서 론
토석류는 자연 또는 인공 비탈면이 붕괴되어 산지비탈면을 구성 물질이 빠르게 이동하는 현상으로 정의할 수 있다(Terzaghi, 1950). 2003년부터 2012년까지 국내에서 발생한 토석류를 포함하는 산사태 평균 피해면적은 1980년대 발생 한 피해현황과 비교할 때 3배 이상 증가한 557.5ha로 2000 년 이후부터 국내에서도 기상이변에 의한 태풍, 집중호우, 장마로 토석류 발생빈도, 규모는 증가하는 경향을 보인다(Park et al., 2004; Lee and Yoo, 2009).
산림청에서 제시한 토석류를 포함하는 전국 산사태 취약 지역 현황을 분석한 결과, 2016년 8월 기준 전국적으로 총 21,406개소의 토석류 취약현장이 존재하는 것으로 파악되었다. 일반적으로 토석류 취약구간은 강원도 산악지형에 국한 된 것으로 인식되지만 지역별 현황을 검토해보면, 경상도 26%, 전라도 16%, 충청도 13%, 강원도 9%로 토석류 취약 현장은 전국적으로 산재해 있고 인구밀집지역인 서울경기지 역에도 11% 이상 존재하는 것으로 보고되고 있다(Korea Forest Service, 2016, Status of vulnerable landslides, Retrieved from http://forest.go.kr/newkfsweb/html/HtmlPage.do?pg=/lsis/UI_LSIS_1000_020302.html&orgId=lsis&mn=KFS_02_06_02_03_02).
국내에서는 토석류에 의한 피해를 최소화하기 위해 1986년 이후부터 2000년대 후반까지 2,000 여개소 이상의 사방 댐을 전국 단위로 시공하였으며 2017년까지 약 1.25 조원의 예산을 추가 투입하여 5,000 여개소 이상의 사방댐을 추가 적으로 시공할 계획을 수립 중에 있다(Song et al., 2013).
국내에 널리 적용되고 있는 사방댐은 불투과형 콘크리트 사방댐으로 이는 저수·저사에 따른 용수 이용이 가능한 장점이 있다. 그러나 콘크리트는 취성파괴 특성을 보이므로 동적 에너지 흡수에 취약하며 따라서 대규모 암괴를 포함한 액상화된 토석류가 비탈면 하부방향으로 큰 운동성과 충격력으로 구조물에 도달할 경우, 손상발생에 따른 장기 안정성에 영향을 줄 수 있다. 이 외에도 사방댐은 시공 시 공간 적인 제약이 많으며 환경오염 발생, 월류에 의한 2차 피해 발생, 자연미관 훼손, 손상 발생시의 유지보수 어려움 등이 발생한다(Baek et al., 2010; Cho et al., 2016).
본 연구에서는 토석류 발생에 따른 피해저감을 위한 기초연구로서 토석류 충격에 의한 방지시설 거동특성, 충격력 흡수 메커니즘 분석을 위해 토석류 모형시험을 수행 하였다. 시험에 사용된 방지시설은 불투과형 사방댐(erosion control dam)과 유연성 토석류 방지시설(flexible debris flow barrier) 인링네트(ring net)로서 제시된 시험 결과를 토대로 각 방지시설에 대한 성능평가에 대하여 제시하였다.
토석류 방지시설
사방댐
사방댐은 토석류에서 조립질 유송물질을 세립질과 물로 분리한 후 조립질 유송물질의 퇴적을 통해 토석류 유동특성을 변화시켜 토석류 피해를 저감시키는 구조물로 정의할 수 있다(Lee, 2014).
사방댐은 형식, 재료, 목적, 투과성 유무에 따라 분류되며 국내에서는 다수의 시공실적과 재료 수급이 용이한 불투과 형 콘크리트 사방댐이 토석류 방지시설로 널리 이용되고 있다. 본 구조물은 1986년 황폐계류의 토사 유출과 토사재해 를 저감하기 위한 목적으로 전국에 31기 시공된 이 후 2011년까지 국유림에 697기, 사유림에 4,357 기가 시공되었다. 그러나 콘크리트 사방댐은 재료열화에 의한 장기 내구 성저하 발생, 재료 특성에 따른 동하중에 대한 취약성, 토 목공사 수행에 따른 공사비 증가, 시공관리 및 공종 복잡, 토공사 수행에 따른 자연훼손, 콘크리트 사용에 따른 중금속 발생 등 안정성·경제성·시공성·환경성 측면에서 여러 개선사항이 요구되고 있다.
