서 론
방사형 집수정의 취수량 산정식
연구 지역
추정식의 특징 및 적용성
하천에서 우물까지의 거리
수평정의 개수
대수층의 두께와 수평정의 길이
수리전도도
수평정의 특성
수리전도도의 추정
토의 및 결언
서 론
우리나라의 강변여과수 개발은 1990년대 말부터 생활용수 및 하천 유지용수 확보를 위하여 추진되어 왔으나(Kim et al., 1999; Hamm et al., 2002), 충적층 매질 특성 및 지하수의 수질 특성 등으로 인하여 운영 과정에 취수량이 감소할 가능성이 존재하고 있다. 또한, 대용량 개발로 인한 배후지의 수위 강하에 대한 우려도 발생할 수 있다. 이와 같은 현상은 강변여과수의 최적 설계 및 시공, 적정 취수량의 산정 등에 대한 기술 개발을 요구하게 된다.
외국의 사례에서 보면, 일부 강변여과수 시설에서 장기간 연속 운영시 취수량 감소가 나타나는 것으로 보고되고 있는데, 미국 캘리포니아 지역, 독일 엘베강 주변에서 하천 바닥층의 클로깅에 의한 취수량 감소 현상 등 다수의 사례가 있다(Ulrich et al., 2015; Grischek and Bartak, 2016). 이와 같은 취수량 감소 현상이 발생할 가능성을 고려할 때 초기 취수량은 실제 수요량보다 큰 값으로 설계될 필요가 있으며, 초기 취수량의 정확한 산정은 장기 운영 후에도 안정적으로 취수량을 확보하기 위한 필수적 조건이라 할 수 있다. 초기 취수량의 산정에는 다양한 경험식이 개발, 사용되어 왔는데, 최근에 각 경험식의 방법별 개념과 적용성에 대한 리뷰 연구(Váradi, 2013) 및 각 경험식과 Analytical element model의 결과에 대한 비교 연구 등이 수행된 바 있다(Patel et al., 2010; Masoudiashtiani et al., 2016).
우리나라는 주로 방사형 집수정을 활용한 강변여과수 개발이 이루어지는데, 설계 단계에서 현장 조사 자료를 토대로 수치모델 또는 경험식을 활용하여 취수량을 추정하고 있다. 본 연구는 방사형 집수정 취수량 추정 경험식을 국내 현장에 적용하고 실제 취수량과의 비교 분석을 통하여 각 방법별 적용성 및 한계점을 검토하는 것을 목적으로 하였다.
방사형 집수정의 취수량 산정식
방사형 집수정에 대한 취수량 추정은 Thiem 식을 적용하여 방사형 집수정을 대형 수직정으로 고려하는 것으로부터 시작되었는데, 방사형 집수정의 복잡한 구조 및 그 주변에서의 물의 흐름 특성 등을 고려하여 동유럽을 중심으로 다양한 경험식들이 개발되어 왔으며, 최근에는 새로운 기법의 개발보다는 기존 방법의 적용성에 대한 연구들이 일부 수행된 바 있다(Abweser, 1950; Falcke, 1952; Haefeli and Zeller, 1953; Patel et al., 2010; Moore et al., 2011).
자유면 대수층에서 방사형 집수정을 대형 수직정으로 고려할 경우의 취수량은,
(1)
(2)
이며, 여기에서, Q는 취수 가능량(m3/d), k는 대수층의 수리전도도(m/d), H는 대수층의 포화 두께(m), hw는 집수정내에서의 물의 두께(m), R은 영향 반경(m), Re는 대형 수직정으로 고려한 우물의 등가 반경(m), L은 우물의 중심에서 수평정 끝부분까지의 평균 길이(m)를 의미한다(Hantush, 1964).
Kordas (1960)는 일정한 두께의 무한한 넓이의 피압 대수층 조건에서 물의 유입이 방사상으로 이루어질 때 방사형 집수정을 통한 취수량을 다음과 같이 정의하였다.
(3)
여기에서, n은 수평정의 개수, t는 불투수층으로부터 수평정까지 높이(m), Ta는 대수층의 두께(m), 는 수평정의 반경(m), R은 우물의 영향반경(m), L은 수평정의 평균 길이(m), k는 수리전도도(m/d), H-hw는 수위 강하(m)를 의미한다.
