서론
굴진면 수평변위
3차원 유한요소해석
해석 모델링 및 조건
지반 정수
해석결과 분석
순경사 모델의 선행 천단변위에 대한 굴진면 수평변위의비(Lface/C ratio)
역경사 모델의 선행 천단변위에 대한 굴진면 수평변위의비(Lface/C ratio)
선행 천단변위와 굴진면 수평변위의 상관성 분석
결론
서론
터널 시공 시 계측을 통해 획득한 변위의 분석은 시공에 따른 지반 응력과 변위의 변화를 감시하고 조사 및 설계 단계에서 예측하지 못한 지반 상태를 시공 중에 파악하기 위해 수행되는 중요한 공정 중 하나이다. 대부분의 터널 붕괴는 천단부에서 발생하며(HSE, 1996; Shin et al., 2007), 측벽부보다 천단부에서 큰 변위가 발생하기 때문에 천단변위는 지반의 응력 상태를 파악하는 데 유용하게 활용될 수있다. 또한 단층대 및 연약대 등 위험지반이 분포하는 경우 천단변위는 굴착이 진행됨에 따라 급격하게 변화하기 때문에 천단변위의 변화 양상을 분석하여 터널 주변의 지반상태 및 지질구조를 파악할 수도 있다(Schubert and Vavrovsky, 1994; Schubert and Steindorfer, 1996; Lee et al., 1998; Lee et al., 2002; Kim et al., 2003; Park et al., 2004). 그러나 계측은 터널 공정 특성상 굴착 직후 바로 수행하기 어렵고, 위험지반에서도 약 10m 간격으로 계측을 수행하기 때문에 각 굴진면에서 발생하는 전변위(total displacement)의 양을 측정하는 것은 현실적으로 불가능하다. Fig. 1은 계측 시점에 따른 변위의 변화 양상을 보여주는 그래프로서, 실제 발생하는 전변위는 Z0이지만, 굴진면의 굴착 후(T0) 계측 시점(T1, T2)에 따라 획득할 수 있는 변위는 Z1과 Z2가된다(Panet, 1979; Parnet and Guenot, 1982). 즉, 계측을 수행하기 전에 선행변위(Zp0+Zp1)가 발생되기 때문에 계측을 통해 획득한 변위는 전변위와 상당한 차이를 보인다. Hanafy and Emery (1980)는 유한요소해석을 통해 굴착 전발생하는 변위를 전변위의 30% 내외라고 하였으며, Panet(1982)은 20~30%의 선행변위가 발생한다고 하였다. Vassilev and Hrisstov (1988)도 터널 형상에 따른 유한요소해석을 통해 굴착 전 발생하는 변위가 전변위의 28~32%이고, 선행변위는 터널의 형상에 큰 영향을 받지 않는다는 것을 증명한 바 있다. Kim et al. (2003)은 단층대가 분포하는 터널에서 수평경사계를 이용한 현장 계측을 실시하여 선행변위가 전변위의 59~64%에 해당한다고 하였으며, Kim et al.(2008)은 토사 터널에서 수평경사계를 이용한 현장계측과 유한차분해석을 통해 선행변위는 전변위의 약 37% 발생한다는 결과를 얻은 바 있다. 한편 Kim (2013)이 수평경사계와 일상계측의 비교를 통해 굴진면 전후방에서 측정한 변위 데이터를 분석한 연구에 의하면 터널의 천단변위는 굴진면 전후 약 3m에서 총침하의 약 55%가 발생하고, 6m 전후에서 약 75%, 터널 폭의 1배인 약 12m 전후에서 89%의 천단변위가 발생하는 것으로 나타났다. 그러나 상기의 연구 결과에서 수치해석 및 현장계측을 통해 산정한 선행변위는 전변위의 약 20~64%로서 분석 방법에 따라 큰 차이를 보일뿐만 아니라, 전변위에 대한 선행변위의 비율만을 산정하는 한계가 있다. 이런 이유로 Yim et al. (2007)은 역해석을 통해 산정한 암반 등급별 물성을 적용하여 로지스틱(logistic) 모형을 따르는 비선형 회귀식을 제안하였으며, Jang et al. (2007)은 회귀분석을 통해 지수함수식을 결정하여 전변위를 추정하는 등 정량적인 전변위 산정을 위한 연구도 수행된 바 있다. 이와 같이 상기의 연구들은 다양한 방법을 통해 터널 시공 중 측정하지 못하는 선행변위 및 전변위를 산정하고 있다. 그러나 단층대와 같은 위험지반이 분포하는 터널에서 선행변위에 관한 연구는 수평경사계를 이용한 현장 계측을 통해 단편적으로만 수행되었고(Kim et al., 2003), 다양한 지반조건을 고려하여 선행변위를 산정한 연구는 거의 없다.
