서 론
복합지열시스템의 개요
연구지역 및 연구방법
연구지역
현장수리시험
시료채취 및 화학분석
수온과 전기전도도의 수직적 변화분석
탄산염 광물의 침전 가능성 평가
결과 및 토의
수리적 특성
지하수의 화학적 특성
수직적 수온 및 전기전도도 변화
결 론
서 론
국내에서 수막재배가 활성화되면서 지하수의 사용량이 급격하게 증가하였는데(Kwon et al., 2017), 특히 수막재배는 지하수를 사용하여 시설 내 온도를 일정하게 유지하는 방법으로 시설재배 농가에서 많이 사용하고 있다. 최근에는 수막재배시설에서 난방 또는 냉방을 위해 지열냉난방시스템을 이용하여 사례가 점차 증가하고 있으며(Song and Lee, 2015), 2000 년 초에 국내에 도입된 지열냉난방시스템은 정 부의 활발환 보급정책으로 인해 2014년까지 약 790 MW가 설치되었다(Song and Lee, 2015).
국내에서 수막시설에 적합한 지열냉난방시스템의 개발과 에너지 효율을 증가시키기 위해 다양한 분야에서 많은 연구 들이 활발히 진행되었다. 수막시설에서는 많은 양의 지하수를 사용하기 때문에 설치부지에 대한 수리지질학적 특성이 매우 중요하다. 또한, 농업활동으로 인해 지하수가 오염될 수 있다는 우려가 지속적으로 제기되고 있어 수막재배시설 에서 지열냉난방시스템을 친환경적으로 사용할 수 있는 기술개발이 필요한 실정이다.
대수층의 수리적 특성을 파악하기 위하여 현장에서 수행 되는 수리시험(aquifer tests)은 순간수위변화시험(slug test)과 양수시험(pumping test)이 있다(Lee and Lee, 1999; Lee et al., 1999). 양수시험의 기본 목적은 투수량계수(transmissivity; T)와 저유계수(storativity; S)같은 수리상수 값을 구하기 위해 수행되며, 비교적 큰 규모의 평균적 수리 상수 추정이 가능한 장점이 있지만, 복잡한 장비가 필요하고 시험시간이 긴 단점이 있다. 또한, 단계양수시험(stepdrawdown test)은 단공시험(single well test)으로 일정한 시간 간격으로 양수량을 증가시키면서 인근 관측정의 수위강하를 측정함으로써 관정의 효율, 대수성의 생산성 등을 평가하는데 사용된다(Dawson and Istok, 1991; Kruseman and de Ridder, 1991; Hahn, 1998). 일반적으로 단계양수 시험도 양수시험과 마찬가지로 각 단계에서 관정 내 지하수위가 안정될 때까지 양수를 지속해야 하는데 시험은 최소 3단계 이상 진행되어야 하며 각 단계에서의 양수시간은 동일하게 유지하는 것이 중요하다(Choi, 2010).
본 연구는 개방형과 밀폐형 지열시스템을 결합한 복합지 열시스템(combined well and open-closed loops geothermal systems, CWG)을 개발하는 과제의 선행연구이며 CWG 시스템의 설치부지에 대한 수리상수를 산정하고 대수층의 수직적인 수온 및 전기전도도의 변동특성 및 지하수의 지구화학적 특성을 평가하여 이러한 특성들이 CWG 시스템의 운영 및 주변 환경에 미치는 영향을 평가하기 위해서 수행하였다.
복합지열시스템의 개요
지열냉난방시스템은 형태에 따라 밀폐형과 개방형으로 구분된다. 밀폐형은 밀폐된 배관에 물 또는 물과 알콜의 혼합 용액을 순환시켜 열을 교환하는 방식이며 개방형은 지하수 또는 지표수를 직접 이용하여 열을 교환하는 방식이다. 밀 폐형은 상대적으로 수리지질학적 특성에 크게 영향을 받지 않지만 넓은 설치장소가 필요하며 개방형은 수리지질학적 특성에 크게 영향을 받지만 좁은 장소에 설치할 수 있다.