Milojevic (1963)은 하천 바닥이 불투수층 경계와 만나는 하천 주변에 인접하여 균질한 피압 대수층에서 방사상 방향으로 다수의 수평정이 설치된 경우로서 각 수평정에서 동일한 수위 강하가 발생된다는 가정 하에, 방사형 집수정을 개발할 경우의 취수량을 다음과 같이 정의하였다(Fig. 1a).
(4)
(5)
여기에서, n은 수평정의 개수, t는 불투수층으로부터 수평정까지 높이(m), Ta는 대수층의 두께(m), d는 수평정의 직경(m), R은 우물의 영향반경(m), L은 수평정의 평균 길이(m), k는 수리전도도(m/d), H-hw는 수위 강하(m), b는 하천 유로에서 우물까지 거리(m)를 의미한다. 한편, 하천 바닥이 불투수층 경계까지 연결되지 못하는 하천인 경우(Fig. 1b) 또는 반원 방향으로 부채살 형태의 수평정이 배열된 경우에 대해서는 위 계산 결과에 비례상수를 곱하여 취수량을 추정하도록 제시하고 있다(Table 1).
Table 1. Multiplication coefficients of yield estimates using Milojevic’s method.
| Number of drains | ta/L | ||
| 0.6 | 1.0 | 2.0 | |
| A : Vertical riverbank, drains in the half of the perimeter | |||
| 4 | 0.99 | 0.98 | 0.96 |
| 8 | 0.96 | 0.94 | 0.91 |
| B : Shallow cut bed, mean value for all measurements | |||
| 8 | 0.87 | 0.85 | 0.83 |
Babac (1965)은 식 (1)로 부터 은 n과 의 함수로 표현이 가능한 점을 밝혔으며, 하천 유로 인근에서의 단일 방사형 집수정의 취수량을 다음 식으로 정의하였다(Fig. 1b).
(6)
(7)
여기에서, n은 수평정의 개수, Ta는 대수층의 두께(m), L은 수평정의 평균 길이(m), k는 수리전도도(m/d), sw는 수위 강하(m), b는 하천 유로에서 우물까지의 거리(m)를 의미한다.
Petrovic (1956)은 하천으로부터 이격된 지역에서 방사형 집수정을 설치할 경우의 취수량 추정식을 다음과 같이 제시하였다.
(8)
여기에서, A, B 및 C는 Petrovic 상수, k는 수리전도도(m/day), L은 수평정의 평균 길이(m), H는 안정수위시 불투수층으로부터 지하수의 두께(m), hw는 양수 시 집수정내 지하수의 두께(m), n은 수평정의 개수이다.
연구 지역
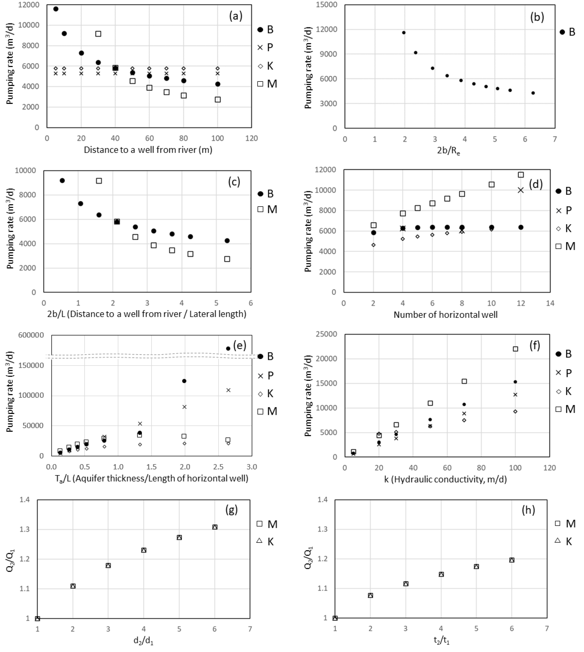
상기 경험식을 적용할 연구지역은 경기도 안성시 안성천 중류지역으로서 기반암은 선캠브리아기의 흑운모 편마암과 이를 관입한 쥬라기의 흑운모 화강암이 분포하고 있으며, 충적층의 두께가 6.0~9.9 m 정도로서 하부로부터 풍화토, 자갈질 모래, 실트질 모래, 점토질 실트로 구성되어 있다(Fig. 2; Kim et al., 2016). 연구지역 방사형 집수정의 우물통 시공을 위하여 우물통 침설 촉진식 시공방법(특허 제10-1347866호)을 사용하였으며, 우물통 내경은 6.0 m, 벽체 두께는 0.7 m, 집수정의 높이는 14.7 m, 수평정은 7개로 구성되어 있다. 수평정의 평균 길이는 약 37.7 m, 수평정의 구경은 20 cm에 해당한다(Table 2). 조사단계에서 총 14개 지점에서 양수시험을 실시하였으며, 이로부터 추정된 평균 수리전도도는 41.6 m/d, 평균 투수량계수는 289.0 m2/d로 나타났다.
