서론
하천-대수층간 수리적 상호연결성을 파악하고 지하수개발·이용이 하천유량에 미치는 영향을 정량적으로 파악하기 위해서는 투수량계수, 저류계수 등의 대수층의 수리상수 뿐만 아니라 하천수와 지하수의 상호유동경로인 하상퇴적층(streambed)의 수리전도도(hydraulic conductivity) 측정값이 필요하다.
하상퇴적층의 수리전도도는 정수두 또는 변수두법을 이용한 투수시험(Lee and Cherry, 1978; Duwelius, 1996;Chen, 2000; Landon et al., 2001; Kim, 2010), 시피지미터(seepage meter)와 수리경사 측정을 통한 침윤시험(Woessner and Sullivan, 1984; Landon et al., 2001; HRFCO, 2011; Kim et al., 2012; Kim et al., 2013; Lee et al., 2015), 시험공에 더미를 순간적으로 주입 또는 제거하여 수위변화량 측정치를 이용한 순간충격시험(Springer et al., 1999; Landon et al., 2001, Rus et al., 2001, Kim et al., 2006), 하천내 또는 하천변에서 양수에 따른 수위변화량 측정치를 이용한 양수시험(Kelly and Murdoch, 2003; Fox, 2007), 입도와 수리전도도와의 경험적 관계식을 이용한 입경분석(Vukovic and Soro, 1992; Landon et al., 2001) 등 다양한 방법을 통해 산정할 수 있다(Lee et al., 2015). 이 중에서 침윤시험은 하상퇴적층을 통과하는 하천수와 지하수의 교환량을 직접 계측하고, 하천수위와 하상퇴적층내 지하수두 측정을 병행하여 연직수리전도도를 산정하는 방법으로 교환량의 크기와 방향을 통해 이득 또는 손실 하천 여부를 판별하고 하천과 대수층간 상호작용 특성을 파악할 수 있는 장점이 있다. 국내에서는 이 방법을 이용하여 상류이거나 규모가 작은 하천에 대한 실험(Kim et al., 2013; Lee et al., 2015)이 제한적으로 수행되었으나, 규모가 큰 하천에 대한 현장 실험은 전무한 실정이다. 이러한 하천과 대수층의 수리적 연결성에 대한 기초조사자료의 미흡으로 하천수와 지하수의 상호작용 분석에 한계가 있다.
따라서 본 고에서는 안성천 수계내 하천의 규모가 큰 국가하천구간에 대해 침윤시험을 이용한 하상수리전도도 측정시험을 수행하고 그 결과를 고찰하였다.
재료 및 방법
하상퇴적층 수리전도도 측정 지점 및 방법
경기도 화성, 오산, 평택, 안성 등을 관류하는 황구지천, 오산천, 진위천, 안성천의 국가하천구간을 연구대상지역으로 선정하였다. 이 지역은 하천수와 지하수의 이용량이 많은 곳으로 물 이용에 따른 상호 영향을 평가하기 위해서는 하천과 대수층간의 수리적 연결성 시험자료가 반드시 필요하다. 본 연구에서는 Fig. 1에 나타낸 바와 같이 하상퇴적층의 수리전도도 산정을 위한 시피지시험과 피조미터 설치 시험을 수행하였다. 하상퇴적층을 통과하는 하천수와 지하수의 교환량을 측정하기 위한 시피지시험은 황구지천 5개소, 진위천 3개소, 오산천 3개소, 안성천 6개소로 총 17개 지점에 대해서 수행하였고, 이 중에서 수위 측정이 실패한 황구지천 1개소와 시피지 측정지점이 매우 가까운 1개소를 제외한 총 15개 지점에 대해 하상퇴적층의 수리전도도를 산정하였다.
하상재료는 일부 지점에서 실트층이 지배적인 곳도 있으나, 시험 지점 대부분은 모래층이 우세하였다. 시험 지점 하상퇴적층에 시피지미터(seepage meter)와 피조미터(piezomenter)를 설치하여 하천수와 지하수의 상호유동량과 수위(수두)를 측정하고 이들 값을 Darcy 공식에 대입하여 연직 방향 수리전도도를 산정하였다.
