서론
시료 제작 및 남원화강암의 물리역학적 성질
CND를 이용한 종파속도 측정
저주파 결함 탐지법을 이용한 암석 내부 상태 조사
저주파 결함 탐지법
실버슈미트 해머를 이용한 압축강도 추정
하중 단계에 따른 일축압축시험
저주파 결함 탐지기 측정 결과
결론
서론
국토의 효율적 이용을 위한 지하공간의 개발, 지하자원을 개발하기 위한 갱내 채굴, 방사성 폐기물 저장을 위한 지중처분장, 석유나 가스와 같은 에너지를 저장하기 위한 지하저장소, 그리고 고심도지하연구실 등 다양한 목적으로 이용될 수 있는 지하구조물에 대한 관심이 높아지고 있으며, 이에 따른 개발도 해마다 증가하고 있다. 이러한 크고 작은 여러 가지 형태의 지하구조물들은 개발하는 과정뿐만 아니라 완료된 이후에도 지속적으로 안정성을 확보하는 것이 무엇보다 중요한 사안 중의 하나이다. 따라서 지하구조물에 대한 안정성을 적절하여 평가할 수 있는 이론적 및 기술적 방법이 요구되며, 현재 이를 위한 많은 평가 방법들이 개발되어 제안되고 있다. 지하구조물의 안정성을 평가하기 위한 방법으로는 크게 수치해석적 방법(Jang et al., 2000; Sunwoo and Jung, 2005; Koo et al, 2008, Lee, 2014)과 실험적 방법(Kim et al., 2010; Kang et al., 2013)으로 구분할 수 있다. 수치해석적 방법(Numerical analysis method)에 있어서 Jang et al. (2000)은 유한차분법에 근거한 FLAC을 활용하여 지반구조물에 대한 안정성 평가를 수치해석적으로 수행하였다. Sunwoo and Jung (2005)은 Mathews stability graph 방법(Mawdesley et al., 2001)을 이용하여 수정된 한계 공동폭 기준을 적용하여 석회석 지하채굴 공동의 안정성을 평가하였다. Koo et al. (2008)은 안정성 Stability graph 방법과 경험적 방법을 이용하여 유한요소해석인 Visual FEA를 적용한 지하채광장 안정성 평가를 실시한 바 있다. Lee (2014)은 연속체 해석이 가능한 유한요소법인 MIDAS-GTS를 사용하여 지반구조물에 대한 안정성을 평가하였다. 실험적 방법(Experimental method)에 있어서 Kim et al. (2010)은 갱도의 광주에서 시료를 채취한 후에 단위중량, 탄성파속도, 일축압축강도, 인장강도 등을 측정하여 광주의 안정성 평가에 적용하였다.
수치해석적 방법의 경우 해석에 사용될 입력자료들을 얻기 위해 여러 종류의 실험적 방법들이 이용되어야 한다. 또한, 얻어진 자료들에 대한 검증에도 많은 시간이 소요되기도 한다. 실험적 방법의 경우도 마찬가지로 얻고자 하는 각 요소의 목적에 맞는 시험편의 제작은 물론 시험 과정에서 많은 시간과 노력이 요구되기도 한다. 하지만, 때때로 신뢰할 만한 자료를 얻기위한 충분한 시료을 얻지 못하는 경우도 발생하기도 한다. 본 연구에서는 이상에서 언급한 문제점들 중 일부분을 해결하기 위해 간편하게 이용될 수 있는 실험적 방법 한 가지를 제안하고자 한다. 본 연구의 목적은 비파괴시험법 중의 하나인 저주파 결함 탐지법(Low frequency ultrasonic flaw detection method)를 이용하여 하중조건에 따른 암석 내부의 상태변화를 정량적으로 파악하는 것이다. 본 연구를 위해 사용된 대상 시료는 남원화강암이며, 하중조건은 일축압축강도의 50%, 60%, 70%, 80% 등 네 가지 하중단계로 설정하였다. 암석내부의 상태는 시료에 작용된 각 하중단계에 따른 세 방향의 속도분포를 분석하여 그 변화 정도를 평가하였다.
