서론
연구지역 지질
Debris 2D 프로그램의 이해
입력요소 및 출력요소
현장 입력 조건
결과분석
항복응력에 따른 토석류 흐름속도 분석
토석류 확산범위 분석
토석류 최대 퇴적두께 분석
결론
서론
최근의 강우특성은 예전의 강우특성과 비교하여 하계기간에 집중되는 양상을 보이고 있다. 특히 최근 들어 이러한 하계기간의 집중호우로 인해 많은 건물 및 인명피해를 입은 사례가 증가하고 있다. 2011년 7월에는 집중된 하계기간의 집중호우로 인해 강원도 춘천시 일대를 비롯하여 경기도 여주 및 이천 등지에서 산발적인 산사태가 발생하였으며 이로 인해 가옥 및 인명피해가 발생하였다. 본 연구는 강원도 춘천시 신북읍에서 발생한 산사태에 대해서 산사태 발생 시의 토석류의 흐름에 대해 분석을 실시하고 흐름에 영향을 줄 수 있는 항복응력(yield stress)이 강우에 의해서 감소된다는 특성을 이용하여 항복응력의 변화를 이용하여 강우에 의해 확산되는 토석류의 범위를 계산하였다. 산사태가 발생한 곳은 2011년 7월 26일부터 27일 양일에 걸친 집중호우로 인해 토석류가 발생하여 건물 및 인명피해가 발생한 지역이다. 산사태의 규모는 약 220 m 정도의 연장을 가지며 정상부 하단에서 발생하여 하부의 도로까지 진행한 것으로 보여지며 토석류의 이동 경로에 있던 가옥에 피해를 입힌 것으로 파악된다. 본 연구에서는 국립대만대학교 코페이 류(Kofei Liu) 교수가 개발한 Debris-2D 프로그램을 활용하여 인위적인 산사태 물질의 부피를 가정하여 토석류의 흐름과 확산 범위 그리고 시간대별 최대 이동 속도를 계산하여 당시 발생한 토석류에 대한 특성을 해석하였다.
연구지역 지질
이 지역에 발달하는 지질은 시대미상의 변성퇴적암류와 후기에 이를 관입한 고기의 변성화성암류 및 신기의 화성암류로 구성되어 있다(Fig. 1). 변성퇴적암류는 이 지역의 대부분을 차지하며 하부로부터 용두리 편마암 복합체, 구봉산층군, 의암층군으로 구분되며, 용두리 편마암 복합체와 구봉산층군 사이의 관계는 미상이다. 본 연구지역은 용두리 편마암 복합체가 가장 광범하게 분포하고 주로 자류석편마암(미그마타이트질), 호상 흑운모편마암 및 흑운모편암으로 구성된다. 본 연구지역에 분포하는 자류석편마암은 뚜렷한 엽리면이 없고 자류석, 흑운모, 녹니석 등이 포함된 편마암이다. 호상 흑운모편마암은 연구지역에 가장 넓게 분포하고 있으며 기저를 이루는 자류석편마암과 큰 차이를 보이지 않는다. 흑운모편마암은 소양강 댐 부근일대에 걸쳐 분포하며 용두리 편마암 복합체의 최상부에 해당 한다.
Debris 2D 프로그램의 이해
비 뉴턴유체역학의 일종인 점소성 유체에 대한 이론을 적용하여 제작된 Debris-2D 프로그램은 계산에 적용되는 토석류(debris flow)전체를 연속체로 가정하여 계산하도록 되어있다. 사용한 구성방정식은 매우 얇은 물의 막을 형성하고 있다는 가정을 한 질량 및 운동보존의 법칙을 기초로 한다. 프로그램에 사용한 좌표계는 일반적인 Cartesian 좌표를 활용하였으며, 전체의 토석류내에 존재하는 변형률 비(strain rate)와 전단응력(shear stress)을 표현하기 위해서 Julien and Lan (1991)이 제안한 일반화된 3차원 구성관계(constitutive relation)를 활용하였다. 이 관계는 식 (1), (2)로 표현된다.
(1)
(2)
여기서, τij는 전단응력 텐서(shear stress tensor), εij는 변형률비 텐서(strain rate tensor), τ0는 항복응력(yield stress), μd는 동점착력(dynamic viscosity), μc는 분산파라메터(turbulent dispersive parameter), τII는 전단응력에 대한 2차 불변텐서(second order invariant tensor of shear stress), εII는 변형률에 대한 2차 분변텐서(second order invariant tensor of strain rate)이며 식 (3)과 같이 나타낼 수 있다(Arattano and Marchi, 2008).