CWG 시스템은 개방형의 지열공 내부에 밀폐형 방식의 지중열교환기를 결합한 시스템으로 지열공 내부에 밀폐형 형태의 지중열교환기를 설치하여 지열공 내부에서 1차열 교환이 이루어지고 양수된 지하수에서 개방형 형태로 2차 열교환이 이루어지는 시스템으로(Fig. 1)현재 운영되는 밀 폐형 또는 개방형에 비해서 열에너지 효율이 크게 증대된다. 복합지열시스템은 지하수를 대량으로 사용하는 시설재배(수막재배 등)에 적합한 시스템으로 관정(지열공)으로부터 많은 양의 지하수를 양수하기 때문에 1차 열교환으로 인한 지중온도 변화는 거의 발생하지 않고 2차 열교환을 한 지 하수를 농업용수에 직접 사용할 수 있는 것이 장점이다. 따라서, CWG 시스템을 안정적으로 운영하기 위해서는 지하수가 풍부하며 국내 수질기준인 생활용수의 수질을 만족해 야 한다. 또한, CWG 시스템이 지하수 고갈, 지반침하 및 수질오염 등의 문제를 유발시킬 가능성을 완전히 배제할 수 없으므로 지하수 수량과 수질을 관측할 수 있는 시설의 설치가 필요하다.
연구지역 및 연구방법
연구지역
연구지역은 충북 충주시 금가면 오석리 일원으로 주로 수막재배와 논농사가 이루어지고 있으며 관계수로가 잘 정비 되어 있다. 산계는 태백산맥의 서쪽 말단부이며 대부분 고도 300~600 m로 낮은 구릉성 산지가 불규칙하게 분포하며, 수계는 주변 산계에서 발원한 소규모의 하천들과 태백산맥에서 발원하여 충주호로 유입되어 연구부지의 서쪽에서 북서방향으로 흐르는 남한강으로 이루어져 있다.
연구지역 주변의 지질은 중생대 쥐라기부터 백악기에 해당하는 불국사통과 시대미상의 옥천계가 폭넓게 분포하고 있으며, 이를 신생대 제 4기의 충적층이 부정합으로 피복하고 있다(Park and Yeo, 1971)(Fig. 2).
현장수리시험
본 연구에서 수행된 수리시험은 장기양수시험과 단계양수 시험으로 시험 대상 관정은 거의 일직선상에 위치하며 양쪽 끝에는 관측정(BH-1, 2)이 설치되어 있고, 가운데에는 복합 지열시스템 관정(GH-2~4)이 위치한다. 관정의 위치와 시추 자료 및 관정의 제원은 Fig. 3과 Table 1, 2에 정리하였다. 수리시험은 강수량의 영향을 최소화하기 위해 건기인 2017년 3월~4월에 수행하였다.
Table 1. Vertical profiles of geological properties at wells used in CWG systems and monitoring wells. |
|
장기양수시험은 수막재배용 복합지열시스템인 GH-2, GH3 및 GH-4 관정에서 심도 100 m에 설치된 7.5HP 수중펌프를 이용하여 각 관정에서 16시간 양수하였으며 양수 시 수위변화를 관측하기 위하여 양수정 및 관측정에 Solinst사의 Levelogger Gold를 설치하여 1분 간격으로 자동관측을 수행하였으며, 수동 수위계로 지하수위를 수시로 측정하여 보정하였다.
단계양수시험도 장기양수시험과 동일하게 GH-2, GH-3 및 GH-4 관정에서 수행되었으며, 양수량이 적은 단계에서부터 시작하여 단계적으로 양수량을 증가시켜 총 4단계를 일정 시간 간격으로 수행하였다. 각 관정에 대한 양수시험과 단계 양수시험에서 GH-3 관정의 단계양수시험을 제외하고는 모두 정류상태(steady-state)에 도달한 것으로 판단되는 시점까지 시험을 진행하였으며, GH-3 관정의 단계양수시험은 현장상황과 시험 조건을 고려하여 각 단계별 2시간 간격으로 시험을 진행하였다.
시료채취 및 화학분석
2016년 5월 25일, 7월 14일 그리고 8월 11일총 3회에 걸쳐 복합지열시스템 주변 관정과 관측정 및 강에서 물시료를 채취하였다. 시료 채취 시에는 고여 있는 물을 충분히 퍼내고 채취하였으며, 관측정(BH-1, 2)에서는 기반암이위 치한 40 m 하부에서 시료를 채취하였다. 채취한 물 시료는 현장에서 간이수질측정기를 이용하여 수온, pH, 산화-환원 전위(oxidation reduction potential, ORP), 전기전도도를 측정하였으며, 주양이온(Ca2+, Mg2+, Na+, K+)과주음이온(Cl., NO3., SO42.)분석은 4oC로 보관 후 ICP와 IC로 수행하였다.
