서론
중성자검층 이론
중성자검층 기본원리
이중 중성자검층의 측정원리
중성자검층 존데의 수치모형 설계 및 MCNP 모델링 검증
지층 및 이중 중성자 존데의 수치모형 설계
MCNP 모델링
MCNP 모델링을 이용한 교정곡선 작성
다양한 시추공 환경을 고려한 MCNP 모델링 결과 및 고찰
암상변화의 영향
공극 유체의 영향
시추공 지름 크기의 영향
케이싱의 영향
공내수의 영향
결론
서론
지층의 공극률 측정은 주로 실내 시험을 통해 수행되지만 물리검층법을 이용하면 시추공 내에서 원위치 공극률 측정이 가능하다. 물리검층법으로 측정한 지층의 공극률은 실내 시험과 비교할 때, 정확도는 낮지만 측정 간격이 조밀하고 원위치 측정값이고 측정 체적이 크다는 장점이 있다. 물리검층법 중에서 지층의 공극률을 측정하는 전통적인 방법은 밀도검층, 중성자검층, 음파검층이 있으며 이중에서 중성자검층법은 공극을 채우고 있는 유체의 특성을 가장 잘 반영하는 검층법이라 할 수 있다(Bassiouni, 1994; Ellis and Singer, 2007, Heasrt et al., 2000; Rider and Kennedy, 2011).
지층의 공극률 측정으로 개발된 중성자검층은 주로 유·가스의 부존량 평가 목적으로 개발되었지만 지하수자원 평가, 환경오염평가, 지반조사, CO2 지중저장소 평가 및 모니터링 등 많은 분야에 활용되고 있다(Allen et al., 1967; Ellis et al., 2003, 2004). 현재 국내에서 중성자검층은 한국지질자원연구원에서만 운용이 가능한데 이는 원자력법에 따른 방사능 선원의 보관, 관리 및 운용이 매우 까다롭기 때문이다. 이외에도 중성자검층은 현장 측정값을 지층의 공극률로 환산하기 위한 자료처리 과정에 많은 전문지식이 필요하기 때문이기도 하다.
중성자검층은 선원에서 방출된 고속중성자(fast neutron)가 산란과정을 통해 고열중성자(epithermal neutron), 열중성자(thermal neutron)로 에너지 감쇠 또는 속도가 감소하는 물리적 현상을 이용하여 지층의 공극률을 측정하는 검층법이다. 중성자는 탄성산란(elastic scattering) 과정에서 수소와 반응할 때 에너지가 가장 많이 감쇠되어 중성자 선원에서 방출된 중성자가 지층 내에서 산란과정을 통해 검출기에서 측정되는 고열중성자속(epithermal neutron flux), 또는 열중성자속(thermal neutron flux)을 이용하여 지층의 공극률을 측정한다. 현재 국내에서 운용하고 있는 중성자 존데는 장비 제조사에서 제공한 교정곡선을 이용하여 지층의 공극률을 측정하는데 교정곡선은 시추공 지름이 214 mm와 150 mm이고 공내수가 물로 채워진 경우에만 공극률 측정이 가능한 상황이다. 석유개발 전문 서비스 기업인 Schlumberger, Halliburton, Baker Hughes 등에서는 암상변화, 시추공 지름 변화, 염도변화 등 대부분의 시추공 환경변화에 대한 보정 곡선(correction curves)을 제공하여 신뢰도가 높은 공극률 산출이 가능하다. 그러나 소규모 물리검층 장비 제조사에는 앞에서 언급한 바와 같이 매우 단순한 환경, 2개의 시추공 지름 변화에 대한 공극률 변환 곡선(calibration curves)만을 제공한다. 따라서 시추공 지름 변화, 지하수 수위, 케이싱 등 다양한 현장에서 중성자검층의 적용에 많은 문제점에 접하게 된다. 이와 같은 문제점을 해소하기 위해서는 중성자 검층 존데의 측정의 이론적인 원리와 다양한 시추공 환경에 대한 보정곡선 작성이 필수적이다.
Ku and Nam (2012)은 미국 LANL (2008)에서 개발한 MCNP (Monte Carlo N-particle) 코드를 이용하여 중성자 검층 장비에 대한 수치모델링을 수행하였다. MCNP 모델링으로 교정곡선의 계산과 시추공 내에 물과 공기가 있는 경우, 또는 담수와 염수가 있는 경우의 반응 특성에 대해 고찰하였다.