국내에서는 불투과형 콘크리트 사방댐의 문제점을 해결하기 위해 2000년 이후부터 투과형 사방댐의 일종인 버트리스, 슬리트 사방댐을 적용하는 사례가 보고되었다(Song, 2010). 투과형 사방댐은 토석류 발생 시 유목을 포함하는 토석류를 포획하도록 설계된 점에서는 불투과형 사방댐과 기능적으로 유사하지만 계류의 수리적 연속성은 손상하지 않는 점에서는 큰 차이점을 보인다.
사방댐 시공시 주요 고려사항은 집수유역면적, 설치구간의 지형지질특성, 설치구간의 위치적 조건에 따른 저수저사 겸용 목적 등으로 계상, 산각 고정, 저수를 목적으로 하는 구간에는 불투과형, 사방댐 시공에 따른 자연훼손이 심각히 발생하는 구간 또는 저사가 주요 목적으로 물 흐름에 따른 피해 발생이 예상되지 않는 구간에 대해서는 투과형 사방댐 을 시공하는 것이 구조적, 환경적 측면에서 바람직한 것으로 보고되고 있다(Park, 2007).
링네트
토석류 방지시설을 대표하는 불투과형 사방댐은 구조물 자중을 이용하여 토석류 충격력에 저항한다. 반면에, 링네트는 강재의 탄성거동을 이용하여 토석류 충격에너지를 흡수 하도록 설계되었다(Baek et al., 2010). Fig. 1은 본 논문의 저자가 국내 링네트 현황분석을 위해 강원도 산간지역에 설치된 실제 링네트를 촬영한 전경으로 본 구조물은 충격에너지를 구조체를 구성하는 강재의 탄성 늘음을 이용하여 흡수하며 불투과형 사방댐과 달리 구조물 전면으로의 토사, 지표수 유출을 허용하므로 국내에서도 토석류 저감 시스템으로 널리 사용되고 있다(Ma and Jeong, 2010).
연구방법
모형축소시험
지반분야에서 구조물 성능평가를 위해 적용되고 있는 실험방법은 실물크기 실험(mock-up test), 원심모형실험(centrifuge test)법, 모형축소시험(small-scaled model test) 등이 있다.
실물크기 실험은 실제 크기와 동일한 크기의 모형을 제작하여 구조물에 대한 성능을 평가한다. 실제 현상을 모사할 수 있어 신뢰성 확보차원에서 합리적이지만 모형제작을 위해서는 많은 시간과 비용이 소요되며 다양한 조건의 실험 을 반복적으로 수행하기 어려운 단점이 있다. 원심모형실험 법은 이론적 접근방법으로는 관찰하기 어려운 지반의 극한 상태시의 파괴 거동과 같은 실제 응력 재현과 같은 연구에 탁월한 결과를 제시할 수 있는 장점이 있다(Ha et al., 2006). 그러나 토석류는 정적거동이 아닌 동적거동이기 때문에, 원심모형실험을 수행할 경우 회전에 의한 입자거동변 화가 발생하므로 실제와는 다른 거동이 발생할 것으로 판단되며 장비의 희소성과 고가의 실험비, 반복적 실험을 요구하는 경우 시료의 재현성 및 반복성의 어려움이 있다(Ma and Jeong, 2010).
본 연구에서는 실제 토석류 발생규모를 고려한 축소모형시험을 통하여 토석류 동적하중에 의한 구간별 방지시설에 가해지는 충격하중을 평가하였다.
토석류 모형시험장치
토석류 흐름장치
Fig. 2는 국내에서 제작된 대표적 토석류 흐름실험장치로서 경사부 평균 길이는 5.12 m, 평균 폭은 0.5 m이며 경사는 0o~40o까지 조절이 가능하게 제작되었다(Choi, 2011; Kim, 2011; Cho et al., 2016).