시료 제작 및 남원화강암의 물리역학적 성질
본 연구에서 사용된 암석은 남원지역에 폭넓게 분포하고 있는 남원화강암으로써 대상 암석에 대한 물리적 및 역학적 성질을 파악하기 위하여 실내시험용 NG-1 시험편과 저주파결함 탐지용 시험편을 각각 제작하였다. 실내시험용 시험편은 직경 38 mm의 BX코어에 해당하며, 길이는 직경의 약 2배인 76 mm로 일축압축강도(Uniaxial compression strength)시험에 적합한 크기로 제작되었다. 시험편은 비중(Specificgravity), 흡수율(Absorption), 공극률(Porosity), 종파속도(Vp-velocity), 인장강도(Tensile strength), 영률(Young’s modulus), 포아송비(Poisson’s ratio) 등의 물리적 및 역학적 성질을 결정하는데도 이용되었다(Fig. 1a). 그 측정결과를 정리하면 Table 1과 같다. NG-1 시험편의 비중은 2.64, 공극률은 0.60, 흡수율은 0.23, 종파속도는 1505 m/s, 인장강도는 8 MPa, 일축압축강도는 195 MPa, 탄성계수는 53.5 GPa, 그리고 포아송비는 0.37로 나타났다. 저주파 결함 탐지용 NG-2 시험편은 81 mm (X축 방향) × 80 mm (Y축 방향) × 85 mm (Z축 방향) 크기로 각 면에 일축압축시험을 실시할 때 하중에 의한 편심을 방지하기 위하여 표면을 한국암반공학회 암석표준시험법(KSRM, 2010)에 근거하여 제작되었다(Fig. 1b).
CND를 이용한 종파속도 측정
CND (Concrete Non-Destructive Tester) 속도 측정장비를 이용하여 NG-2 시험편에 대한 X, Y, Z축 방향에 대한 속도를 측정하였다. CND에서 사용되는 주파수는 펄스 진동주파수이다. 펄스 속도는 일반적으로 물질의 특성에 의존하고 도달시간과 속도의 측정으로 물질의 상태를 평가할 수 있다. CND 속도 측정 장비의 특징 및 장점은 초음파의 속도와 전달시간을 측정하여 재료에 대한 강도를 추정할 수 있다는 점이다. 최신 디지털 기술을 활용하면 재료 내부의 특성은 물론 재료의 건전도와 균열의 깊이 까지도 측정이 가능하다. CND 속도 측정 장비는 CND 본체, 센서, 케이블로 구성되어 있다(Fig. 2). 매질 내에서 파가 전달되는 거리는 식 (1)을 이용하여 파의 속도로부터 유추할 수 있다.
(1)
여기서, V는 파의 도달속도, L은 파가 이동한 최단거리, T는 파의 전달시간을 나타낸다. CND로부터 측정된 결과를 정리하면 Table 2와 같다. X축 방향의 종파속도는 1687.5 m/s, Y축 방향의 종파속도는 1690.7 m/s, Z축 방향의 종파속도는 1548.3 m/s로 평균 종파속도는 1642.2 m/s로 나타났다.
저주파 결함 탐지법을 이용한 암석 내부 상태 조사
저주파 결함 탐지법
저주파 결함 탐지법은 비파괴 탐사장비인 휴대용 저주파 결함 탐지기(Low-frequency ultrasonic flaw detector, Proceq, Model No. A1220 Monolith)를 이용하는 방법으로서 본체 A1220, 센서 M2103, M2502, S1803, 그리고 LEMO double cable 등으로 구성된다(Fig. 3a). 이 장비는 측정 대상의 두께뿐만 아니라 파가 발신기에서 수신기로 도달하는 시간을 측정하는데 적용할 수 있으므로 재료 내 균열 깊이나 초음파 도달 속도를 알아낼 수 있다. 데이터 자료는 측정된 대상 시료의 초음파 속도를 리뷰(review), 밴드(band), 맵(map) 등 세 가지 형태로 저장된 파일을 통해서 확인할 수 있다. 측정 데이터가 실시간 파형으로 나타나는 리뷰모드는 화면의 측정된 파형을 통하여 특정 부위에 대한 신호, 전파시간, 측정 깊이를 확인할 수 있다. 일직선상에 특정 구간을 설정하여 측정 시 감지기를 설정한 단계(step)만큼 이동하며 시험편을 탐사하는 밴드모드가 있다. 맵모드는 밴드모드와 같이 측정 시험편의 면적에 대한 단면을 연속적으로 탐사하는 형태이다(Lee, 2013). 본 연구에서는 저주파 결함 탐지기의 초음파 측정으로 신뢰도가 높은 속도 값을 측정하기 위해 리뷰모드를 이용하였다. 저주파 결함 탐지기의 기본 설정은 Table 3과 같다.