MCNP 코드를 이용한 방사능검층 모델링의 연구는 밀도 검층의 경우, Ku et al. (2012), Won et al. (2014)에 의해 수행되었으며 MCNP 모델링의 적용성 검증과 함께 다양한 측정 환경에 대한 반응 특성을 고찰하였다. 중성자검층은 MCNP 모델링의 적용성을 Ku and Nam (2012) 연구에서 제시하였으며 본 논문에서는 중성자-중성자검층의 이론적 배경과 Ku and Nam (2012)와 동일하게 존데의 교정곡선을 MCNP 모델링으로 계산하여 적용성을 검증한 후, 암상 변화, 공극 유체, 시추공 지름 크기 변화, 케이싱, 공내수 등의 영향에 대한 반응을 계산하고 보정곡선을 작성하여 적용성을 고찰하였다. 다양한 측정환경에 대한 보정곡선의 도출은 국내 시추 조사 현장에서 중성자검층의 적용성을 높이는 데 기여할 것으로 판단된다.
중성자검층 이론
중성자검층 기본원리
중성자 선원에서 방출된 중성자는 지층을 구성하는 물질의 원자핵(atomic nucleus)과 다양한 반응을 하면서 소멸된다. 중성자와 지층의 구성 물질과의 반응은 크게 산란(scattering)과 흡수(adsorption)로 구분할 수 있다(Ellis and Singer, 2007). 중성자를 이용하여 지층의 공극율을 측정하는 중성자검층은 Fig. 1과 같이 약 14 MeV 에너지 대역의 중성자를 생성하는 중성자발생장치(D-T generator) 또는 평균 4.2MeV의 에너지 대역의 중성자를 유발하는 화학선원(241Am-Be)에서 방출된 중성자가 산란과정을 통해 에너지가 감쇠되어 평균 0.4 eV의 고열중성자(epithermal neutron), 그리고 평균 0.025 eV의 열중성자(thermal neutron)를 이용하여 지층의 공극률을 측정한다. 열중성자는 궁극적으로 원자의 핵에 포획되어 소멸된다.
이중 중성자검층의 측정원리
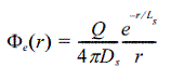
중성자선원에서 방출된 중성자는 선원과의 거리가 r인 경우, 다음과 같은 분산방정식으로 표현할 수 있다(Tittman, 1986; Bassiouni, 1994; Ellis and Singer, 2007).
(1a)
(1b)
식 (1)에서 D는 확산계수(diffusion coefficient),
는 중성자속(neutron flux), Q는 중성자 선원의 세기, Σ는 거시단면적(macroscopic cross-section)이며 아래 첨자 e는 고열중성자(epithermal neutron), t는 열중성자(thermal neutron)를 의미한다.
식 (1a)는 고열중성자 에너지 영역의 분산방정식으로 고열중성자의 선원 Q을 포함하고 있으며 (1b)는 열중성자 에너지 영역의 분산방정식으로 마지막 항인
는 열중성자 에너지 영역의 선원에 해당된다.
위 식을 무한 매질 내에 위치하는 점 선원으로 가정하면 거리 r에서의 고열중성자속과 열중성자속은 다음과 같이 표현할 수 있다.
(2a)
(2b)
식 (2)에서 Ls는 감속거리(slowing down length), L은 열확산거리(thermal diffusion length)이다. 감속거리는 중성자 선원에서 방출된 높은 에너지를 갖는 중성자가 열중성자로 될 때까지 이동한 평균거리를 의미하며 감속거리가 짧다는 것은 중성자가 이동하면서 물질과의 반응으로 에너지가 빠르게 감쇠함을 의미한다. 열확산거리는 열중성자가 원자핵에 포획되어 소멸되기 전까지 이동한 평균 제곱거리(mean square length)를 의미하며 열확산거리는 염소(Cl)나 보론(Boron) 등과 같은 열중성자 흡수 물질에 좌우된다.
식 (2b)에서
1와 같이 선원에서 검출기까지의 거리가 충분히 멀어지면, Ls은 L보다 크기 때문에 식 (3)과 같은 근사식으로 표현할 수 있다.
