서 론
X-ray CT 스캐너
콘크리트 균열 손상정도 평가방법
화상해석 방법과 손상평가 파라메타
시편 및 CT 이미지 획득
연구결과 및 토의
공극률 지표(Posority index) 변화
Burn number 변화
손상에 의해 발생한 균열 분포
결 론
서 론
경년에 의해 열화하여 강도가 저하되는 콘크리트의 보수, 보강대책의 하나로, 오버레이 공법, 또는 단면수복 등에 의해 기존 구조물에 새로운 재료를 덧대는 공법이 있다. 이 때 열화된 부분을 제거하기 위해 치핑공법이 사용된다. 그러나, 치핑공법에는 그 충격으로 인해 경년으로 열화되어 있지 않은 콘크리트의 부분을 손상시킬 수 있기 때문에, 기존의 콘크리트와 새롭게 덧댄 콘크리트의 사이의 부착강도가 저하되는 문제점이 있다. 또 치핑 작업을 하기 전의 열화한 콘크리트의 열화정도나 열화심도 등을 조사하는 방법도 충분이 확립되어 있지 않다. 이러한 사실에 기초하여 본 연구에서는 암석이나 콘크리트 등의 취성재료의 손상을 평가하는 분석방법을 제안한다.
이들 취성재료의 손상을 평가하는 방법에는 AE (Acoustic Emission), 형광법(Fluorescent), 탄성파속도측정, X-racy CT 이미지 분석 등을 이용한 여러 연구(Ohust et al., 1998; Abdelrahman et al., 2014)들이 시도되었다. 손상평가의 가장 일반적인 방법인 AE를 이용하는 방법은 시편의 표면에 센서를 부착하여 미세균열에 의해 야기된 탄성파에너지와 그 도달시간을 이용하여 재료내부에 발생한 균열의 위치나 크기를 평가하는 방법이다. 그러나 이 방법은 균열의 폭이나, 길이, 연속 등의 정량적인 평가를 하기는 어려운 실정이다.
형광법은 암석이나 콘크리트의 미세균열에 형광제를 주입하여 화상해석을 하는 것으로 균열의 정량적 평가를 하는 방법이다. Wajima et al. (2000)와 Chen et al. (2015) 은 오일, 가스등의 지하저류장의 대상인 암반을 대상으로 형광법을 사용하여 암석박편내의 공극과 미세균열을 관찰하는 연구를 수행하였다. 그러나 형광법에는 시편의 단면을 자르거나, 박편을 만들어 그 단면의 이미지를 대상으로 하기 때문에 2D 해석에 한정된다.
탄성파 속도 측정법은 재료의 표면에서 탄성파속도를 측정하여 그 부분의 균열의 양을 추정하는 방법이다. 이는 재료내부에 균열이 많으면 밀도가 떨어져 탄성파 속도가 저하되는 원리를 이용하며, 이미 많은 연구(Byun et al., 2015; Adelinet et al., 2010; Fortin et al., 2010) 에 널리 사용되고 있다. 그러나 이 방법은 균열의 밀도는 알 수 있으나 정량화하기 어려운 단점이 있고, 내부 관찰도 불가능하다.
한편, 비파괴진단법의 하나인 X-ray CT법은 X선을 투과시켜 재료 내부의 공극이나 균열등의 결함을 조사하는 것이 가능하다. 또한 X-ray 촬영을 통해 얻은 CT 이미지를 재구성하면 재료를 파괴하거나 손상없이 3D로 재료 내부의 가시화, 그리고 손상에 의해 정량적 평가가 가능하다는 장점이 있다. X-ray CT가 활용된 연구는 암석, 콘크리트의 내부구조를 관찰한 Otani and Obara (2003), 화강암의 풍화에 따른 3차원 공극분포를 분석한 Jeong and Takahashi (2010), 반복재하에 의한 콘크리트의 열화특성을 정량분석한 Obara et al. (2016) 등이 있다.
이러한 여러 가지 재료의 손상 평가 방법을 조사한 후, 본 연구에서는 비파괴로 3D 평가가 가능한 X-ray CT법을 이용하여 콘크리트의 손상을 평가하였다. 이를 위해 시료를 X-ray CT 장비로 촬영하여 얻은 3D CT 이미지에 3DMA (3 Dimensional Medial axis Analysis) (Lindquist, 1996; Lindquist and Venkatarangan, 1999)을 적용하였다.