토석류는 Fig. 3과 같이 비탈면 경사와 유송물질의 퇴적 규모에 따라 초기발생 구간, 이동 및 침식구간, 퇴적구간으 로 구분할 수 있다. VanDine(1996)은 토석류 초기발생구간(Initiation) 경사는 비탈면 경사가 25o 구간에서 가장 우세하며 침식(Transportation and erosion)은 15o, 퇴적(Deposition)은 10o 이하구간에서 가장 우세하게 진행되는 것으로 보고하였다.
Jeon et al.(2013)은 강원도 180여개소에서 발생한 토설 류 발생구간에 대한 현황조사를 수행한 결과, 토석류 초기 발생구간 발생빈도는 Fig. 4에 제시된 바와 같이 비탈면 경사가 30o~40o, 연장이 50.0 m 지점에서 가장 우세한 것으로 기술하였다.
본 연구에서는 강원도에서 발생한 토석류 현황을 고려하여 토석류 흐름장치는 0o~50o까지 경사 조절이 가능하며 경사부 길이는 선행연구결과를 토대로 5.0 m로 설계하였다. Fig. 5는 본 연구에 사용된 토석류 흐름실험 장치로서 이는 시료저장구간, 경사부(토석류 이동구간), 바닥부(토석류 퇴적구간)로 구성되었다. 시료 저장구간은 1.0 m × 1.0 m × 0.5 m 크기로 최대 토석류 시료를 0.5 m3 저장할 수 있으며 유압을 이용하여 저장구간을 자동 개폐할 수 있게 설계하였다. 바닥부는 토석류의 원활한 퇴적을 유도하기 위해 2.5 m × 2.0 m × 0.5 m 크기로 설계하였다. 마지막으로 흐름 장치는 토석류 흐름에 따른 구조물 안정성 확보를 위해 주형 메인 프레임은 강철로 제작하였으며 실험시 토석류 흐름을 관찰하기 위해 전 구간은 10 mm 두께 투명 강화 아크릴판을 메인 프레임에 부착하였다.
토석류 방지시설
불투과형 사방댐은 비탈면 상부에서 발생한 토석류를 하부구간으로 흘려 내리지 않고 구조체의 강성 또는 자중을 이용, 충격하중에 저항하는 방식으로 설계된다. 본 연구에서 는 Fig. 6(a)와 같이 1.0m(높이) × 0.5m(폭) × 0.016 m(두께) 크기의 강판(중량 : 약 62.4 kg)을 불투과형 사방댐이라고 가정, 충격하중에 의한 구조물 변형과 방지시설 전면으로의 토석류 입자 투과는 발생하지 않게 모형실험을 수행하였다.
Fig. 1은 현장에서 실제 적용되고 있는 토석류 방지시설 로서 링네트링 직경은 일반적으로 0.5 m이다(Ma and Jeong, 2010). 본 연구에서는 모형실험에 적합한 크기의 링네트 링 직경을 선정하기 위해 토석류 흐름장치 경사부 길이와 실제 강원도 토석류 초기발생구간의 이동거리 비가 1/10인 점을 고려하여 모형실험에 사용된 링 직경 또한 실제 크기의 1/10 인 50.0 mm로 제작하였다. Fig. 6(b)는 모형실험에 사용된 링네트로서 네트 크기는 직경 50.0 mm 링을 각각 연결하여 1.0 m × 0.5 m 크기로 네트를 제작하였다.
상사를 고려한 토석류 모형실험을 수행하기 위해서는 모형장치의 크기가 축소된 만큼, 중력은 동일한 비로 증가되어야 한다. 그러나 본 연구에 사용된 토석류 흐름장치 크기는 높이, 길이가 각각 4.5m, 5.0m 이상이므로 이를 원심 모형실험에 적용하는 것은 상당한 어려움이 따른다. 본 연구는 토석류 충격하중에 의한 사방댐과 링네트의 상대적 성능평가로서 원심모형실험 수행시 여러 제약사항 발생으로 scale effect 만을 고려하여 모형축소실험을 수행하였다.
토석류 발생물질
토석류 구성물질은 대상구간의 지형적지질적 특성에 좌우되지만 일반적으로 세립토와 수 m 이상의 암괴까지 다양한 입도분포를 보인다(Nasmith, 1972; Lister et al., 1984; Hwang, 2008). 본 연구에서는 표준사, 잔골재, 굵은 골재를 혼합하여 토석류 흐름을 모사하였다.