(3)
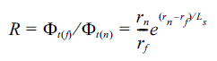
중성자검층에서 1개의 검출기를 이용하여 고열중성자 또는 열중성자 계수율에서 지층의 공극률을 측정할 경우, 측정되는 계수율은 식 (2)와 같이 많은 매개변수들을 포함하고 있다. 따라서 1개의 검출기보다는 2개의 검출기를 이용하여 측정한 계수율 비로 나타내면 식 (4)와 같으며 검출기와 선원과의 거리(r), 그리고 감속거리(Ls)와의 함수인 것을 알 수 있다. 감속거리(Ls)는 높은 에너지를 갖는 중성자가 고열중성자로 감속되는 거리를 의미하는데 중성자의 감속은 탄성산란과 관련되며 탄성산란에서 가장 많은 영향을 주는 원소는 수소이기 때문에 지층의 공극률과 관련이 있음을 알 수 있다. 따라서 식 (4)의 계수율 비에서 지층의 공극률 추정이 가능하며 중성자 선원과 검출기와의 거리는 일반적으로 30~60 cm이다.
(4)
위 식에서
은 먼 거리 검출기에서 측정한 계수율,
은 가까운 거리의 검출기에서 측정한 계수율, rf은 먼거리 검출기까지의 거리, rn은 가까운 거리의 검출기까지의 거리이다.
Table 1은 화학선원의 평균 에너지인 4.2 MeV에서 0.4 eV 고열중성자까지 감속될 때의 충돌 횟수를 나타낸 것으로 수소(H)가 효과적인 감속역할을 하는 것을 알 수 있다. 이와같은 충돌 횟수는 감속거리(Ls)와도 관련이 있는데 중성자가 이동하는 경로에 수소가 많은 경우, 감속거리도 함께 작아지는 것을 알 수 있다.
1개의 검출기를 이용하는 중성자검층은 1950년대 최초로 개발되었으며 시추공 환경과 지층 구성 원소 내의 중성자 포획 영향, 염도와 셰일의 영향을 최소화하기 위하여 2개의 검출기를 이용하는 이중 중성자 존데가 개발되었다(Alger et al., 1972; Allen et al., 1967; Wilson and Wichmann, 1974, Wu et al., 2013). 중성자의 측정 에너지영역에 따라서 열중성자를 측정하는 존데와 고열중성자를 측정하는 존데로 구분할 수 있다. 열중성자의 경우 측정 반경이 고열중성자에 비해 깊고 측정되는 계수율이 크다는 장점이 있으나 염도에 민감한 단점이 있다. 반면에 고열중성자는 상대적으로 조사 심도가 얕고 측정 계수율은 작으나 염도에 둔감한 장점을 가진다(Ellis and Singer, 2007). 현재 시판되는 중성자검층 장비는 주로 열중성자를 측정하는 2개의 검출기를 이용하는 이중 중성자 존데이며 고열중성자검층은 검출기 주변에 열중성자 흡수제인 Cadmium을 얇은 튜브 형태로 감싸서 측정한다(Hearst et al., 2000).
중성자검층 존데의 수치모형 설계 및 MCNP 모델링 검증
지층 및 이중 중성자 존데의 수치모형 설계
MCNP 모델링을 위해 2개의 중성자 검출기를 갖는 이중 중성자 존데를 Fig. 2와 같이 수치 모형화하였다. 존데의 길이는 192.5 cm, 지름은 6.35 cm이다. 존데 내부에는 두 개의 검출기가 위치하며 근거리 검출기와 원거리 검출기의 중앙에서 존데 하부의 중성자 선원 중심까지의 거리는 각각 31.5 cm, 58.5 cm이다. 두 개의 중성자 검출기 아래에는 중성자 선원에서 방출되어 존데 내부로 이동하는 중성자의 차폐와 검출기의 고정 목적으로 7.5 cm 길이의 플라스틱이 위치한다. 이와 같은 배열의 수치화는 한국지질자원연구원에서 운용중인 영국 Robertson Geologging사의 이중 중성자 존데(Dual Neutron Neutron Sonde: DNNS) 실제 규격을 참조한 것이다. 중성자 선원은 3Ci 241Am-Be을 이용하였으며 중성자의 평균 에너지는 약 4.2 MeV로 MCNP 모델링은 동일한 선원의 스펙트럼(spectrum)을 갖는 중성자 선원을 이용하였다.
MCNP 모델링
MCMP 코드는, 난수를 기반으로 함수 값을 확률적으로 계산하는 Monte Carlo 방법에 기초하여 1949년부터 핵 관련 연구 목적으로 미국 Los Alamos National Laboratory에서 개발되어 현재까지 진행되고 있다. MCNP 코드는 중성자, 광자, 전자 등 하나의 입자 혹은 두 개 이상의 입자 수송과정을 모사할 수 있는 프로그램으로서 방사능 입자와 매질 입자들 간의 반응을 구현하기 위해 확률론적 방법을 이용한다(LANL, 2008).