X-ray CT 스캐너
X-ray CT법은 X선 투과법을 이용하여, 피험체에 X선을 조사하여 물체투과 전후의 X선 에너지 감쇄비로부터 투과한 물체내부의 X선 흡수율의 공간분포를 수치적(CT 값)으로 구한 값을 이미지화하는 실용화된 역해석수법이다. 본 연구에서 사용한 장치는 일본 쿠마모토 대학에 설치된 것으로, 도시바(Toshiba)에서 제작한 마이크로 포커스 X-ray CT 스캐너(Fig. 1)이다. 본 연구를 위해 촬영한 콘크리트 CT 이미지는 Fig. 2a와 같으며, 골재, 모르타르, 공극의 밀도차에 의해 색이 달리 나타난다. CT 이미지는 1024×1024 픽셀(1 픽셀의 1변의 길이는 0.05 mm)과 슬라이스 두께 0.05 mm를 가지는 정육면체 복셀로 구성되어 있다.
콘크리트 균열 손상정도 평가방법
화상해석 방법과 손상평가 파라메타
3DMA에서 평가되는 여러 파라메타 중 본 해석에서 콘크리트 손상을 평가하기 위해 사용한 파라메타는 공극률 지표(Porosity index), Burn number, medial axis이다. 이들은 Kawamoto (2011)에 의해 손상으로 발생된 균열 양상 및 그 변화의 평가에 유효한 파라메타로 밝혀졌다. 일반적으로 공극률 지표(Porosity index)는 전체의 체적에 대하여 공극의 비로 정의되는데, 본 연구에서는 식 (1)과 같이 해석대상 전체의 복셀(Voxel)수에 대한 공극의 복셀수의 비로 정의하며, 일반적인 Porosity와는 다른 의미로 사용하였다.
(1)
Burn number와 medial axis는 Fig. 2에 나타내었다. Fig. 2a의 콘크리트를 촬영한 X-ray CT 이미지 중 임의의 부분을 확대하면 Fig. 2b와 같이 골재와 모르타르 그리고 공극으로 구성되어 있는 것을 확인할 수 있다. 골재와 공극 부분을 더욱 확대하면 Fig. 2c와 같이 골재와 골재 사이에 공극이 존재하며, 이들은 복셀로 구성되어 있다. Burn number는 공극을 나타내는 복셀에서 최단거리에 있는 골재의 경계복셀로부터 몇 개의 복셀만큼 거리가 있는지를 나타내는 값이다. 균열의 경우, 균열의 폭을 나타내며 숫자가 커질수록 균열의 폭이 넓은 것을 의미한다. 그리고 Medial axis는 유효공극의 중심축으로, 공극이 작은 경우에는 난색, 큰 경우에는 한색으로 표시된다. 이들의 자세한 내용은 Lindquist (1996)을 참고 바란다.
시편 및 CT 이미지 획득
본 연구에서는 콘크리트를 대상으로 핸드브레이커로 치핑공법을 수행한 후 분석을 수행하였다. Table 1은 본 시험편에 사용한 콘크리트 시편의 배합이며, 시멘트는 경화 및 강도증진율이 빠른 조강시멘트를 사용하였다. 먼저 Fig. 3과 같이 400×400×110 mm의 콘크리트 블록을 3주간 공기중에서 양생하여, 핸드브레이커를 이용하여 300×300×10 mm의 치핑작업을 수행하였다. 그 후, Fig. 4a와 같이 코어링으로 직경 50 mm, 길이 100 mm의 원주형 시편 총 5개(A, B, C, D, E)를 채취하여 X-ray CT 촬영한 후 분석하였다.
Table 1. Mix proportion of concrete specimen
※C: Rapid hardening portland cement, S1: River sand (Middle basin of Hujikawa river), S2: Mountain sand (Hosinomiya mounatin in Hujinomiyasi), G: Coarse aggregate (Middle basin of Hujikawa river), Ad: AE and water reducing agent
치핑작업에 의한 충격으로 균열이 콘크리트 내부의 어디까지 발생하는지 분석하기 위하여 먼저 Fig. 4b와 같이 콘크리트 시편의 치핑면으로부터 바닥까지 8개의 부분(Part① ∼ Part⑧)으로 나누어 분석을 수행하였다. 분석한 시편의 각 파트의 높이는 11 mm이며 시편의 바닥으로부터 10 mm까지는 분석대상에서 제외하였다. 한편 코어채취로 인해 손상받은 균열을 배제하기 위하여 Fig. 5와 같이 CT 이미지 중 가장자리를 제외하고 사각형으로 표시된 부분만을 분석하였다.