Table 2. Specifications of radial collector well and hydraulic features of aquifer
추정식의 특징 및 적용성
연구지역 방사형 집수정을 대상으로 각 경험식에 의한 취수량 추정의 적정성을 비교해 보고자, 방사형 집수정의 조건과 수리특성에 변화를 주면서 취수량을 산정해 보았다.
하천에서 우물까지의 거리
하천으로부터 우물까지의 거리에 따른 취수량 산정 결과를 도시해 보면, Babac 방법은 식의 분모에서 보듯이 하천에서 우물까지 거리의 2배(2b)가 등가반경(Re)보다 작으면 유효하지 않음을 알 수 있고, 이는 하천으로부터 우물까지의 거리가 매우 가깝거나 등가반경이 지나치게 큰 경우에는 적용할 수 없음을 보여준다. 또한, 연구시설 조건하에서는 하천으로부터 거리가 40~50 m 정도에서 Babac의 결과는 Petrovic 및 Milojevic와 유사함을 알 수 있다(Fig. 3a). 상기 등가반경의 계산식에서 거리 b와 수평정의 길이 L의 관계를 보면, 거리가 수평정의 길이 보다 지나치게 작거나 큰 경우에는 등가반경(Re)가 2b와 유사해지거나 커지게 되므로 본 식의 적용이 유용하지 않게 된다(Fig. 3a, 3b).
Milojevic 방법에서도 하천에서 우물까지 거리의 2배(2b)와 수평정의 길이(L)의 관계를 보면, 2b가 L보다 작은 경우에는 취수량 산정이 불가하게 되며, 이는 하천에 매우 인접한 경우에는 수평정이 하천을 관통하는 형태를 보여 본 방법의 적용이 불가함을 의미한다. 추정값에서 보듯이 하천에 근접하면 할수록 기하급수적으로 취수량이 증가하게 되므로 현실과 맞지 않는 상태가 되며 실제 취수량과 큰 차이를 보이게 된다(Fig. 3c).
반면, Petrovic 및 Kordas 방법은 추정식에서 보듯이 우물에서 하천까지의 거리가 취수량 산정에 영향을 미치지 않는다. 다만, Kordas의 경우 우물의 영향반경 R이 수평정 길이의 1.93배 보다 크면서 유사할수록 높은 취수량을 보이는 것을 알 수 있는데, 이는 영향반경내의 모든 물이 집수정내로 유입되는 경우에 해당되며, 영향반경이 1.93L 보다 작은 경우에는 수식이 성립되지 않고 실제 현장에서 가능한 상황으로 보기 어렵다.
수평정의 개수
Babac의 방법은 식 (7)에서 보듯이 수리전도도, 수위강하 등의 조건이 동일하다면 등가반경(Re)이 클수록 취수량은 증가하게 되는데, 수평정의 개수가 증가하면 등가반경이 증가하는 효과가 발생함을 의미한다. 다만, 수평정의 개수가 8개를 초과하게 되면 등가반경의 증가는 매우 미미하여 취수량도 거의 일정한 수준에 다다르게 된다(Fig. 3d).
Milojevic 방법 및 Kordas 방법에서도 각 식에서 보듯이 수평정의 개수가 증가할수록 취수량이 증가하게 된다(Fig. 3d). 이와 같은 현상은 Babac의 식에서는 등가반경은 수직 우물의 구경 증가를 의미하나, Milojevic 및 Kordas 방법은 수평정의 개수 증가에 의한 유량 증가를 의미한다.