MCNP 코드의 입력은 표면 카드(surface card), 셀 카드(cell card), 데이터 카드(data card)를 이용하며 MCNP 모델링 절차는 Fig. 3과 같다(Won et al., 2014). 수치 모델링에 이용한 지층과 공극 내 유체의 화학조성 및 구성비는 방사능 거동 모델링을 위한 물질 구성 자료를 활용하였다(McConn et al., 2011). MCNP 실행에서 분산감소기법을 적용하였으며 MCNP 실행 중, 내부 루틴으로 수행되는 10개의 통계 검정 및 에러율이 1% 이내의 신뢰할 수 있는 결과만을 이용하였으며 수치모델링에 이용한 MCNP는 버전 6이다(LANL, 2008).
MCNP 모델링을 이용한 교정곡선 작성
2개의 중성자 검출기에서 측정한 계수율은 각각의 계수율 값을 지층의 공극률로 환산하지 않고 계수율의 비(Far/Near)를 이용하여 공극률로 환산한다. 물리검층 존데에서 측정한 값은 대상 지층의 물성 값이 아닌 경우가 대부분이기 때문에 방사능검층의 경우, 일반적으로 측정값을 지층 물성으로 변환을 위한 교정곡선(calibration chart)이 필요하다. 그러므로 장비 제작과 함께 교정곡선 작성은 필수적이다. 특히 방사능검층의 경우, 이용하는 방사능 선원의 반감기에 따른 영향이나 검출기의 종류와 크기 등의 영향으로 각각의 존데에 적합한 교정곡선이 필요하다. Robertson Geologging Limited에서 제작한 이중 중성자검층 존데는 2개의 공경(150 mm, 214 mm)에 대한 교정곡선을 사용자에게 제공하며 이들 교정곡선은 헝가리 ELGI사에서 실험, 작성되었다(Robertson Geologging Limited, 1995; Hwang et al., 2003). 중성자검층 장비의 교정은 일반적으로 다양한 공극을 갖는 석회암을 대상으로 수행하며 시추공과 공극은 담수로 채운 상태에서 수행한다. 따라서 이중 중성자검층 장비에서 측정한 공극률은 석회암에서 측정한 경우는 절대 공극률 값이 되지만 장비 교정을 수행한 환경과 다른 경우, 즉 사암인 경우라면 중성자검층으로 측정한 공극률은 상대 공극률 값이 된다.
본 논문에서는 영국 Robertson Geologging Limited사의 이중 중성자존데와 헝가리 ELGI사의 교정 시추공을 수치 모형화하여 MCNP 모델링을 수행하였다. Fig. 4는 MCNP 모델링을 수행한 결과로 작성한 교정곡선으로서 Robertson Geologging Limited (1995)의 교정 곡선과 유사한 경향을 보인다. 약간의 차이는 이중 중성자 존데의 수치 모형화 정보가 실제 존데와의 차이에 기인한 것으로 판단된다. MCNP 수치시험의 중요성은 장비 제조사에서 제한된 교정곡선만을 제공함에 있다. 즉, DNNS의 교정곡선은 석회암 지층 내에 직경이 150 mm, 214 mm인 시추공에 대한 교정 곡선만을 제공하여 시추공과 공극 내에 담수로만 채워진 환경의 시추공 지름 변화에 대한 공극률 환산만 가능하다. 일반적으로 시추공의 지름에 대한 정보는 공경검층 자료를 활용하며 공경검층 자료가 없는 경우는 시추 비트의 크기를 참조하여 이용한다. 시추 비트 크기를 이용하여 시추공 지름 자료로 활용하는 경우, 일반적으로 정확한 시추공 크기 변화를 반영하지 못하기 때문에 공극률이 높게 추정된다. 다양한 환경에 대한 교정곡선 제작이 필요하나 물리적 지층 모형을 제작하여 실험하는 경우, 비용과 시간에 많은 현실적 제한이 따른다. 예를 들면, 시추공 크기를 비롯하여 시추공 내 유체의 종류와 염도, 시추공벽과 존데의 떨어짐(stand-off), 온도와 압력 등과 같은 시추공 환경 영향뿐만 아니라 공극 내 유체의 종류와 염도, 지층의 광물조성, 열중성자 포획단면적(thermal neutron cross-section) 등의 다양한 영향도 고려해야 하기 때문이다(Allen et al., 1967; Alger et al., 1972; Wilson and Wichmann, 1974; Ellis et al., 2004; Gilchrist, 2009).