수온과 전기전도도의 수직적 변화분석
2016년 5월 25일, 7월 14일 그리고 8월 11일총 3회에 걸쳐 복합지열시스템 관측정 BH-1, BH-2에서 수온과 전기 전도도의 수직적 변화를 100 m 심도까지 측정하였다. 수온과 전기전도도 측정은 Solinst사의 TLC Meter를 사용하였으며 대수층의 교란을 막기 위해 하향식(down-hole)으로 수행하였다. 정확한 수온과 전기전도도의 자료취득을 위해 측정 전 장비의 보정을 수행하였고, 측정된 값과 현장수질 측 정기(D-54, 55; Horiba 사)의 측정값을 비교하였다.
탄산염 광물의 침전 가능성 평가
개방형 지열시스템에서는 탄산염, 규산염, 철 및 망간수 산화물의 침전은 시스템의 열효율을 저하시키는 주요 원인이 된다. 따라서 이런 광물들에 대한 침전 가능성을 평가하는 것은 매우 중요하다. 특히 지하수 내 탄산염 광물에 의 한 침전 가능성이 매우 높기 때문에 랑겔리어 지수(Langelier saturation index, LSI)와 리즈나 지수(Ryznar stability index, RSI)를 이용하여 탄산염 광물 침전 가능성의 평가가 필요하며, LSI와 RSI는 개방형 지열냉난방시스템의 내부 부품에 탄산염 광물의 침전 가능성을 평가하는 지수로도 현재 많이 사용되고 있다(Rafferty, 2004).

여기서 pH는 시료채취 시 현장에서 직접 측정이 가능하며 pHs는 LSI를 계산하기 위해 CCAC (1965)가 제안한 것으로 다음과 같이 계산할 수 있다.

여기서 A, B, C 및 D는 다음과 같다.

여기서 TDS (total dissolved solid)는 총용존고형물의 양, oC는 수온, HD는 경도, alk는 알칼리도를 의미한다.
결과 및 토의
수리적 특성
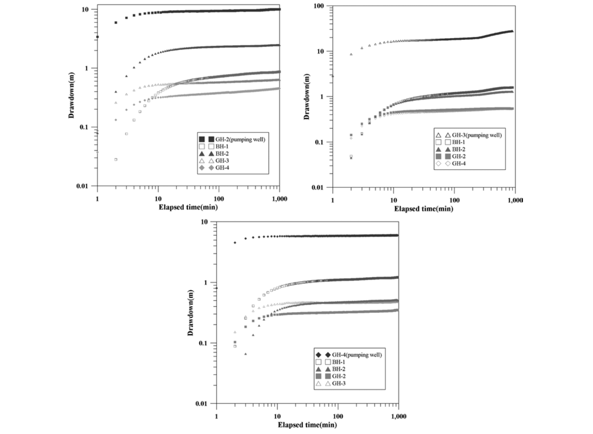
일반적으로 양수시험을 해석하기 위한 많은 개념모델과 해석방법들이 나와 있으며(Dawson and Istok, 1991; Kruseman and de Ribber, 1991)본 연구에서는 상용프로그램인 Aqtesolv ver. 3.5(HydroSOLVE,Inc.)를 이용하였다. GH-2, GH-3 및 GH-4 관정에서는 각각 365, 370, 374 m3/day의 양수량으로 각각 16시간 동안 양수하였는데, 각 장기양수시험 시의 양수량이 약 370 m3/day(± 5 m3/day)로 거의 유사함에도 불구하고, 최대 수위강하량은 GH-3에서 28.08 m로 나타나, GH-2의 10.04 m와 GH-4의 6.05 m 보다 약 1.8~3.6 배의 최대 수위강하량의 차이가 나타났다(Fig. 4). 본 연구지역의 시추자료에 의하면 충적 /풍화토 구간이 약 0~20 m로 나타나며, 그 하부로 약 30 m까지 풍화암이 발달하고 있다. 심도가 깊어질수록 연암 내지 경암층이 기반암으로 분포하며 부분적으로 파쇄대가 발달한 것으로 나타난다. 따라서, 본 연구지역은 수리지질학적 여건으로 볼 때 자유면대수층으로 보아야하나 관정의 심도가 150~400 m 인 균열암반대수층이므로 피압 및 누수대수층의 특성도 가지고 있기 때문에 여러 가지 대수층을 적용하여 수리상수를 산정 하였다. 피압대수층으로 가정했을 경우에는 Hantush (1962), 누수대수층으로 가정했을 경우에는 Hantush-Jacob (1955), 자유면대수층으로 가정하였을 때는 Neuman (1974)의 해석법이 가장 적합한 것으로 나타났다(Table 3, 4 및 5). 장기 양수시험 해석 결과 투수량계수는 GH-2, GH-3, GH-4, BH-1 및 BH-2 관정에서 각각 기하평균값이 37.83, 30.50, 58.99, 17.63, 13.49 cm2/sec 이며, 저유계수는 3.79 × 10.5 ~ 5.20 × 10.3의 범위를 가진다.