(3)
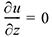
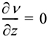
일반적으로 토석류가 발생한 현장에서의 조사를 근거로 Liu and Huang (2006)은 전단을 일으키는 면의 두께는 토석류의 전체의 두께에 비해 약 10% 이내라는 것을 확인하였으며, 또한 전단면의 두께는 토석류의 전체연장과 비교하였을 때 매우 작은 규모라는 것을 확인하였다. 이로서 해석에 사용되어진 전단면의 두께는 평면에 대해서 (x-와 y-방향) 매우 영향력이 작기 때문에 무시할 수 있다. 즉
,
로 표현 할 수 있으며 u는 x-방향의 변위를 나타내고 ν는 y-방향의 변위를 나타낸다. 다시 말하면 자유면에 위치한 토석류 부분은 2차원 거동을 일으킨다는 것을 의미한다. 토석류의 바닥을 z = B(x, y, t)로 정의하고(여기서 t는 시간) 자유면에 존재하지 않고 바닥면에 존재하는 토석류의 두께를 δ(x, y, t)로 표현한다면 바닥면에서 부터 자유면에 존재하는 토석류의 거동이 일어나는 두께는 z = B(x, y, t) + δ (x, y, t)로 나타낼 수 있다. 그리고 자유면의 두께를 z = h(x, y, t)로 정의하고 식을 정리하면
(4)
(5)
(6)
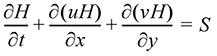
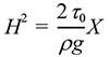
로 표현된다(Liu and Hsu, 2008; Liu and Lee, 1997; Liu et al., 2009; Liu et al., 2013; Liu and Wu, 2010; Liu and Wu 2013). 여기서 θ는 토석류가 흘러내리는 사면의 경사값, ρ는 토석류의 밀도, g는 중력가속도이며, H = h(x, y, t) - B(x, y, t) - δ (x, y, t)로 표현되며 τII이 τ0보다 작은 영역에서의 흐름 두께를 나타낸다. S는 침식되는 속도를 나타내며 단위는 m/s로 나타낼 수 있으며, 전단응력과 식 (7), (8)과 같은 상관관계를 가지고 있다.
(7)
(8)
kd는 침식계수로 정의되며 단위는 m3/N·s이고 τc는 일반현장에 존재하는 느슨한 흙의 특성 전단강도 값이다. a는 일반적으로 상수로서 1로 가정 한다 (Hanson and Simon, 2001; Hanson and Cook, 2004; Nam et al., 2010).
본 프로그램에서 사용된 초기조건은 식 (9)와 같다.
(9)
입력요소 및 출력요소
프로그램을 사용하여 토석류의 흐름 및 확산범위를 계산하기 위해서 필요한 입력요소(input parameter)는 현장에서 조사한 토층의 깊이를 포함한 토석류의 부피를 계산할 수 있는 기초자료와 흐름을 해석하기 위한 DEM 및 항공사진 자료가 반드시 필요하다. 현장조사 및 항공사진을 통해서 산사태 발생지역에 대한 예상 건조부피(Vd)를 계산 할 수 있다. Takahashi (2007)에 의하면 평형 고체부피 농도(equilibrium solid volume concentration)를 식 (10)으로 표현했다.
(10)
여기서 ρw는 물의 밀도, σ는 건조토석류 물질의 밀도(약 2,000 kg/m3), φ는 마찰각 (약 37°), θ는 사면의 평균 경사각이다. 여기서 Cv는 최대값을 0.603을 넘지 않는다(Liu and Huang, 2006). 그리고
인 경우에도 Cv의 값은 최대값 0.603을 가진다. 식 (10)을 이용하여 토석류의 밀도를
로 나타낼 수 있으며(Liu and Huang, 2006), 토석류의 부피는
로 나타낼 수 있다. 여기서 Vd는 앞서 설명한 바와 같이 현장조사에서 얻어진 토석류의 건조부피이며, Vw는 계산을 위해서 물을 포함한 토석류의 예상 부피를 나타낸다.
또 다른 입력인자는 토석류의 특성값 가운데 하나인 항복응력(τ0)이다. 이를 계산하기 위해서는 Fig. 2와 같이 거친면을 가지는 판을 준비하고 시료를 위치시킨 다음 또다른 판을 준비하여 수직된 방향으로 천천히 밀어 시료의 수직높이 변화를 측정한다. 이러한 작업을 평균 10회 정도 실시하여 식 (11)을 사용하여 항복응력 (τ0)을 계산한다.
(11)
여기서 H = H(X) 세로방향의 좌표 (X)에 대한 시료의 단면으로 정의된다.