다양한 시추공 환경을 고려한 MCNP 모델링 결과 및 고찰
MCNP 모델링의 장점은, 물리적인 지층과 시추공 환경에서 도출된 교정곡선과 일치하도록 수치모델링을 수행하여 타당성을 확보한다면, 다양한 지층과 시추공 환경에 대한 반응의 예상과 함께 보정곡선(correction chart)을 작성 할 수 있다는 점이다. 영국 Robertson Geologgig Limited사에서 이중 중성자 존데에 대한 교정 곡선은 담수로 포화된 환경에서 공경 변화에 대한 것으로 Fig. 4의 MCNP 모델링 결과에 대한 타당성을 바탕으로 다양한 지층과 시추공 환경에 대한 보정곡선을 MCNP 모델링으로 작성하였다.
암상변화의 영향
중성자 선원에서 방출된 중성자가 검출기에 도달하는 과정에서 주로 수소와 많은 반응을 하지만 지층을 구성하는 다양한 물질과도 반응을 한다(Ellis et al., 2003; Gilchrist, 2009). 특히 열중성자를 이용하여 지층의 공극률을 측정하는 경우, 셰일 지층에 포함된 보론(boron)이나 염수의 Cl 성분은 매우 강력한 중성자 흡수체(absorber)(Ellis et al., 2003)로 수소 이외에 지층을 구성하는 성분에 영향을 받고 있음을 알 수 있다. 일반적으로 중성자검층 존데의 교정은 순수한 CaCO3 석회암을 대상으로 하며 MCNP 모델링을 수행하면 구성 성분이 다른 지층에 대한 공극률 추정도 가능하다. 즉, Fig. 5는 석회암, 사암과 셰일의 공극률이 0%, 10%, 20%, 30% 경우에 대한 MCNP 모델링 결과이다. 석회암 공극률에 대한 계수율 비(Far/Near)를 기준으로 사암의 경우는 계수율 비가 큰 반면에 셰일의 경우는 상대적으로 계수율 비가 작음을 알 수 있다. 사암이 계수율 비가 상대적으로 큰 이유는 사암을 구성하는 원소가 중성자와의 반응 단면적이 작아 에너지 감쇠 또는 중성자 속도감소가 작아 중성자의 이동 거리가 길어져 원거리 검출기에서의 계수율이 많아지기 때문이다. 반면에 셰일의 경우는 구성 원소의 반응 단면적이 커서 짧은 거리에서도 중성자의 에너지 감쇠가 발생하기 때문이다. 공극률이 0%와 30%인 경우를 비교하면 공극률이 0%인 경우 순수하게 지층을 구성하는 원소의 차이를 반영한 것이며 공극률이 30%가 되면 공극내 물의 부피가 증가하여 차이가 감소한다. Fig. 5의 곡선은 중성자검층이 수행된 지역의 지질에 정보를 알고 있는 경우에 효과적으로 공극률 추정에 활용될 수 있음을 알 수 있다.
공극 유체의 영향
중성자검층은 밀도검층(density log)과 함께 탄화수소 (hydrocarbon)의 평가에 이용되며 특히, 가스로 포화된 경우에 효과적으로 적용된다. 가스가 공극을 채우고 있는 경우, 수소지수(hydrogen index, HI)가 낮아 공극률이 실제보다 매우 낮게 평가되며 밀도검층의 경우, 가스의 작은 밀도 영향으로 밀도검층에서 작은 밀도 값으로 측정된다(Rider and Kennedy, 2011). 일반적으로 물과 오일은 중성자검층에서 큰 차이를 보이지 않는 것으로 알려져 있으나 구성비의 차이에 의해 두 물질의 반응 비 또한 차이가 날 수 있음에 주의해야 한다. 즉, 각기 다른 지역에 매장된 일부 오일은 상대적으로 수소 구성비가 높을 수가 있으며 Table 1과 같이 수소와 함께 물을 구성하는 산소와 오일을 구성하는 탄소에 의한 중성자 감쇠 차이에 의해서도 이와 같은 영향을 보일 수 있다. Fig. 6은 지층이 석회암(a)과 사암(b)인 경우, 공극의 크기와 공극을 채운 유체의 특성에 따른 계수율 비의 변화를 나타낸 것이다. 공극이 가스로 포화된 경우, 공극률의 증가에 따라서 가스 부피도 증가하여 계수율 비에서 가스의 영향을 쉽게 파악할 수 있다.