본 연구에서는 단층대가 분포하는 터널에서 단층대가 천단부에 위치하는 경우로 한정하여 굴착에 따라 발생하는 굴진면 수평변위를 이용한 천단부의 선행변위를 산정하기 위해 굴진면 수평변위와 선행 천단변위의 상관성을 분석하였다. 이를 위해 총 24개의 단층 자세(attitude)를 모델링하여 3차원 유한요소해석을 실시하였다.
굴진면 수평변위
굴진면 수평변위의 측정은 굴진면 작업 중 작업자의 안전성을 확보하기 위하여 Yun et al. (2015c)에 의하여 개발된 FSMS (face safety monitoring system)를 이용하여 굴진면 굴착 직후 수행할 수 있다. 이 시스템은 매 굴진면마다 계측을 수행하기 어려운 일상계측의 단점을 보완하기 위해 적용할 수 있으며, 별도의 타깃이 필요 없기 때문에 굴진면 상에서 발생하는 수평변위를 다측점 동시 측정할 수있다(Fig. 2). Song et al. (2016)은 굴진면 수평변위를 이용하여 굴진면 전방에 분포하는 단층대의 예측이 가능함을 3차원 수치해석을 통해 밝힌바 있으며, Yun and Seo(2016)는 굴착에 따른 굴진면의 최대 수평변위 변화양상을 분석하여 굴진면 전방에 분포하는 단층의 자세와 굴진면 내단층이 출현하는 위치를 예측하는 등 굴진면 수평변위는 단층대가 분포하는 터널의 변위 양상을 분석하는 데 유용하게 활용될 수 있다.
3차원 유한요소해석
해석 모델링 및 조건
수치해석은 유한요소해석 프로그램인 MIDAS GTS/NX를이용하였다. 지반과 터널은 등방성으로 가정하여 연속체로 모델링하였고, Mohr-Coulomb 파괴 기준을 적용한 탄소성 해석을 수행하였다. 지반은 길이 200m, 폭 100m, 높이 100m로 충분히 크게 모델링하여 굴착에 의한 경계조건의 영향을 최소화하였으며, 터널은 폭 약 12m, 높이 약 8m로 모델링하였다(Fig. 3a). 굴진장은 2m로 전단면 굴착을 실시 하였으며, 상부의 경계조건은 자유 경계조건, 측면과 하부는 경계면에 연직방향으로 작용하는 변위를 구속하였다. 요소는 4절점 4면체 요소로 구성하였고, 분석 대상이 되는 터널 주변의 요소 크기는 1m로 조밀하게 구성하였다. 측압 계수는 1.0으로 설정하였으며, 숏크리트 및 록볼트 등의 지보재 영향은 고려하지 않았다.
단층대는 지질학적 특성을 세부적으로 반영하기 위해 단층점토(fault gouge)와 각력(breccia)으로 구성된 단층핵(fault core)과 손상대(damage zone)로 구분하여 모델링하였다(Fig. 3b). 단층핵은 중심부에 폭 1 m로 배치하고, 그 외곽에 폭 2 m의 손상대와 기반암을 배치하였다. 단층 모델은 터널의 굴진 방향과 이루는 각도(α) 및 경사(β)를 각각 달리하여 모델링 하였으며(Fig. 4), 경사 방향은 굴진 방향으로의 경사를 순경사(drive with dip), 굴진 방향과 반대 방향의 경사를 역경사(drive against dip)로 구분하였다. 터널의 굴진방향과 이루는 각도(α)는 각각 30°, 45°, 60°, 90°로 모델링하였고, 각 α별로 순경사와 역경사 30°, 45°, 60°의 단층을 모델링하여 총 24개의 단층 자세를 해석하였다.