현장 입력 조건
본 연구에서는 대략적인 조사를 통해서 현장에 분포하는 토심을 평균 1.5 m로 산정하였으며, DEM 자료를 활용하여 토석류의 근원물질에 대한 영역을 설정하였다(Fig. 3). 이를 바탕으로 식 (10)을 이용하여 사면에 분포하는 전체 토석류의 평균심도는 물이 충분히 포화되었다는 가정 하에 2.49 m로 산정하였다. 이를 기본으로 DEM 좌표에서 부피를 계산하고 토석류의 흐름에 대한 Debris2D 프로그램을 실행하였다. 기본적으로 프로그램은 토석류의 속도가 0.05 m/s 이하로 계산이 될 경우 계산을 멈추도록 설계 되어있다. 그러나 이번 분석에서는 같은 시간동안 입력인자의 값에 따라 흐름의 양상을 분석하는 것이 목적이기 때문에 시간을 동일하게 주어 계산이 일정시간에 멈추도록 하였다. 입력조건은 강우에 따라 변화를 보이는 항복응력을 다르게 계산하여 분석을 실시하였다. 항복응력의 조건 및 시간 설정은 Table 1과 같다.
결과분석
항복응력에 따른 토석류 흐름속도 분석
본 연구에서는 강우상태에 따라 토석류를 구성하는 물질의 전단응력이 약화되고 이런 결과로 인해 항복응력(yield stress)이 달라진다는 조건으로 항복응력을 위 표와 같이 각각 400 Pa, 700 Pa, 1300 Pa로 구분하여 분석을 실시하였다. 분석결과를 이용하여 토석류가 발생하고 80분 후까지의 토석류의 속도변화에 대한 분석을 실시하고 또한 발생이후 약 10초간의 속도변화를 각 경우에 따라 분석을 실시하였다. 그 결과는 Fig. 4와 Fig. 5에 나타나있다. Fig. 4에서 알 수 있듯이 전체적인 토석류의 흐름은 항복응력이 낮을수록 토석류의 흐름속도는 높게 나타나는 것을 확인하였다. 이는 점착력이 약해지면서 전단응력이 낮아지고 이로 인해 점착력과 전단응력의 영향을 받는 항복응력이 낮아져 발생하는 결과이다. Fig. 5를 통해서 각 경우에 대하여 최대 토석류 흐름 속도를 비교 분석한 결과 항복응력이 400 Pa인 경우는 최대 흐름 속도가 8.10 m/s이며 700 Pa인 경우는 최대 흐름 속도가 8.04 m/s, 1300 Pa인 경우는 최대 흐름 속도가 7.92 m/s인 것으로 나타났다.
따라서 충분한 강우에 의해서 전단응력이 낮아지면 이로 인해 항복응력이 감소하고 그 결과 토석류의 흐름 속도는 높아지게 된다. 이는 토석류가 시설물에 부딪힐 때의 충격 에너지와 관련된 사항으로 더 큰 힘을 시설물에 전달함으로 인해 시설물의 피해를 증가 시키는 결과를 초래할 수 있다.
토석류 확산범위 분석
앞서 설명한 바와 같이 강우상태에 따라 지표에 존재하는 토사의 전단강도가 저하된다는 가정 하의 분석에서 정의된 토석류의 항복응력을 조절하여 프로그램을 실행하였으며, 이로 인한 토석류의 확산 범위를 시간대별로 분석하였다. 분석 시간은 최초 토석류가 발생하고 난 이 후 5초 후, 20초 후, 200초 후로 나누어 3개의 경과시간에 따른 토석류의 확산범위를 계산하였다. 그 결과는 Fig. 6에 나타나 있다. 본 계산결과 항복응력이 낮은 경우에는 확산되는 범위는 넓게 분포하고 있으며, 이와 반대로 항복응력이 높은 경우에는 확산되는 범위가 낮은 경우에 비해서 좁게 분포한다는 것을 확인하였다. Fig. 6에 나타난 바와 같이 항복응력이 400 Pa인 경우에 비해 항복응력이 1300 Pa인 경우는 토석류가 좁은 형태를 보이며 강 까지 흘러가는 것을 확인 할 수 있다. 이는 앞서 설명한 바와 같이 충분한 강우에 의해서 토사의 전단강도가 저하되면 이로 인해 항복응력이 저하되고 그 결과로 토석류 물질은 보다 넓은 지역으로 확산된다는 것을 확인하였다. 또한 이 결과를 통해서 좌측의 토석류는 토석류 발생 약 5초 경과 후 시설물까지 확산이 되는 것을 알 수 있으며, 우측의 토석류 경우에는 발생이후 약 20초 정도가 경과된 후에 시설물에 미치는 것을 알 수 있다. 이는 토석류가 발생한 당시 토석류가 시간에 따라 어떻게 진행되었으며, 시설물까지 도달한 시간을 대략적으로 유추하는데 큰 도움을 줄 수 있다.