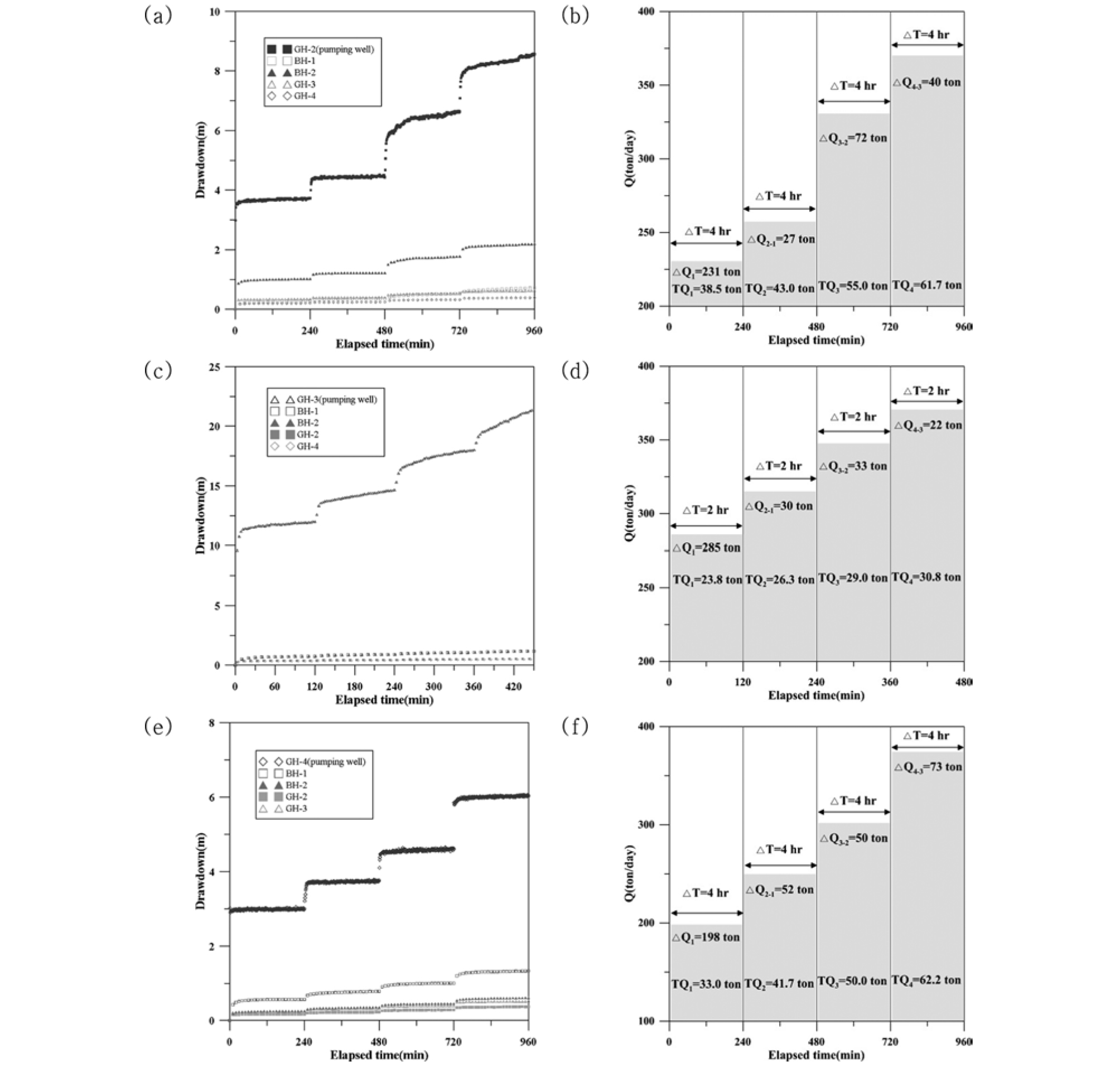
GH-2, GH-3 및 GH-4 관정에서 수행한 단계양수시험의 양수량, 양수시간 및 수위강하량을 Table 6에 정리하였다.