시추공 지름 크기의 영향
중성자검층은 시추공 지름의 변화에 따라서 계수율 비가 변화함을 예상 할 수 있다. 즉, 이중 중성자 존데의 측정범위는 중성자 선원과 검출기까지의 거리와 지층을 구성하는 원소의 반응단면적에 따라서 가탐 반경이 변하지만 기본적으로 선원과 검출기 주변은 이수가 존재하여 이수의 영향을 파악하고 보정할 필요가 있다. Fig. 4는 시추공 지름이 150 mm, 214 mm에 대한 교정곡선으로 시추공 지름이 이들 범위 내에 있는 경우는 내삽, 밖에 있는 경우는 외삽을 하여 공극률을 산출하게 된다.
Fig. 4의 결과보다 시추공 지름 변화에 대한 영향을 이해하기 쉽도록 시추공 지름을 3, 5, 7, 9 인치로 변경하여 MCNP 모델링을 수행한 결과를 Fig. 7에 나타내었다. 지층은 석회암이며 공극과 시추공은 물(H2O)로 채워져 있다. Fig. 7에서 시추공 지름이 증가함에 따라서 계수율 비의 변화가 상대적으로 작아지며 공극률이 커질수록 각 시추공 지름 크기에서 계수율 비의 차이도 작아지는 것을 알 수 있다. Fig. 4는 시추공 지름이 6~9인치 범위에서의 교정곡선으로 Fig. 7과 같이 시추공 지름이 3인치인 경우, Fig. 4의 교정곡선을 이용하여 시추공 지름이 3인치인 경우에 적용하면 외삽에 오류가 발생할 수 있음을 알 수 있다. 즉 Fig. 7에서 시추공 지름이 3인치인 경우는 시추공 지름과 존데의 직경 차이가 크지 않아 시추공 내부 유체의 영향이 가장 작은 경우로 공극률 측정값의 정확도 또한 가장 좋을 것으로 예상된다. 따라서 Fig. 4의 교정곡선을 이용하는 것보다 Fig. 7과 같이 다양한 시추공 지름 변화에 따른 계수율 비를 이용하는 것이 공극률 계산의 신뢰도와 정확도가 높을 것으로 판단된다.
국내 지반조사 시추공은 대부분 3인치 지름으로 굴착한다. 3인치 지름의 시추공에서 중성자검층을 수행하고 교정 곡선을 이용하여 공극률로 변환하게 되면 암반 구간에서 수 %의 공극률이 측정되기도 한다(Hwang et al., 2004). 이와같은 원인은 크게 2개로 추정된다. 첫 번째는 중성자검층 장비로 측정한 공극률은 석회암에서 측정할 경우 절대 공극률이지만 그 이외는 모두 상대 공극률이기 때문이다. 두 번째는 Fig. 4과 같이 시추공 지름이 3인치인 경우는 공극률 계산에 외삽법을 적용하기 때문에 오차가 발생할 수도 있다.
케이싱의 영향
방사능검층은 투과력이 좋아 다른 물리검층법과 비교할 때, 케이싱의 영향이 작은 장점을 가진다. 그러나 열중성자를 이용하는 이중 중성자검층의 경우, 반응 단면적이 큰 염소(chlorine)의 영향을 받아 케이싱을 구성하는 물질에 대한 주의가 필요하다. 국내의 경우, 시추공을 굴착한 후에 붕락 방지 목적으로 철재와 PVC를 이용하여 케이싱을 설치하기도 한다. 따라서 나공(open hole), 철재와 PVC 케이싱이 설치된 경우에 대한 계수율 비를 계산하여 케이싱 영향을 고찰하였다. 지층은 석회암이고 시추공 지름은 3 인치, 공극과 시추공 내부의 유체는 물로 채워졌다고 가정하였으며 케이싱의 두께는 시추 현장에서 흔히 접하는 22 mm로 설정하였다. Fig. 8은 나공, 철재와 PVC 케이싱이 설치된 조건에서의 계수율 비이며 나공을 기준으로 철과 PVC 순서로 계수율 비가 감소한다. 나공 상태와 비교할 때, 차이가 크지 않음을 알 수 있으나 케이싱 두께 증가에 따라서 계수율 비가 변화할 것을 예측할 수 있다. 또한 공극률이 증가함에 따라서 케이싱의 영향보다 공극률의 영향이 상대적으로 증가하여 케이싱 영향의 보정 정확도가 감소하는 것으로 판단된다. Fig. 8에서 시추공 지름이 3인치인 경우는 일반적으로 조사 시추공에 해당되지만 대구경의 시추공이 굴착된 경우, 대부분 케이싱을 설치하는 경우가 많아 다양한 시추공 지름 변화에 대한 계수율 비의 영향도 파악할 필요가 있다.