Wendeler and Volkwein(2015)는 실험결과링 직경이 토석류 누적 통과백분율 90% 크기일 때 최적의 저사능력을 발현한다고 보고하였다. 본 연구에서는 선행연구결과, 모형실험에 사용되는 링 직경을 고려하여 Fig. 7과 같이 굵은 골재 최대 직경을 60.0 mm 이하, 잔골재는 25.0 mm 이하를 적용하였으며 배합은 표준사, 잔골재, 굵은 골재를 2:2:1 비율로 배합하여 실험을 수행하였다. 토석류 배합비, 배합 별중량은 Table 1을 참조한다.
한편, 토석류 발생은 물과 직접적 관계가 있다. 따라서 국내에서 수행된 토석류 모형실험 대부분은 함수비 특성을 고려하여 수행되고 있다(Lee et al., 2009). 그러나 본 연구는 토석류 방지시설의 상대적 성능평가를 위한 기초 연구이다. 따라서 자연함수상태의 시료에 대한 각각의 방지시설에 대한 성능평가가 우선적으로 수행된 후, 함수비 변화에 따른 토석류 모형실험을 추가적으로 수행하여야 할 것으로 판단된다. 토석류 함수비에 따른 방지시설 성능평가와 관련된 시험은 향후 수행될 계획이다.
토석류 충격력 평가
토석류 방지시설 성능평가 연구결과를 검토해보면, 충격력 평가 시에는 하중계, 토압계, 스트레인게이지, 가속도계 와 같은 역학센서가 널리 이용된다(Hubl et al., 2009; Moriguchi et al., 2009; Fangqiang et al., 2012). 선행연구 결과를 토대로 토압계, 하중계를 적용하여 예비실험을 수행한 결과, 센서에 방어막을 설치하더라도 충격력이 상대적으로 크기 때문에 충격하중이 센서에 직접 전달되어 실험시 손상되는 문제점이 발생하였다.
본 연구에서는 Fig. 8과 같이 강연선을 링네트 상, 중, 하부구간에 연결한 뒤 각 강연선 표면에 스트레인게이지(strain-gage)를 부착시켜 토석류 충격에 의한 강연선 연신율(elongation)을 측정, 토석류 발생에 따른 방지시설 구간별 충격하중 분포 등을 평가하였다.
토석류 방지시설은 3가닥의 강연선에 의해 고정되어 있기 때문에 x축과 직교방향으로 토석류 충격력이 강연선에 전달되면 강연선은 Fig. 9와 같이 x축 방향으로 인장력에 의한 Δx만큼 늘음이 발생한다. 본 연구에서는 강연선 탄성 계수, 스트레인게이지 변위량, 강연선 면적을 곱하여 구간별 방지시설에 가해지는 토석류 충격하중을 실시간 측정하였다. 본 연구에서 gauge factor는 2.16 ± 1%, Gauge resistance는 120.2 ± 0.5 Ω, Transverse sensitivity는 0.6%, 게이지 길이 1.0 mm, 폭 0.7 mm인 Tokyo Sokki사의 스트레인게이지 FLK-1-11을 적용, 실험을 수행하였다.
토석류 방지시설 충격하중 모형실험결과
실험개요
강원도 지역에서 발생한 토석류 현황을 분석한 결과, 토석류는 비탈면 경사가 30o~40o 구간에서 발생빈도가 가장 높은 것으로 평가되었다. 본 연구에서는 비탈면 경사 40o에서 발생한 토석류에 의한 방지시설 배면에 작용한 충격하중을 검토하여 각 구조물에 대한 성능평가를 수행하였다. 본 모형실험은 토석류 방지시설에 대한 성능을 평가하기 위해 수행되었으므로 실험에는 동일한 재료와 배합비를 적용하였다.
링네트 모형실험 결과
토석류 발생에 의한 링네트 거동특성 분석
Fig. 10은 비탈면 경사 40o에서의 토석류 흐름과 토석류 충격하중에 의한 방지시설 거동특성을 나타낸 것으로 실험 시작과 함께 토석류는 유체와 유사한 흐름거동을 하면서 흐름장치 하부방향으로 이동을 시작하였다. 구조물 배면에 도달한 토석류 중 모래, 잔골재 일부는 구조물에 충격하중을 전달한 후 투과되며 일부는 링네트 배면 하부에 퇴적되었다. 토석류의 흐름거동으로 토석류는 링네트 배면 하부 퇴적구간을 지나 링네트 전면에 충격하중을 전달한 후 링네트 배면에 퇴적되거나 전면으로 투과되었으며 토석류 흐름에 의한 충격하중 작용구간은 시간흐름에 따라 토석류 퇴적에 의해 하부에서 상부구간으로 이동하였다.
