인공함양 방식만을 고려하였으나 향후 주입-취수 시스템(injection-pumping system)의 구축과 운영조건을 고려한 수치모사를 통해 주입-취수 시스템 설계 정보 제공 및 구축 시스템의 효율성 평가 등을 할 수 있을 것으로 보인다.