GH-2 관정에서는 양수량을 231, 258, 330, 370 m3/day로 증가시키며 각 단계별 지속시간을 4시간으로 양수하였다. GH-3 관정에서는 285, 315, 348, 370 m3/day으로 증가시키며 각 단계별 지속시간을 2시간으로 하여 양수하였다. GH4 관정에서는 양수량을 198, 250, 300, 373 m3/day으로 증가시키며 각 단계별 지속시간을 4시간으로 하여 양수하였다(Fig. 5). 단계양수시험도 양수시험과 마찬가지로 각 단계 양수시험 시 관측정의 수위강하 결과를 특성 곡선법에 적용하여 해석하였다. 본 연구에서는 단계양수시험으로 최적 양수량과 영향반경은 산출하지 않고, 양수시험 결과와의 비교를 위해 투수량 계수와 저유계수만을 분석하였다.
단계양수시험 해석에도 장기양수시험 해석 시 적용한 Hantush (1962), Hantush-Jacob (1955) 및 Neuman (1974)해석법을 적용하였다(Table 7~9). 단계양수시험 해석결과 투수량계수는 GH-2, GH-3, GH-4, BH-1 및 BH-2 관정에서 각각 기하평균값이 47.53, 35.14, 53.18, 23.60, 19.45 cm2/ sec이며, 저유계수는 1.13 × 10.5~3.49 × 10.3의 범위를 가진다(Table 7~9). 장기양수시험과 단계양수시험에서 분석된 각 관정에서의 투수량계수는 중앙값이 15.37~56.40 cm2/sec의 범위로 관측정(BH-1, 2)의 투수량계수가 복합지열시스템 관 정(GH-2~4)의 투수량 계수보다 작긴 하지만 그 차이가 미미하다(Fig. 6).
지하수의 화학적 특성
남한강, 복합지열시스템 관정, 관측정 및 주변 관정 모두 화학조성은 유사하였으며 수질유형은 Ca-HCO3형으로 구분 되었다(Fig. 7). 양이온과 음이온 모두 좁은 범위를 보였으 며 뚜렷한계절변화를 보이지는 않았다. 조사지역 주변에는 농업활동이 활발히 이루어지고 있지만 NO3와 SO42의 농도가 각각 3.5~77.1과 7.0~24.0 mg/L 로 농업에 의한 지하수 의 오염은 거의 없었다. 그러나 주변의 한 개 관정에서 농 업활동의 영향으로 인해 NO3와 SO42가 77.1과 24.0 mg/L로 주변의 다른 관정들 보다 농도가 높았다. 따라서, 향후 복합지열시스템에서 많은 양의 지하수를 사용할 경우 주변의 오염된 관정의 영향을 받을 가능성이 매우 높으므로 NO3와 같이 농업활동을 지시하는 성분을 이용하여 지열시 스템의 운영에 따른 영향과 주변의 영향을 구분할 필요가 있다.
복합지열시스템의 관정, 관측정 및 주변 관정의 LSI와 RSI가 각각 -1.73~0.19와 7.39~9.96 의 범위에 해당되었다(Fig. 8). 이러한 범위는 탄산염 광물들의 침전 보다는 탄산 염 광물들을 용출시킬 수 있는 범위로 복합지열시스템을 운영할 때 탄산염 광물이 열교환기에 침전되어 시스템의 에너지 효율을 저하시키지는 않는 것으로 평가되었다. 그러나, 탄산염 광물들의 용해로 인해 관정의 안정성에 영향을 줄 수 있지만 기반암 내 탄산염 광물의 함량이 2.1% 미만이므로 지열관정의 안정성에는 거의 영향을 주지 않을 것으로 판단된다.