대수층의 두께와 수평정의 길이
대수층의 두께(Ta)와 수평정의 길이(L)의 관계를 보면, Babac의 방법은 대수층의 두께와 수평정의 길이의 비율이 약 1.5를 초과하게 되면 취수량이 급격히 증가하는 현상을 보이며, Milojevic 방법에서는 취수량이 오히려 감소하는 현상이 나타난다(Fig. 3e). 이와 같은 조건에서는 본 경험식의 일관성이 유지되지 않음을 의미하며, 대수층의 두께가 수평정의 길이 보다 약 1.5배를 초과하는 경우에는 경험식의 적용시 유의하여야 한다. 실제 Milojevic 식에서는 대수층의 두께가 수평정의 길이의 2배를 넘지 않는 조건을 제시하고 있다(Milojevic, 1963). 한편, 국내 현장에서는 충적층 대수층의 두께 보다 수평정의 길이가 짧은 경우는 일반적이지 않으나 실제 적용 시 유의할 필요가 있다.
수리전도도
각 방법별로 수리전도도에 따라 취수량은 비례관계로 증가하고 있으며, Milojevic의 방법이 수리전도도의 증가에 따른 취수량 증가율이 가장 큰 것으로 나타나며, Kordas의 방법이 가장 증가율이 낮음을 알 수 있다(Fig. 3f). 모든 방법에서 수리전도도는 취수량에 비례하고 있어 수리전도도의 정확한 산출은 취수량 평가에 매우 중요하다. 수리전도도 5배 증가시 취수량 증가는 Milojevic 및 Babac 방법은 약 5 배, Kordas는 약 2.7 배 증가하고 있다. 이와 같은 증가율은 수평정의 개수가 2개에서 10개로 될 때의 각 방법별 취수량 증가율 1.6 배, 1.1 배 및 1.3 배에 비하여 현저하게 큰 값에 해당한다.
수평정의 특성
Kordas 및 Milojevic 식에서는 수평정의 구경과 수평정의 바닥으로부터의 높이 등이 입력 인자로 고려되고 있는데, 구경이 2배 증가할 때 취수량은 약 11.0%, 바닥으로부터의 높이가 2배 증가할 때 취수량은 약 7.7% 정도 증가하게 된다(Fig. 3g, 3h). 연구지역에서 수평정의 구경을 0.2 m에서 0.4 m로 적용한다면, 취수량은 Kordas 식에서는 5,787 m3/d에서 6,421 m3/d, Milojevic 식에서는 7,901 m3/d에서 8,767 m3/d로 증가하게 되는데, 수리전도도가 2배 증가할 경우에 Kordas 식에서는 1.47배, Milojevic 식에서는 2배의 취수량 증가를 보이는 점과 비교할 때 상대적으로 작은 비율에 해당한다.
수리전도도의 추정
위에서 언급한 바와 같이 대수층의 수리전도도는 산출량에 가장 큰 영향을 미치고 있으나, 실제 조사단계에서는 제한된 숫자의 양수시험을 통하여 수리전도도를 추정하고 있으며, 추가적으로 시추시 채취된 토양의 입도분석자료로부터 추정한 수리전도도 등이 사용된다(Vukovic and Soro, 1992; Odong, 2013).
일반적으로 수리전도도는 lognormal 분포를 보이고 있으며, lognormal 분포 자료의 산술평균은 이상값이 포함된 평균이므로 대표 값으로 사용하기 어렵다. 따라서, positive skewness된 자료에 대한 로그 변환을 통하여 정규분포화시키는 과정을 거친 후 다음과 같이 기하평균에 의하여 대표 값을 추출하게 된다(Aitchison and Brown, 1981).
(9)
여기에서, ki는 개별 수리전도도를 의미한다. 한편, 이 평균값은 아래 신뢰구간 범위 내에 분포되어야 실제로 적용 가능한 것으로 알려져 있다(Bradu and Mundlak, 1970).
(10)
여기에서, 는 로그변환된 수리전도도의 평균, t는 검정통계량, 은 분산, n은 샘플의 수, 𝛼는 유의수준을 의미한다.