M1803 센서는 미소 면적에 대하여 속도를 측정하기 때문에 속도가 비교적 정확하게 측정된다(Fig. 3b). M2103 센서는 단일 센서가 원형 단면 내에 일정한 간격으로 12개 장착되어 있으며 발신기와 수신기가 한쌍으로 되어 각 단일 센서의 평균 속도로 측정된다. 반면 M2502 센서는 24개의 단일 센서가 사각형 단면 내에 일정한 간격으로 배열되어 있으며 발신기와 수신기가 같은 단면 내에 장착되어 있다. 속도는 각 단일 젠서의 평균속도로 측정되며 주로 시료의 두께를 측정하는데 사용된다. 일반적인 속도 측정 방법은 시험편의 표면에 센서를 배열하는 방법에 따라 직접법(Direct method), 반직접법(Semi-direct method), 간접법(Indirect method)으로 나눌 수 있다(Fig. 4). 직접법은 발신기와 수신기의 배열을 시료를 사이에 두고 마주보게 배치하는 방법, 반간접법은 발신기와 수신기를 직교하여 시료의 속도를 측정하는 방법, 그리고 간접법은 발신기와 수신기를 동일한 면에 같은 방향으로 측정하는 방법이다. 직접법은 결과 값의 오차가 적으나 시료의 형태, 접근성에 대해 제한을 받고 간접법과 비간접법은 측정시 제한 요소가 적으나 오차가 크다는 단점이 있다. 본 연구에서는 직접법을 이용하여 X, Y, Z축 방향의 면에 대한 속도를 측정하였다.
실버슈미트 해머를 이용한 압축강도 추정
실버슈미트 해머는 스위스 Proceq사에서 개발된 L-type 해머이다(Fig. 5). 이 장비는 전자장비가 결합된 슈미트 해머로서 기존의 슈미트 해머와 비교할 때 몇 가지 특징이 있다. 기존 슈미트 해머는 타격 플랜저의 기계적 이동인 R값을 측정하는 반면, 실버슈미트 해머는 타격 직전과 직후의 속도를 측정하여 측정 시험편에 축적된 에너지를 계산하는 실제 반발계수 Q값을 측정한다. 또한 기존 슈미트 해머의 경우 타격 방향에 따른 R값의 각도 보정이 필요하지만, 실버슈미트 해머는 타격 방향에 대한 보정이 필요하지 않다(Lim et al., 2015). 시험편 NG-2에 대한 하중 단계별 일축 압축시험을 실시하기 전 시험편의 최대하중을 파악하기 위하여 실버슈미트 해머를 이용한 Q값을 측정한 후, 경험식 (2)를 이용하여 일축압축강도를 계산하였다.
(2)
시험편 각 면에 대해 20회 타격을 가하였으며, 이들 값 중 최대값과 최소값을 제외한 18개의 결과를 정리하였(Table 4). Q값의 전체 평균은 62.6이며, 이를 일축압축강도로 환산하여 계산하면 약 105 MPa에 해당된다.
하중 단계에 따른 일축압축시험
NG-2 시험편에 대한 일축압축시험은 (주)대경테크의 최대용량 150톤인 만능재료시험기(Model No. DTU-900HC Series)를 이용였다(Fig. 6). 하중단계는 실버슈미트 해머 Q값으로부터 산정된 일축압축강도의 50%, 60%, 70%, 80% 등 4단계 강도 비율로 설정하였다. 일축압축시험은 시험편의 X, Y, Z축에 대해 각각 1회씩 총 3회를 가하였으며, 그 결과를 나타내면 Table 5와 같다.