본 연구에서는 경강선을 이용하여 링네트를 제작하였기 때문에 토석류 충격하중이 구조물에 가해지면 충격하중은 경강선의 탄성 늘음에 의해 흡수되며 링 직경보다 크기가 작은 입자는 네트 전면으로 투과되도록 설계되었다. 모형실 험결과, Fig. 11과 같이 링 직경보다 입자가 작은 토사가 링네트에 도달하면 구조물은 토석류 흐름방향으로 미약한 변형만 발생하는 반면, 토석류가 링네트 배면에 퇴적 또는 링직경보다 크기가 큰 골재가 링네트에 충격하중을 전달한 이후부터 링네트는 탄성 늘음에 의해 토석류 거동을 구속하였다. 이와 같은 링네트 투과, 강연선 탄성변형으로 토석류 충격하중이 링네트에 가해지면서부터 링네트는 실험 전과 달리 배부름 형태로 변형되었다.
토석류 흐름거동에 의한 링네트 충격하중 평가
Fig. 12는 링네트 배면에 가해지는 토석류 충격하중을 구간별로 충격하중 -시간 그래프를 이용하여 나타낸 결과이다. 토석류는 흐름거동으로 링네트 배면 하부에 우선적으로 충격하중을 전달함에 따라 구조물 배면에 도달 후 구간별로 1초 이하의 시간차를 두고 링네트 하부구간에서 상부구간으로 충격하중을 전달하는 것으로 분석되었다. 모형실험결과, 링네트 배면에 작용하는 충격하중은 하부구간이 2.28 kN 으로 가장 크게 발생하며 중간구간은 1.95 kN, 상부구간은 1.49 kN으로 하부에서 상부로 갈수록 충격하중은 최대 34% 이상 감소하는 것으로 나타났다.
불투과형 사방댐 모형실험 결과
토석류 발생에 의한 불투과형 사방댐 거동특성 분석
Fig. 13은 토석류 충격하중에 의한 불투과형 사방댐 거동특성을 나타낸 것이다. 토석류의 흐름거동으로 충격하중은 링네트 결과에서 관찰되는 현상과 같이 사방댐 배면 하부구간에 우선적으로 전달되었다. 그러나 불투과형 사방댐은 구조물 전면으로 토석류 이동을 허용하지 않도록 설계되어 구조물에 충격하중 전달 후 토석류 체적변화가 없기 때문에 사방댐 배면에는 토석류 충격하중이 모두 전달되며 이 후 발생 전 체적만큼의 정지토압이 작용하였다.
토석류 흐름거동에 의한 불투과형 사방댐 충격하중 평가
Fig. 14는 토석류 거동에 의한 붙투과형 사방댐 구간별 충격하중 결과로서 링네트 실험결과와 같이 토석류는 흐름 거동과 충격하중 전달 후 사방댐 배면에 퇴적됨에 따라 충격하중은 약 1초 이하의 시간간격을 두고 하부에서 상부로 작용구간이 이동하는 것으로 나타났다. 충격하중은 하부구간에 최대 4.14 kN, 중간구간에 3.66 kN, 상부구간에 1.66 kN이 가해지는 것으로 분석되었다.
토석류 방지시설 충격하중 비교
Table 2은 불투과형 사방댐, 링네트 배면에 작용한 구간별 충격하중을 나타낸 것으로 입자투과여부, 충격하중에 의한 구조물 변형유무 등에 의해 링네트에 가해지는 충격하중이 사방댐 결과와 비교시 최대 45% 감소하는 것으로 분석되었다.