연구지역의 경우, 7개의 수평정 굴착 과정에서 채취된 2 m 간격의 토양시료 156개의 입도분석 자료를 토대로 Kozeny- Carman 방법 및 Slichter 방법에 의한 수리전도도를 산정하였다(Carrier, 2003; Kasenow, 2002). 이들의 산술평균은 약 108.3 m/d로서 일부 이상값에 의하여 크게 산정되었으며 positive skewness 분포를 보여 대표성이 없다(Fig. 4a). 한편, 로그 변환 후의 식 (9)에 의하여 추정한 수리전도도는 약 7.6 m/d로서 식 (10)에 의한 신뢰구간 4.1~14.1 m/d 사이에 존재하여 유용한 것으로 보이나. 변환 자료의 히스토그램은 정규분포를 보이지 않고 쌍봉의 분포를 나타내고 있어 전체 자료의 기하평균으로 수리전도도를 산정하는 것은 바람직하지 않게 된다(Fig. 4b). 한편, 연구지역내 25개의 수직 시추조사시 취득된 토양시료로부터 추정한 수리전도도의 로그 변환 값의 분포를 보면, 수평정과 유사하게 쌍봉의 형태를 보이는데(Fig. 4c), 수평정의 자료와 비교할 때 낮은 수리전도도의 분포는 유사하게 나타나나(최소 값에서 0.4 정도까지의 범위) 높은 수리전도도의 분포는 빈도나 값이 상대적으로 적음(수평정의 경우는 0.4~7.4, 수직시추의 경우는 0.44~2.97)을 알 수 있다. 이와 같이 수직 시추 자료에서 높은 수리전도도에 해당하는 값이 누락되는 것은 시추시 조립질의 유실이 발생하기 때문으로 보인다. 수평정의 입도분석 자료로부터 작성한 쌍봉의 수리전도도 분포를 보면, 작은 입자 그룹의 수리전도도는 0.1 m/d, 큰 입자 그룹의 수리전도도는 82.3 m/d로 나타나는데, 각 그룹의 빈도수가 비슷한 점 및 경험식에서 보듯이 수리전도도가 취수량과 비례 관계인 점을 고려하여 이들의 평균값을 취하면 양수시험에 의한 수리전도도 41.6 m/d와 매우 유사한 41.2 m/d를 구할 수 있다. 그러나, 수직 시추자료에 의한 수리전도도는 이보다 작게 산정되므로 시추시 조립질의 유실이 없다면 적정 수리전도도 추정이 가능할 것이다.
상대적으로 깊은 개발 심도를 갖는 창녕군의 낙동강변 강변여과수 개발 지역의 경우를 보면, 수평정으로부터 수집하여 극한값을 제외한 90개의 입도 분석 자료의 수리전도도 분포가 안성천 연구지역과 동일하게 positive skewness 분포를 보이며(Fig. 4d), 로그 변환된 값의 분포가 쌍봉으로 나타나 단순 기하평균에 의한 수리전도도 추정은 한계가 있다(Fig. 4e). 또한, 수직 시추의 입도 분석자료의 수리전도도 분포도 미약한 쌍봉을 보이고 있어 단순 기하평균은 의미가 없다(Fig. 4f). 수직 시추자료에서 낮은 수리전도도의 그룹은 이 지역 상부의 세립질 충적층에 의한 것이며, 높은 그룹은 수평정 부근 심도의 조립질의 구성 입자를 의미한다. 이와 같이 안성천 연구지역과 달리 이 지역은 시추 깊이가 30여 m에 이르러 심도별 입자의 다양성이 나타나므로 수직 시추의 입도 분석에 의한 수리전도도 추정에는 한계가 있다.
이와 같이, 하천변 퇴적 환경이 조립질과 세립질이 혼합되는 특성을 보이는 경우 토양시료의 입도분석에 의한 수리전도도의 추정은 유의해야 함을 알 수 있다. 또한, 얕은 충적분지에서의 입자 유실이 최소화된 상태의 수직 시추에 의한 입도분석 자료를 활용한 수리전도도의 추정은 가능할 순 있으나 충적층의 규모, 조립질의 유실 정도 및 입자 크기의 분포 형태와 다양성 등을 고려하여 추정되어야 한다.