본 시험에서 사용한 시피지미터는 직경 0.3~0.7미터, 높이 0.25~0.3미터의 크기를 가지는 하부가 뚫려 있는 원통형 장비로 상부면에 비닐주머니 측정기가 밸브로 연결되어 있고 측면에는 원통내 공기를 제거하기 위한 고무호수가 역시 밸브로 연결되어 있다. 수위측정을 위한 피조미터는 스크린과 연결봉으로 구성되었다. 스크린의 길이는 40 cm이며, 하상에 관입이 용이하도록 스크린 끝단은 뾰족하고 측면에 지름이 1 cm인 구멍이 균등하게 뚫려 있고 슬러지 유입을 막기 위해 미세 철망이 설치되어 있다. 연결봉은 길이 90 cm와 길이 60 cm로 긴 것과 짧은 것 두 개를 연결하여 하상 퇴적층 지하수두를 측정하는데 사용하였고, 짧은 것 하나를 얕게 설치함으로써 하천수위 측정 대용으로 활용하였다.
시피지미터와 피조미터를 이용한 하상수리전도도 측정 시험 방법을 요약하면 다음과 같다.
① 시피지와 수위는 동시에 측정이 진행되어야 하며, 시피지미터와 피조미터 설치 후 내부 수압이 안정화되는 시간을 충분히 고려하여 수시간에서 수일 후에 측정을 시작한다.
② 피조미터 설치는 하천수위 및 지하수두 측정을 위해 연결봉을 이용하여 길이를 달리하여 설치하며, 하천수의 상부 유입을 방지하기 위해 수면으로부터 약 30 cm 정도 남겨 놓고 고무망치를 이용하여 피조미터 상단을 타격하여 관입한다.
③ 하천수-지하수 유입, 유출량을 측정하기 위해 비닐주머니에 일정량(500 ml)의 물을 주입하고 시피지미터 상부면에 연결하고 밸브를 잠근다.
④ 시피지미터 측면부에 밸브를 열어둔채로 호수를 연결한다.
⑤ 시피지미터를 하천바닥에 일정 깊이만큼 매설하고 호수를 통해 내부 공기를 완전히 뺀다.
⑥ 시피지미터내 압력이 안정화되면 공기호수 밸브를 잠그고 비닐주머니 밸브를 열어 시피지미터를 통해 비닐주머니 내로 지하수가 유입되거나 비닐주머니 주입량이 빠져나가게 한다.
⑦ 일정 시간 경과 후에 비닐주머니로 들어온 양 혹은 빠져나간 양을 비이커를 이용하여 측정하고, 경과시간으로 나누어 단위시간당 유동량으로 환산한다.
⑧ 장심도와 단심도 피조미터내 수위(수두)를 수위측정기 혹은 수압센서를 이용하여 측정하고 두 수위차이와 매설깊이 차이를 이용하여 단위깊이당 수위차이 즉, 수리경사를 산정한다.
⑨ Darcy’s law에 근거하여 ⑦에서 측정한 단위시간당 유동량을 시피지 단면적으로 나누고 다시 이를 ⑧에서 측정한 수리경사로 나누어 하상수리전도도를 산정한다.
⑩ 유량에 대한 측정의 정확도와 오차 범위를 고려하여 수 회 측정하여 평균값을 사용한다.
Fig. 2는 피조미터와 시피지미터 설치 모습을 나타낸 것이다.
결과 및 고찰
하천수-지하수 상호유동량 측정 결과
시피지미터와 연결한 비닐주머니내 유입량 측정값을 시피지미터 단면적으로 나누어 하상퇴적층의 단위면적당 시피지 플럭스(seepage flux)를 산정하고 하천별로 구분하여 Table 1에 나타내었다. 황구지천 하류는 단위면적당 유동량이 4.08 × 10−6~1.16 × 10−5 m/s의 범위로 측정되었으며, 진위천 하류는 6.02 × 10−6~9.43 × 10−6 m/s, 오산천 하류는 5.07 × 10−6~9.99 × 10−6 m/s, 그리고 안성천 하류는 6.87 × 10−6~1.49 × 10−5 m/s 범위로 측정되었다. 하천별로 측정 지점별로 수배 이상 차이가 났지만 하천별 평균값은 황구지천 8.72 × 10−6 m/s, 진위천 7.73 × 10−6 m/s, 오산천 7.71 × 10−6 m/s, 안성천 1.00 × 10−5 m/s로 큰 차이를 보이지 않고 있다.
피조미터 수두 측정 및 하상 수리전도도 산정 결과
장심도와 단심도 피조미터에서 측정한 수위로부터 하천수와 지하수의 수위차이를 구하고 이를 관입 깊이 차이로 나누어 Table 2와 같이 연직방향 수리경사를 계산하였다. 현지 여건상 피조미터를 한 개밖에 설치하지 못한 경우에는 피조미터 내 수면과 피조미터 바깥면의 수면과의 차이를 관입 깊이로 나누어 수리경사를 산정하였다.