지반 정수
3차원 유한요소해석에 적용된 지반 정수는 단위중량, 변형계수, 점착력, 내부마찰각, 포아송비로서 해석 모델에 적용된 단층핵 및 손상대, 기반암의 지반 정수는 Table 1과 같다. 단층핵의 지반정수는 단층핵 인공시료의 일축압축강도 시험 결과와 야외에서 채취한 불교란 시료의 직접전단시험 결과를 바탕으로 결정하였다(Yun et al., 2015a; Moon et al., 2014). 손상대의 지반 정수는 Yun et al. (2015b)이 발표한 국내 21개 붕괴 터널에서 설계 시 적용했던 단층대의 지반 정수 중 단층핵 지반 정수의 분포 범위를 제외한 구간의 평균값을 적용하였다. 기반암의 지반 정수는 국내 65개 터널에서 설계 시 적용한 III등급 암반의 평균값을 적용하였다(Seo and Yun, 2014).
해석결과 분석
3차원 유한요소해석 결과를 바탕으로 굴착에 따른 선행 천단변위와 굴진면 수평변위의 관계를 분석하였다. 일반적으로 천단변위는 굴착 후 굴진면과 근접한 위치에서 최대 변위량을 보이고(Kim et al., 2008), 보강이 이루어진 후 시간이 지나면서 수렴한다. 즉, 천단부에서 발생하는 선행변위는 굴착 직후부터 보강되기 전까지 가장 많이 발생하기 때문에 본 연구에서는 대상 굴진면에서의 수평변위(Lface)와 굴착 직후 발생하는 선행 천단변위(C)의 관계를 분석하였다(Fig. 5). 굴진면 수평변위는 천단부에서 1m 아래 이격된 지점의 수평변위를 이용하였다. 또한 대부분의 터널 붕괴가 천단부에서 발생하는 점을 고려하여(HSE, 1996; Shin et al., 2007), 터널 상부에 단층대가 위치하는 약 30m 구간을 분석 대상 구간으로 선정하였다(Fig. 6).
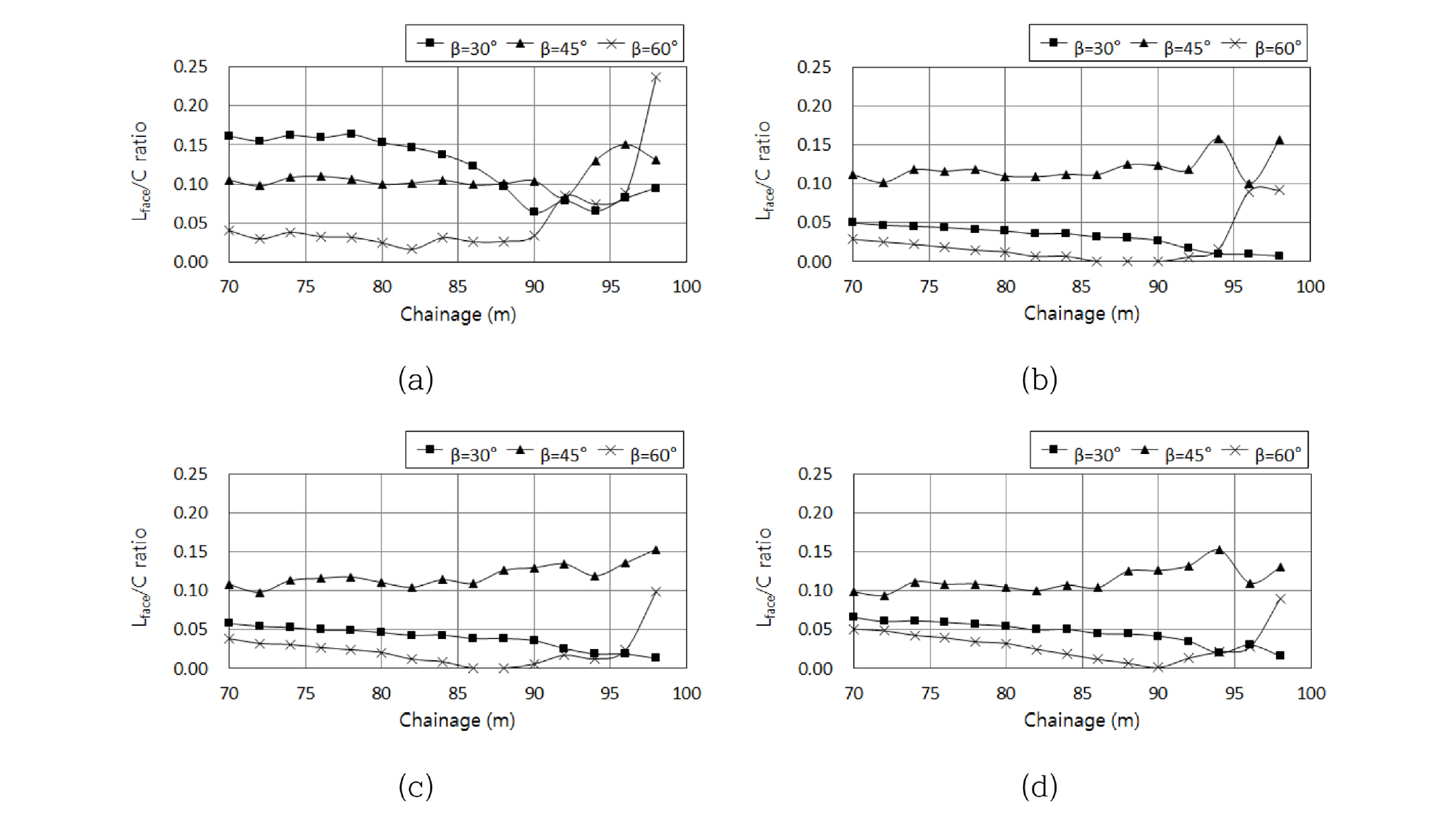
순경사 모델의 선행 천단변위에 대한 굴진면 수평변위의비(Lface/C ratio)
순경사를 가지는 단층 모델에서 굴착에 따라 발생하는 선행 천단변위에 대한 굴진면 수평변위의 비(Lface/C ratio)를 분석하였다. α=30°이고 β=30°인 모델에서 Lface/C 비는 70~84m에서 약 0.14~0.16으로 일정하며, 단층대 중심부(100m)에 근접함에 따라 0.10 이하로 낮아진다(Fig. 7a). 