저주파 결함 탐지기 측정 결과
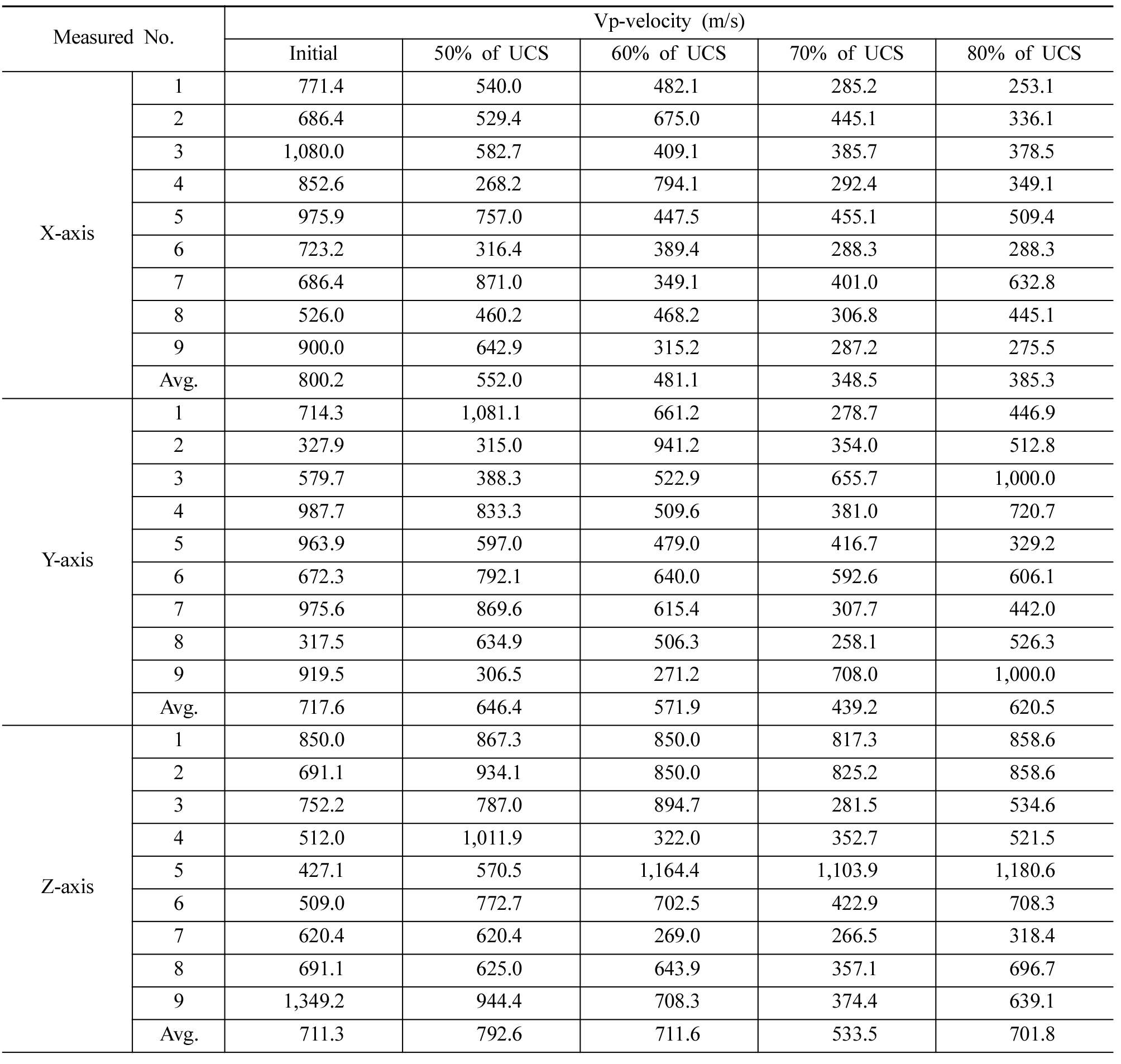
하중단계에 따른 시험편 NG-2의 X, Y, Z축 방향에 대한 저주파 결함 탐지기 측정 결과를 정리하면 Table 6과 같다. 그리고 각 방향에 대한 평균속도를 5단계 속도구간으로 구분하여 Fig. 7과 같이 나타냈다. 시험편에 하중을 가하기 전CND로부터 구한 초기 종파속도와 저주파 결함 탐지기로부터 구한 하중단계에 의한 종파속도를 고려했을 때, Y축 방향, 즉 X-Z면의 종파속도가 X축(Y-Z면)이나 Z축(X-Y면)과 비교했을 때 상대적으로 낮게 나타났다. 하지만 전체적인 종파속도 분포를 보면 하중단계가 증가함에 따라 X축 방향으로의 종파속도가 다른 두 축 방향보다 더 낮게 분포하고 있음을 알 수 있다. 또한 하중단계 중 강도비율이 70% 일 때가 가장 낮은 종파속도 분포를 나타냈다. 반면에 종파속도는 하중단계가 가장 높은 강도비율 80%의 경우가 70%보다 더 높게 나타나는 결과를 보였다. 저주파 결함 탐지기를이용하여 측정된 종파속도를 X, Y, Z축 방향의 평균값과 정규화한 값으로 환산하여 정리하면 Table 7과 같고, 그 결과를 Fig. 8에 도시하였다. 하중단계에 따른 각 방향의 평균 종파속도 크기는 X축 < Y축 < Z축 순으로 나타났으며, 전체 평균 종파속도는 Y축 평균 종파속도와 거의 일치함을 보였다. 이들의 결과는 초기 종파속도 크기가 Z축 < X축 < (≒)Y축인 것과 거의 반대되는 경향을 나타낸다. 이상의 결과만을 고려해 볼 때, 하중단계가 증가함에 따라 X축 방향의 종파속도를 감소시킨 요인이 Y축이나 Z축 방향보다 더 많은 영향을 미쳤기 때문으로 판단된다. 그러한 영향을 미치는 요인 중 하나가 하중 증가에 따라 시험편 내의 새롭게 발생한 미소 균열일 것으로 사료된다. 이러한 사실은 암석 내부의 초기상태는 응력상태가 변화함에 따라 다르게 나타날 수 있다는 것을 의미한다.