공내수의 영향
중성자검층은 일반적으로 공내수가 물로 채워져 있을 때의 조건에서 수행되나 지하수위가 지표 부근이 아닌 경우, 지하수면 상부의 공기층에서 자료를 측정하는 경우가 있다. 이와 같은 경우, 시추공 내에 물이 없어 중성자의 감쇠가 작아 지하수위 하부와는 다른 형태의 계수율 비를 나타나게 된다. 일반적으로 근거리 검출기보다 원거리 검출기를 크게 설계하고 시추공 내부로 이동하는 중성자의 감쇠도 작기 때문에 지하수면 하부와는 반대의 특성을 보여 해석이 불가능한 경우가 대부분이다. 방사능검층법 중에서 중성자검층은 지하수위의 변화에 가장 민감하게 반응하여 지하수위 추정에도 활용되기도 한다. 지하수위 상부에서 측정한 자료의 해석을 위하여 3, 5, 7, 9인치의 시추공 지름 변화에 따른 계수율 비를 계산하였다. 지층은 석회암이며 시추공 내부가 공기와 물로 채워진 경우에 대한 MCNP 모델링 결과는 Fig. 9과 같다. 석회암의 공극률은 0%으로 설정하여 순수하게 시추공 내에서의 수위 변화에 대한 반응만 고찰하였다. Fig. 9에서 시추공 내부가 물로 채워진 경우, Fig. 7과 같이 시추공 지름이 증가함에 따라서 중성자와 반응하는 물의 부피도 증가하여 계수율 비가 작아짐을 알 수 있다. 이와는 반대로 시추공 내부가 공기로 채워진 경우, 열중성자와 반응하는 물질이 없어 시추공 지름이 커질수록 계수율 비가 커지는 것을 알 수 있다. 이와 같은 계수율 비의 변화는 이중 중성자 존데에 장착한 검출기의 크기나 선원과 검출기까지의 거리, 차폐물질 등에 따라서 차이가 있을 수 있다. 즉 이중 중성자의 제조사가 다른 경우, 같은 제조사의 제품인 경우라도 존데의 설계에 따라서 계수율 비가 달라질 수 있음을 예상할 수 있다.
지금까지 MCNP 모델링을 이용하여 교정곡선을 작성하고 이를 바탕으로 다양한 시추공 환경에서의 반응을 고찰하였다. Fig. 4에서 제시한 교정곡선은 실제 교정곡선과 근사하나 약간의 차이가 존재한다. 이는 MCNP 모델링의 문제라기보다는 존데의 정확한 수치 모형화가 어려운 것으로 판단된다. MCNP 모델링의 적절성은 Ku and Nam (2012)에서 Ellis et al. (2003)의 모델에 대한 적용을 통해 적절성을 확인하였다. 그러나 존데의 수치 모형화는 제조사에서 제공하는 장비의 상세 규격과 실제 존데를 분해하여 각 부품들에 대한 크기와 배열을 상세히 측정 및 확인했음에도 완전한 수치화는 쉽지 않은 문제이다. 현재까지 MCNP 모델링 결과를 통해서 지층, 공극 내 유체, 시추공 지름 변화, 케이싱 영향, 공내수 영향에 대한 특성을 고찰하였다. 이들중에서 시추공 지름이 중성자 존데와 가장 유사한 3인치 시추공에서의 계수율 비가 5~9인치에서의 변화와 차이가 있었으며 케이싱 재질에 따른 계수율의 비가 작은 점, 그리고 지하수위 상부에서의 계수율 비가 명확한 특징을 보이고 있다. 지하수위 상부에서의 중성자 반응은 공극률이 0%인 지층을 대상으로 모델링을 수행하였지만 향후, 다양한 범위의 공극률을 갖는 불포화대에 대한 중성자 반응 특성 연구가 필요하다. 계산된 교정곡선과 실제 교정곡선과의 오차에 의한 영향보다는 앞으로 현장 자료와 MCNP 모델링과의 비교를 통해 문제점을 해결해야 할 것으로 판단된다.