연구결과 및 토의
공극률 지표(Posority index) 변화
Fig. 6은 시편 A~E에 대한 파트별(1~7) 공극률 지표(Porosity index) 변화이다. Part 8에 대해서는 위치상 CT 이미지 촬영시 필수불가결하게 나타날 수 있는 아티팩트로 인해 CT 이미지의 분석에 부적당하였으므로, 검토범위에서 제외하였다. Part 1에 가까울수록 치핑면에 가까운 부분이다. Fig. 6을 보면 시편에 따라 차이는 있지만, 전체적으로 치핑면으로부터 멀어질수록 낮은 공극률 지표(Porosity index)를 보이며, 반대로 치핑면으로 가까워질수록 공극률 지표(Porosity index)가 증가하는 것을 알 수 있다. 이는 치핑면에 가까운 부분은 치핑의 충격에 의해 균열이 발생하고 있는 가능성이 높다는 것을 나타낸다. 시편 A를 예외로 하면, 시편의 하부는 큰 변화 없이, Part 3또는 Part4에서 증가하기 시작해 치핑면에 가까워질수록 큰 값을 나타낸다. 따라서 공극률 지표(Porosity index) 결과를 고려하면, 치핑면으로부터 3~4 cm 부분까지 치핑 충격에 의해 균열이 발생할 가능성이 있다.
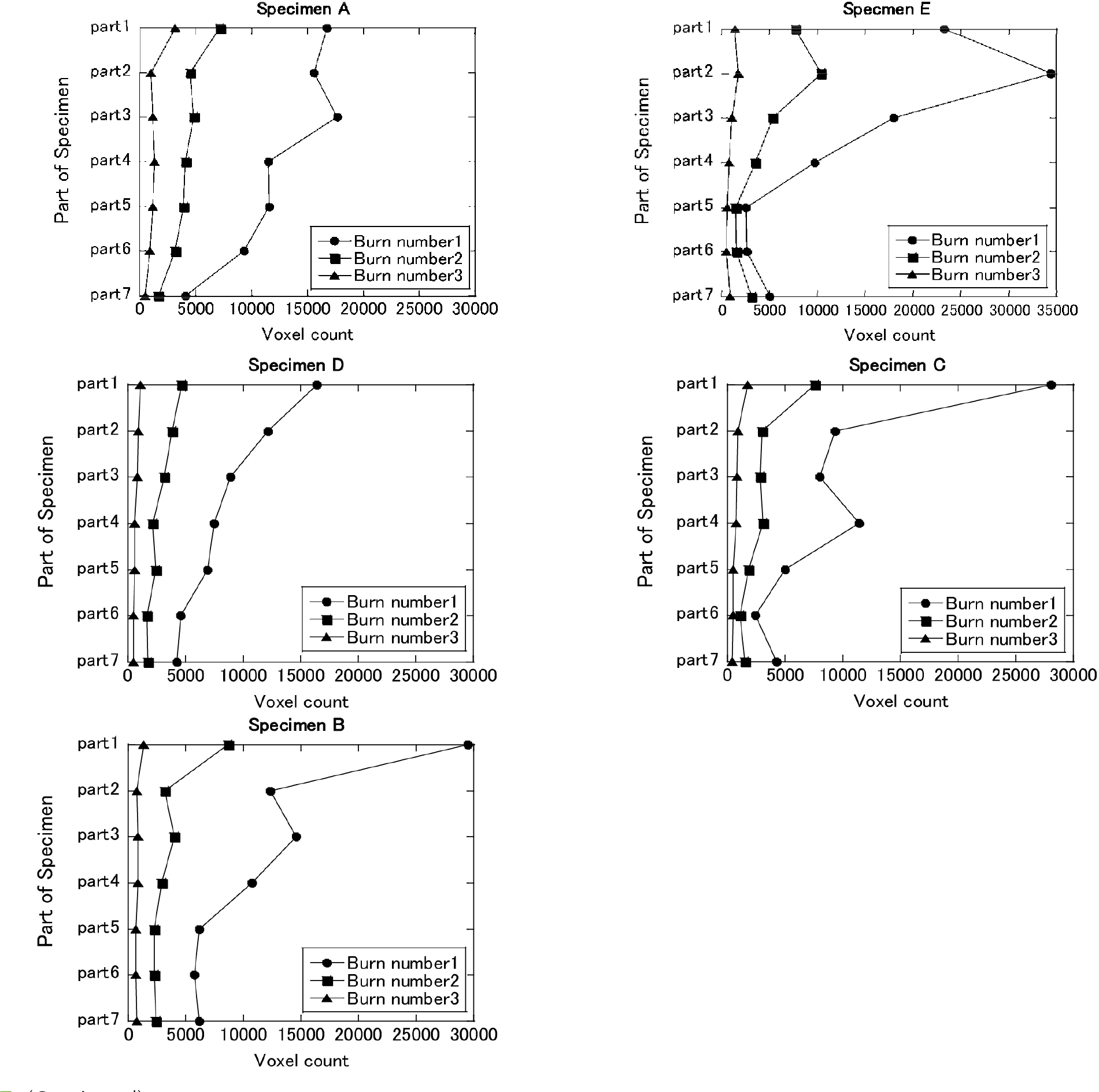
Burn number 변화
시편 A~E의 Burn number 결과를 Fig. 7에 도시하였다. 시편별로 Burn number 1부터 3까지 도시하였으며, 가로축은 복셀수, 세로축은 시편의 파트를 나타낸다. 그래프를 보면, 치핑면에 가까울수록 Burn number 1~3의 복셀수가 증가하고 있는 것을 알 수 있다. 그 경향을 보면, 시편 A 와 D는 하부로부터 상부까지 서서히 증가하고, 시편 B와 C는 서서히 증가하면서 치핑면의 바로 아래에서는 급격히 증가한다. 그리고 시편 E는 서서히 증가하지만 Part 1에서 약감 감소하는 경향이 있다. 이는 그 부분에 비교적 큰 골재가 자리잡고 있어, 상대적으로 손상영향을 덜 받은 것으로 판단된다. 이상으로부터 시편에 의해 차이는 있으나, 전체적으로 보면, 치핑면으로부터 약 3~4 cm 부분까지 치핑 충격에 의해 균열이 발생된 것으로 판단된다.