Table 6. Low-frequency ultrasonic flaw detector measurements of the Vp-velocity along the X-, Y-, and Z-axis directions of specimen NG-2. |
|
결론
이 연구는 비파괴시험법 중의 하나인 저주파 결함 탐지법을 이용하여 하중단계에 따른 종파속도를 측정하여 암석 내부의 상태변화를 정량적으로 나타내는데 있다. 대상 시료는 남원화강암이며, CND를 이용하여 초기 종파속도, 저주파 결함 탐지기를 이용하여 하중단계에 따른 종파속도를 측정하였다. 하중단계는 일축암축강도의 50%, 60%, 70%, 80% 등 4단계로 설정하고 하중단계에 따른 세 방향의 종파속도를 분석하였다. 그 결과를 정리하면 다음과 같다.
CND로 초기 종파속도를 측정한 결과 X축 방향 1687.5 m/s, Y축 방향 1690.7 m/s, Z축 방향 1548.3 m/s로 평균 종파속도는 1642.2 m/s로 그 크기는 Z축 < X축 < (≒)Y축 순으로 나타났다. 실버슈미트 해머에 의한 Q값의 전체 평균은 62.6이며, 이것으로 부터 추정된 일축압축강도는 약 105MPa로 나타났다. 하중단계 50%, 60%, 70%, 80% 수준에서 종파속도 결과를 비교해 보면, 대체적으로 하중이 증가함에 따라 종파속도가 감소하는 경향을 보였다. 하지만 하중단계 80%의 경우 70%보다 종파속도가 높게 나타나는 결과를 보였다. 하중단계에 따른 각 방향의 평균 종파속도 크기는 X축 < Y축 < Z축 순으로 나타났다. 이것은 하중단계가 증가함에 따라 Y축이나 Z축 방향보다는 X축 방향의 종파속도를 감소시키는 요인이 더 많은 영향을 미쳤기 때문으로 판단된다. 이러한 사실은 암석 내부의 초기상태는 응력상태가 변화함에 따라 다르게 나타날 수 있다는 것을 의미한다. 결론적으로 저주파 결함 탐지법은 하중단계에 따른 암석 내부의 상태를 정량적으로 평가하는데 유용하게 이용될 수 있을 것으로 판단된다.















.