또한 α=30°이고 β=45°, 60°인 모델은 70~90m에서 각각 약 0.10과 0.03 내외의 일정한 Lface/C 비를 보이고, 단층대 중심부에 근접함에 따라 변화하는 경향을 보인다(Fig. 7a). α가 45°인 모델들의 Lface/C 비도 단층대 중심부에 근접함에 따라 변화하는 경향을 보이지만, β=30°와 60°인 모델은 0.05 이하, β=45°인 모델은 약 0.10의 일정한 비율을 보인다(Fig. 7b). α=60°와 α=90°인 모델들에서도 β=30°와 60°인 경우 Lface/C 비는 0.05 이하, β=45°인 모델은 약 0.10~0.15로 일정한 Lface/C 비를 보이는 것으로 나타났다(Fig. 7c and 7d). 일부 모델에서 일정한 비율을 유지하는 이전 굴진면에 비해 단층대 중심부에 근접함에 따라 Lface/C 비가 상대적으로 변화하는 경향을 보인다. 이는 단층의 자세에 따라 굴진면 전방에 분포하는 단층대의 위치, 터널과 접하는 단층대의 면적 등이 다르기 때문에 수평변위가 변화하면서 나타나는 경향으로 판단된다. 그러나 대부분의 모델에서 Lface/C 비는 평균적으로 0.02~0.12의 비를 보인다. 즉, 순경사 모델들에서 굴진면 수평변위는 굴착 후 천단부에서 발생하는 선행변위의 약 2~12%를 보이며, 표준편차는 약 0.01~0.05로 매우 낮은 분산도를 보이는 것으로 나타났다(Table 2).
역경사 모델의 선행 천단변위에 대한 굴진면 수평변위의비(Lface/C ratio)
역경사를 가지는 단층 모델의 분석결과, α=30°인 모델들의 Lface/C 비는 0.01~0.10이며(Fig. 8a), α=45°인 모델들은 0.01~0.11의 Lface/C 비를 보인다(Fig. 8b). 또한 α=60°이고 β=45°인 모델의 경우 106m 지점에서 약 0.16로 상대적으로 높은 Lface/C 비를 보이지만, 대부분 약 0.12 내외의 비를 보인다. 또한 α=60°이고 β=30°, 60° 모델에서도 대부분 약 0.01~0.03의 Lface/C 비를 보이는 것으로 나타났다. α=90°인 모델들도 단층대 중심부와 근접한 구간에서 상대적으로 큰 변화를 보이지만, 굴착이 진행됨에 따라 β=30°와 60° 모델은 약 0.05이하, β=45° 모델은 약 0.10~0.15 내외의 Lface/C 비를 보인다. 역경사 모델들의 Lface/C 비는평균 0.02~0.13으로 순경사 모델과 유사한 결과를 보이며, 표준편차도 0.01~0.03으로 매우 낮은 분산도를 보인다(Table 3).