결론
지질, 자원 등 다양한 분야에서 적용되는 중성자검층의 활용성과 측정값의 신뢰성을 높이기 위하여 Monte Carlo 알고리듬에 기초한 MCNP 모델링을 수행하였다. MCNP 모델링은 중성자 존데와 지층의 수치화를 기본으로 존데 고유의 교정곡선과 MCNP 모델링으로 계산한 교정곡선의 비교를 통해 모델링의 적정성을 확인하고 암상변화, 공극 유체 특성, 시추공 지름 변화, 케이싱 영향, 공내수 영향을 모델링 결과를 이용하여 고찰하였다. 중성자검층의 MCNP 모델링 결과를 요약하면 다음과 같다.
1. 중성자 존데와 선원, 지층을 MCNP 모델링에 적합하도록 수치화하고 모델링을 수행한 결과, 제조사에서 제공한 교정곡선과 유사한 결과를 얻을 수 있었다. 실제 교정곡선과의 차이는 주로 중성자 존데의 정확한 수치모형화의 한계로 판단되며 지속적인 수치 모형 개선이 필요하다.
2. 석회암, 사암과 셰일 지층에 대한 MCNP 모델링 결과, 공극률이 0%인 경우 계수율의 비에서 많은 차이를 보였다. 이는 각 암상을 구성하는 성분의 차이에 의한 것으로 중성자검층이 기본적으로 수소와 반응성이 가장 크지만 암상의 영향도 받는 것을 알 수 있었다. 이와 같은 암상 사이의 차이는 공극률이 증가하면서 감소하여 공극 내 물의 부피에 의한 영향을 잘 반영하고 있다. 암상에 대한 정보를 알고 있다면 중성자검층에서 공극률의 정확한 측정이 가능함을 알 수 있다.
3. 지층 내 공극에 물, 오일, 가스 중의 하나로 포화된 경우, 물과 오일은 공극률이 증가하여도 계수율의 차이가 작으며 가스로 포화된 경우는 공극이 증가함에 따라서 물, 오일과 반대 경향을 보였다. 이와 같은 경향은 석유탐사에서 중성자검층과 밀도검층을 이용하여 가스 저류층 평가에 활용될 수 있음을 의미한다.
4. 3, 5, 7, 9인치 시추공 지름 변화에 대한 모델링 결과, 시추공 지름이 증가할수록 공내수의 영향으로 계수율 비가 감소하며 시추공 지름의 증가와 함께 공극률이 증가하면 공극수 양 변화의 영향으로 계수율 비의 차이는 줄어들었다. 특이한 것은 시추공 지름이 존데와 가장 유사한 3인치 시추공 지름에 대한 결과로 지름이 5~9인치 범위의 변화와는 다르게 계수율의 비가 더 많이 증가하였다는 것이다. 이와같은 결과는 존데와 시추공벽 사이의 틈새가 1.15 cm에 불과하여 공내수 영향을 작게 받은 결과로 해석된다.
5. 2.2 mm 두께의 철, PVC 케이싱, 그리고 나공 환경에에서 모델링을 수행한 결과, 케이싱 구성 물질에 따른 작은 차이를 파악하였다. 공극률이 0%에 근사할수록 차이가 인지되나 공극률이 증가하면서 차이가 줄어든다. 이와 같은 결과는 지층의 공극률이 큰 경우 케이싱 영향 보정의 어려움이 증가할 것으로 해석된다.
6. 시추공 내의 지하수위를 기준으로 지층의 공극률이 0%인 조건에서 중성자검층 계수율 비가 많은 변화를 보이는데 지하수위 상부에서는 중성자의 감쇠가 거의 발생하지 않아 지하수위 하부와는 반대의 경향을 보여 지하수위 파악에도 이용이 가능할 것으로 예상된다. 시추공 지름이 증가할수록 시추공 유체의 영향이 증가하여 계수율 비는 감소하는 경향을 보였다. 이와 같은 경향의 정도는 검출기의 크기, 선원과 검출기와의 거리 등에 따라서 계수율 비가 변화할 수 있다.