수직적 수온 및 전기전도도 변화
지하수의 수온은 기온의 영향으로 지표부근에서는 계절변화를 보이지만 일정 심도 이상에서는 기온의 영향을 받지 않고 지질의 영향을 받아 일정 비율로 증가하며(Self et al., 2013), 지하수의 전기전도도는 오염물질의 영향을 받지 않는다면 주로 지질과 반응시간에 의한 영향을 받는다. 그러나, 국내에서는 지질학적인 특성으로 인해 파쇄대를 통해 지하수 또는 다른 유체가 빠르게 유입되는 지점에서도 수온과 전기전도도의 변화가 일어날 수 있다. 최근의 연구결과에 따르면 개방형 지열냉난방시스템 운영 시 지하수의 수온이 증가할 수 있고 지속적으로 수온이 10oC 이상 차이를 보이는 시스템에서는 지하수의 수질변화도 초래할 수 있는 것으로 알려져 있으마(Possemiers et al., 2014), 본 연구의 복합지열시스템은 지하수의 재주입 시스템은 아니므로 이러한 환 경변화가 일어나지 않을 것으로 예상된다.
BH-1과 BH-2 관정에서 수직적 수온변화는 유사하였고, 지하 40 m까지는 수온이 점차 감소하다가 약 40 m 지점부터는 수온이 점차 증가하는 경향을 보였으며 평균 증온률은 2.1oC/100 m로 평가되었다. 전기전도도는 BH-1이 BH-2에 비해서 약간 낮은 값을 보이며, 특히 36~58 m 구간에 분포 하는 파쇄대에서 지하수가 유입되어 전기전도도가 감소하고, 주변 환경변화에 따라 유입되는 지하수 양이 변화하여 측정 시기별로 전기전도도의 수직분포특성이 다르게 나타난 것으로 파악되었다(Fig. 9).
결 론
개방형과 밀폐형 지열시스템이 결합된 복합지열시스템(CWG systems)에서는 대수층의 수리지질학적 특성이 중요하므로, 복합지열시스템에 적절한 지하수량, 수온 및 지화학적 특성을 분석하여 복합지열시스템의 효율성을 평가할 수 있다. 본 연구에서는 복합지열시스템이 설치되는 대수층의 수리지질학적 특성을 파악하기 위해 현장수리시험과 지화학 분석 등을 수행하였다. 장기양수시험과 단계양수시험의 현장수리 시험 자료의 분석에 가장 적합한 해석법으로는 피압 대수층으로 가정했을 경우에는 Hanthsh (1962), 누수대수층 으로 가정했을 경우에는 Hantush-Jacob (1955), 자유면 대수층으로 가정하였을 때는 Neuman (1974)의 해석법이 선택 되었다. 연구지역 대수층의 투수량 계수는 13.49~58.99 cm2/sec 의 범위를 가지며, 저유계수는 1.13 × 10-5~5.20 × 10-3의 범위를 가지는 것으로 분석되었다. 또한, 지하수 화학조성은 Ca2+와 HCO3-가 우세하게 평가되었으며, 랑겔리어 지수와 리즈나 지수 분석에서 지하수 내 탄산염 광물의 침전 가능성이 낮게 평가되었다. 연구지역 내 지하수 수온의 평균증 온률은 2.1oC/100 m로 평가되었으며, 전기전도도의 수직적 변화에서 일부 구간의 파쇄대에 의한 지하수 유입 경향이 파악되었다. 연구지역의 수리지질학적 분석을 종합하면, 복합지열시스템 설치지역의 대수층은 안정적인 지하수량, 생활용수 기준의 수질, 적절한 지하수온이라는 조건을 만족시킨다고 판단된다.
따라서, 연구부지 복합지열시스템의 최적화된 열효율을 파악하기 위해서는 지하수의 최적양수량, 우물효율 및 영향반경 산정이 필요하며 추가적으로 연구부지 관정에서 동시 양수시험(multi-pumping test)을 수행하여 적용될 복합지열시스템의 최대 적정 양수량의 평가와 그에 따른 수질 및 수온의 변화 모니터링이 이루어져야 할 것으로 판단된다.




