토의 및 결언
상기 4가지 추정식을 활용하여 연구지역 방사형 집수정의 취수량을 추정한 결과(Table 3), 실제 개발 직후의 초기 취수량은 6,124 m3/d로서 Babac, Kordas 및 Petrovic 방법에 의한 결과가 비교적 유사하게 나타났으며, Milojevic 방법은 과다 산정되었다. Kordas의 방법은 하천 범위 내에서의 방사형 수평정을 개발할 경우의 취수량 추정 식으로서 본 지역과 같이 하천 제외지에서 개발된 경우에는 비교적 적용성이 있는 반면 제내지에 설치되는 경우에는 한계점이 있으며, Petrovic는 하천에 이격된 지역에서 개발할 경우에 적용되는 방법으로서 연구지역에 대해서는 상대적으로 정확성이 낮게 나타났으며, Milojevic 방법도 하천 제외지에 하천 수로 구간에 인접하여 설치된 현장 특성상 다소 과다 산정되었다.
Table 3. Yield estimates using four empirical methods.
| Methods | Results | Initial actual yield (m3/d) | |
| Yield for k (41.6 m/d) | Difference (m3/d) | ||
| Babac | 6,381 | -257 | 6,124 |
| Petrovic | 5,285 | 839 | |
| Kordas | 5,787 | 337 | |
| Milojevic | 9,187 | -3,063 | |
| Milojevic_a1) | 7,901 | -1,777 | |
Remarks) 1): Multiplied by 0.86 for Ta/L = 0.8
Babac의 방법은 방사형 집수정을 대형 수직 우물로 고려하는 방법이기 때문에, 식 (7)의 분모에서 보듯이 우물의 가장자리가 하천에 접하는 규모 이상인 경우에는 적용이 불가하다. 마찬가지로, Milojevic 방법에서도 하천에서 우물까지 거리의 2배(2b)와 수평정의 길이(L)의 관계에서 2b가 L보다 작은 경우에는 취수량 산정이 불가하여 적용할 수 없게 된다. Kordas의 방법에서는 영향반경이 수평정의 길이의 1.93 배보다 작은 경우에는 수식이 성립되지 않게 되는데, 연구지역의 경우 이 값은 수리전도도가 약 1.55 m/d 보다 작을 때 해당되므로 실제 현장의 수리전도도와 큰 차이를 갖게 된다. 아울러, 모든 방법에서 대수층의 두께가 수평정의 길이보다 약 1.5배를 초과하는 경우에는 방법별 취수량 산정 결과에 일관성이 낮고 방법별 차이가 매우 크므로 적용에 유의해야 한다. 각 경험식들은 방사상의 대칭적인 물의 유입 조건, 수평정의 길이 산정에 영향을 미치는 방향별 길이의 차이 등이 영향을 미칠 수 있으므로 시설 형태에 따른 취수량 추정량의 오차에 대한 이해가 필요해 보인다.
한편, 수리전도도는 취수량 결정에 가장 중요한 요소이므로 정확한 산정을 필요로 한다. 이를 위해서는 다수의 양수시험을 통하여 대표 수리전도도를 도출하여야 하나, 예산상의 문제로 인하여 시추조사시 입도 분석 자료를 활용해야 한다면 입자 유실을 최소화하고 입도의 공간적 분포 특성 등을 고려한 수리전도도 추정이 수행되어야 한다. 이를 위해서는, 시추조사 자료로부터 수리전도도를 추정하기 위한 적정 방법을 개발하여야 하며, 이와 병행하여 다수의 양수시험 자료와 시추 자료에 의한 수리전도도를 비교 평가하는 추가 연구의 필요성이 요구된다.
강변여과수 시설에서의 장기 양수시 발생될 수 있는 취수량의 변화를 고려한다면 초기 취수량에 대한 정확한 추정을 통한 적정 사업비 평가가 사업성을 결정하는데 도움을 줄 수 있다. 위 분석에서 보듯이 방사형 집수정에 의한 지하수 산출량 추정은 하천변에서의 효과적인 용수 확보 수단이지만, 정확한 취수량을 추정하기 위해서는 방사형 집수정의 구조 및 대수층의 복잡성에 대한 현장 특성자료의 정확한 추출이 필요해 보인다.