손상에 의해 발생한 균열 분포
Fig. 8은 위에서 서술한 균열의 양상을 가시화하여 확인하기 위해 대표적으로 시편 B와 D를 대상으로 도시한 Medial axis 분포도이다. 시편 B는 Burn number 1의 복셀수가 Part 1에서 급격히 증가하고, D는 서서히 증가하고 있다. 그림의 붉은색에 가까울수록 미소균열이고, 파란색이나 보라색은 어느정도 공극이 크거나 균열의 폭이 넓은 것을 의미한다. 치핑의 영향을 가장 적게 받을것으로 보이는 시편의 바닥부터 보면, 치핑면에 가까울수록 붉은색의 Medial axis가 증가하고 있는데, 이는 치핑에 의한 충격으로 미소균열의 수가 증가하는 것을 의미한다. 이와 같은 결과는 마이크로 포커스 X-ray CT를 활용하여 풍화 전과 후 화강암의 공극분포를 정량적으로 분석한 Jeong and Takahashi (2010)에도 나타난다. 이 논문의 분석결과, 풍화 전의 공극의 분포와 유효공극의 크기는 각 각 12~70 µm, 25~35 µm이다. 이에 반하여 심하게 풍화된 화강암의 공극의 분포와 유효공극의 크기는 각 각 13~100 µm, 20~30 µm이지만, 풍화전과 비교하여 빈도는 3배에 달하였다. 이는 심하게 풍화된 화강암은 풍화전과 비교하여 공극의 크기가 커지고, 그 빈도도 증가함을 나타낸다. 또한 풍화 후 유효공극의 크기는 20~30 µm로 풍화전의 25~35 µm와 비교하여 미세하게나마 더 작아진 결과를 나타내었는데, 이는 본 논문에서 치핑면에 가까울수록 붉은 Medial axis 즉, burn number 1에 해당하는 미세균열이 증가한 것과 유사한 결과로 볼 수 있다. 즉, 풍화나 충격으로 인해 크기가 큰 공극이나 균열도 증가하지만, 크기가 작은 공극과 미세균열의 증가가 더 뚜렷히 나타난다.
결 론
3DMA를 3D X-ray CT 이미지 분석에 적용하여 콘크리트의 손상에 의한 균열의 정량적 평가를 수행하였다. 이를 위해 동일한 조건으로 시편을 만들기 위해 콘크리트 블록을 만들어 치핑작업을 실시하여 손상을 가한 후, 코어링을 통해서 시료를 준비했다. 그 후, 손상 받은 시료를 X-ray CT 촬영하여 3D CT 이미지로 재구성한 후, 치핑에 의한 손상 깊이를 저정량평가하였다. 3DMA의 파라메타 중 손상 평가에 유효한 파라메타인 공극률 지표(Porosity index), Burn number, Medial axis를 이용하여 분석한 결과, 치핑 충격에 의해 콘크리트가 손상을 받을 수 있는 깊이는 3~4 cm 정도로 나타났다. 또한 치핑면에 가까울수록 균열이 폭은 미소균열이 다수 발견되었다. 이상과 같은 연구 결과는 콘크리트의 수복을 위해 치핑 후 새로운 콘크리트로 오버레이 공정을 한 콘크리트에서는 기존의 콘크리트와 새롭게 수복된 콘크리트의 부착강도가 낮아지는 문제가 발생할 수 있으므로, 이에 대한 대책이 필요하다는 것을 시사한다. 이상으로 본 논문에서는 이러한 3D CT 이미지 분석을 통하여 콘크리트 내부에 발생한 균열의 정략적 평가가 가능한 것을 확인하였다. 이러한 CT 이미지 분석 방법은 지질공학에서 주료 사용되는 재료인 토양이나 암석에 대해서도 균열을 포함한 내부구조의 정량적 평가, 그리고 가시화 등에 적용가능하며, 많은 연구가 수행되고 있다.