선행 천단변위와 굴진면 수평변위의 상관성 분석
터널 상부에 단층대가 분포하는 경우 천단부에서 발생하는 선행변위의 산정을 위해 회귀분석을 수행하여 선행 천단변위와 굴진면 수평변위의 상관성을 분석하였다. Fig. 9는 순경사 30°인 모델의 선행 천단변위와 굴진면 수평변위의 상관성을 분석한 결과로, α=30°인 모델의 경우 약 0.98의 높은 결정계수(coefficient of determination)를 보이며, α=45°, 60°, 90°인 모델들의 결정계수도 각각 0.99, 0.99, 0.95로 매우 높은 상관성을 보인다. 동일한 경사를 가지는 역경사 모델에서도 α=30°와 90°인 경우 결정계수는 각각 0.93과 0.95로 매우 높은 상관성을 보이며, α=45°와 60°인 모델은 0.85의 결정계수를 보인다(Fig. 10).
Table 4는 순경사를 가지는 단층 모델들에 대한 선행 천단변위와 굴진면 수평변위의 회귀분석 결과를 요약한 것으로, α=30°, β=60°인 모델과 α=90°, β=60°인 모델에서 결정계수가 각각 0.82, 0.88로 산정되어 상대적으로 낮은 결정계수를 보이지만 그 외 모델들의 결정계수는 모두 약 0.95 이상의 높은 상관성을 보인다. 또한 역경사 모델들도 α=30°와 β=45°, α=30°와 β=60° 그리고 α=90°와 β=60°인 3개 모델을 제외하고 대부분 0.85 이상의 결정계수를 보이는 것으로 나타났다(Table 5). 따라서 단층대가 터널 상부에 분포 할 경우 굴진면에서 발생하는 수평변위의 측정을 통해 계측전 터널 천단에서 발생하는 선행변위의 산정이 가능한 것으로 나타났다.
결론
단층대가 분포하는 터널에서 굴진면 수평변위를 이용한 선행 천단변위 분석을 위해 다양한 자세를 가지는 24개의 단층 모델을 대상으로 3차원 유한요소해석을 실시하였다. 터널 천단부에 단층의 중심이 위치하는 굴진면을 기준으로 터널 상부에 단층대가 분포하는 30m 구간을 분석 대상으로 선정하였으며, 이 구간에서의 굴착에 따른 굴진면 수평변위와 선행 천단변위의 상관성을 분석하였다.
(1) 선행 천단변위에 대한 굴진면 수평변위의 비(Lface/C)를 분석한 결과, 순경사 모델의 경우 굴진면 수평변위는 선행 천단변위의 약 2~12%의 Lface/C 비를 보이며, 역경사 모델은 2~13%의 Lface/C 비를 보인다.
(2) Lface/C 비는 일부 모델의 경우 단층대 중심부에 근접한 지점에서 급격히 변화하는 경향을 보이지만, 분석 대상구간 내에서 대부분 일정한 비율을 보이며, 순경사 모델은 0.01~0.05, 역경사 모델은 0.01~0.03의 매우 낮은 표준편차를 보인다.
(3) 회귀분석을 통한 선행 천단변위와 굴진면 수평변위의 상관성을 분석한 결과, 순경사 모델의 경우 결정계수(R2)는 0.82~1.00, 역경사 모델은 0.72~0.98로 산정되었으며, 역경사 β=60°의 모델 중 α=30°와 α=90°인 경우를 제외한 모든 모델에서 0.80 이상의 높은 결정계수를 보이는 것으로 나타났다.
(4) 굴진면 수평변위와 선행 천단변위의 상관성 분석에 의하면 단층대가 터널 상부에 분포하는 경우 굴진면에서 발생하는 수평변위를 이용하여 계측 전 발생하는 터널 천단부선행변위의 산정이 가능한 것으로 나타났다. 굴착과 동시에 측정할 수 있는 굴진면 수평변위는 굴착 직후 측정하기 어려운 일상 계측의 단점을 보완하기 위한 좋은 자료로서 현장에서의 직접적인 측정을 통해 천단부 선행변위를 산정하는 데 효과적으로 활용될 수 있을 것으로 판단된다.

