토석류 최대 퇴적두께 분석
시간 경과에 따른 토석류의 최대 퇴적두께 변화를 분석하기 위하여 각 항복응력 조건하에서의 전체적인 변화를 Fig. 7에 도식화 시켰다. 토석류가 발생한 이후 산재해 있던 토석류 시작물질들이 일시에 계곡을 따라 흐름으로 인해서 토석류 발생 이후 약 30초가 경과된 이후부터 퇴적물의 두께는 최대 두께를 나타내고 있다(Fig. 8).
앞서 확산범위해석에서 강우량에 의해 항복응력 값이 작아지면 토석류의 흐름은 빨라지고 넓게 분포하며, 이 경우 좌측의 토석류 물질이 시설물에 도착하는 시간이 약 발생이후 5초 경과 후에 도착하는 것으로 나타났으며, 우측 토석류 물질은 약 20초 이후에 도착하는 것으로 나타났다.
항복응력이 400 Pa의 경우는 최대 퇴적두께는 발생 32초 경과 후 6.76 m로 나타났으며, 항복응력이 700 Pa의 경우는 발생 33초경과 후 7.34 m, 항복응력이 1300 Pa인 경우는 발생 30초경과 후 6.77 m로 나타났다. 이후 토석류는 계곡을 따라 급하게 흘러내려 퇴적두께는 급격히 감소하는 경향을 보이다 약 50초 이후에는 다시 증가하다가 약 300초 후 부터는 지속적으로 감소하는 경향을 보인다(Fig. 8). 이는 토석류가 진행되는 동안 좁은 평지를 만나면서 퇴적물이 쌓여 생기는 현상으로 보여 지며 그 이후 급격히 퇴적물의 두께는 얕아 지는 것으로 나타났다(Fig. 9~11). 이렇게 얕아지는 것은 계곡의 종점부까지 진행한 토석류가 넓은 지형을 만나 확산되면서 더 이상 두꺼운 퇴적물을 만들지 않기 때문이다. 그리고 약 2000초 이후부터 보이는 퇴적두께는 퇴적물이 도로를 지나 강과 만나는 지점에 쌓이면서 나타나는 것으로 확인되었다(Fig. 9~11). 이 분석을 통해서 토석류가 발생한 당시의 최대 순간 퇴적두께는 약 6.5 m~7.5 m 정도를 보였을 것으로 추정한다. 이는 현장에서 확인한 토석류 의 흔적과도 매우 유사한 결과를 보인다.
결론
산사태가 발생한 시점에 대한 정확한 해석은 당시의 기록을 바탕으로 재현 할 수 있으며, 현장에 남아있는 흔적들을 바탕으로 본 연구에서는 수치해석 프로그램을 활용하여 발생 시의 토석류의 흐름에 대한 해석을 실시하였다.
토석류의 흐름을 좌우하는 것 가운데 하나는 당시의 강우량에 의해 흙이 가지는 전단강도의 저하를 들 수 있다. 전단강도의 저하로 인해 흙이 가지는 전단강도에 대한 항복응력 값이 저하되고 이로 인해 결국은 토석류의 흐름에 영향을 미치게 된다. 앞서 분석한 바와 같이 항복응력이 낮은 경우는 높은 경우에 비해 빨리 이동하는 특성을 확인하였으며, 또한 넓은 지역에 걸쳐 확산된다는 것을 확인하였다. 이는 강우량이 많아지고 토층사이로의 침투가 빨라 흙이 충분이 포화된다는 가정 하에 토석류 물질은 매우 빠른 속도로 이동하고 넓은 범위로 분포하게 된다. 이로 인해 토석류가 진행되는 방향의 시설물에는 큰 선단응력이 작용하고 피해 규모가 커지게 되는 경향을 보인다.
앞서 실시한 수치해석의 결과는 현장에서 확인되는 토석류의 흔적과 매우 유사한 결과를 보인다. 최대 퇴적 높이뿐만 아니라 최종적으로 확산된 토석류의 범위 또한 실제 현장의 흔적들과 매우 유사하다는 것을 확인하였다. 토석류의 특성상 실시간 해석이 매우 어렵다는 점을 고려하였을 때, 이러한 수치해석을 통한 토석류 발생 시의 특성을 해석하는 것은 토석류를 이해하는 데 매우 큰 도움을 줄 것으로 생각한다.