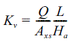
Darcy 공식을 이용하여 다음 Eq. (1)로 하상퇴적층의 연직방향 수리전도도 Kv를 산정하고 그 결과를 Table 3에 나타내었다.
(1)
여기서, Q는 시피지미터로 측정한 하상퇴적층을 통한 유입·유출량, Axs는 시피지미터 단면적, L은 시피지미터 관입깊이, 그리고 Ha는 지하수위와 하천수위의 차이(=hGW− hSW)이다.
황구지천 하류의 하상퇴적층 수리전도도는 2.76 × 10−4~3.87 × 10−4 m/s, 진위천 하류는 1.50 × 10−4~4.72 × 10−4 m/s, 오산천 하류는 7.80 × 10−5~1.25 × 10−4 m/s, 그리고 안성천 하류는 1.03 × 10−4~1.58 × 10−3 m/s 범위로 산정되었다. 평균치는 1.71 × 10−4m/s으로 Table 1에 나타낸 바와 같이 시피지 플럭스 평균치는 하천별로 편차가 크지 않지만, 하상수리전도도는 Table 3과 같이 수 배 이상 차이를 보이고 있다. 이는 Table 2와 같이 하상재료의 수리적 특성에 따른 수리경사의 차이에서 기인한다.
Lee et al. (2015)은 안성천 상류 지방하천구간에 대해 본고와 동일한 측정 방법으로 하상수리전도도를 산정하였으며, 그 결과 1.77 × 10−5~1.97 × 10−3 m/s의 범위로 지점별로 큰 차이를 보이고 평균적으로 2.82 × 10−4 m/s의 값을 가지는 것으로 분석되었다. Table 3에 나타낸 안성천 하류구간의 하상수리전도도값과 안성천 상류에 대한 Lee et al.(2015)의 측정 결과를 비교해보면, 안성천 상류와 하류구간 평균치는 비슷하나, 지점별로는 하류구간의 편차가 상류구간의 편차 비해 더 작아 상대적으로 이질성이 작은 것을 알 수 있다.
결론
하천-대수층간 수리적 상호연결성 및 지하수 이용과 하천수 감소와의 관계 파악에 필요한 기초자료 조사를 목적으로 안성천 수계내 위치한 황구지천, 진위천, 오산천, 안성천 국가하천구간에 대해 하상퇴적층의 수리전도도를 산정하였다. 대상하천구간내에 17개 지점에 대해 시피지미터를 이용하여 하천수와 지하수의 상호유동량을 직접 측정하였고, 이 중 15개 지점에 대해 관입형 피조미터를 이용한 하천수와 지하수의 수위차이 측정을 병행하여 하상퇴적층의 수리전도도를 각 지점별로 산정하였다.
단위면적당 하천수-지하수 상호유동량 측정 결과 4.08 × 10−6~1.49 × 10−5 m/s로 측정되어 비교적 지점별 차이가 적었으나, 연직방향 수리경사는 0.005에서 0.145로 측정되어 지점별로 큰 차이를 나타내었다. 단위면적당 유동량과 수리경사를 Darcy 공식에 대입하여 하상퇴적층의 연직 수리전도도를 산정한 결과 7.08 × 10−5~1.58 × 10−3 m/s로 산정되어 지점별로 하천과 대수층간에 연결성의 큰 차이를 나타내었다. 특히 안성천 하류구간은 기조사된 상류구간 측정 결과와 비교한 결과 평균적인 하상수리전도도값은 비슷하지만 각 구간내 지점별 값에 있어서는 하류구간에서 차이가 상대적으로 적은 것으로 평가되었다.
향후 연구로 하상수리전도도 산정을 위해서 본 논문에서 사용한 시피지미터와 피조미터를 혼용하는 방법 외에 침투계를 이용한 시험, 입도분석 결과와 연계한 해석, 순간 수위변화 시험 등 다른 여러 시험방법을 적용한 결과와의 비교 등이 필요할 것이다. 하천과 대수층간의 수리적 연결성 평가, 지하수 이용에 따른 하천수량의 변화 분석 등을 위해서는 하상퇴적층 수리전도도와 같이 하천과 대수층간 연결부의 수리지질학적 조사가 필요하며, 현장시험 및 분석 방법에 대한 기술적 향상이 이뤄져야 할 것이다.