수치해석 기법을 이용한 토석류 방지시설 충격하중 흡수메커니즘 분석
개요
모형실험 결과, 토석류는 방지시설에 도달한 후 약 2초 이내에 충격하중을 구조물 배면에 전달한 뒤 퇴적되는 것으로 나타났다. 이와 같이 토석류 흐름거동으로 실험은 빠른 시간내에 종료되므로 육안관찰을 통해 토석류 충격하중에 의한 방지시설 거동을 분석하는 것은 상당한 어려움이 따른다. 본 연구에서는 수치해석적 기법을 적용하여 토석류 거동 및 토석류 충격하중에 의한 방지시설 거동·충격하중 흡수 메커니즘을 분석하였다.
본 연구에 사용된 해석코드는 유한요소해석 프로그램인 ABAQUS/CAE, Ver. 6.14 Standard/ Explicit 모듈을 이용하여 토석류 흐름과 방지시설을 모사하였다. 토석류 흐름 장치, 방지시설인 불투과형 사방댐, 링네트는 모형실험에 적용된 규격과 동일한 크기로 형상화하였다.
한편, 수치해석 수행시 모형실험에 사용된 실제 재료를 모사하기 위해서는 모형실험에 사용된 25.0 mm 입자의 총 체적이 0.12 m3이므로 약 2,138,463개의 토석류를 생성해야 하며 입자 형상을 각기 달리하여야한다. 수치해석 수행 전 입자 생성한계에 따른 해석 컴퓨터의 메모리 한계를 검토한 결과 5,000여개 이상의 입자를 생성하여 동해석을 수행할 경우, 메모리 부족에 따른 결과의 오류가 발생하는 것으로 검토되었다.
본 연구에서는 구성입자 비율을 모형실험과 동일한 2:2:1(표준사:잔골재:굵은골재)비로 적용, 입자수는 4.75 mm, 25.0 mm 크기 입자가 각각 1,880여개, 60.0 mm 입자는 940여개로 총 입자수를 4,700여개로 제한하여 수치해석을 수행하였다. 충격하중 발생에 따른 입자형상 변화는 발생하지 않는다고 가정, 각각의 입자는 원형 강성체로 모델링하였으며 모형방지시설은 reference point, 방지시설은 경강선과 연결한 후 끝 지점에 경계조건을 적용하여 구속하였다. Fig. 15는 토석류 흐름장치, 불투과형 사방댐, 링네트, 골재를 ABAQUS를 이용하여 형상화한 것이다.
불투과형 사방댐 충격하중 흡수 메커니즘
Fig. 16은 비탈면 기울기 40o에서의 토석류 거동과 불투 과형 사방댐 배면에 도달시간을 나타낸 결과로서 모형실험 결과와 같이 토석류는 흐름거동을 하며 실험시작 후 약 1.95초뒤(실험결과:1.58 초)에 사방댐 배면에 충격하중을 전달하는 것으로 해석되었다.
수치해석 결과를 토대로 불투과형 사방댐의 토석류 충격 하중 흡수메커니즘을 분석해보면, Fig. 17과 같이 토석류는 사방댐 배면 하부에 충격하중을 전달한 후 퇴적되는 것으로 해석되었다. 토석류 흐름거동은 실제 모형실험 결과와 유사하게 구조물 배면 하부에 충격하중을 전달 뒤에도 구조물 방향으로 실험 종료시까지 이동을 계속하였다. 이와 같은 토석류 거동특성으로 토석류는 해석초기 사방댐 배면에 퇴적된 토석류를 지나 구조물에 충격하중을 전달한 후 상부구간 에 퇴적되거나 전면에 퇴적된 토석류에 추가적 동하중을 전달한 후 사방댐 배면 상부구간으로의 입자이동을 유도한 뒤 배면에 퇴적되는 것으로 해석되었다.
수치해석 결과, 불투과형 사방댐은 두께 16 mm 강판으로 제작됨에 따라 토석류 충격하중이 구조물 배면에 가해지더라도 구조물 변형은 발생하지 않으며 토석류는 구조물 배면에 충격하중 전달 후 퇴적되는 것으로 해석되었다. Fig. 18 은 불투과형 사방댐 배면에 작용하는 토석류 충격하중, 토압 모식도를 나타낸 것으로서 흐름초기에는 사방댐 배면 하부구간에 동하중만이 작용한다. 사방댐은 동하중에 의한 구조물 거동이 발생하지 않기 때문에 토석류 충격에너지는 구조물에 흡수되고 이 후 토석류는 구조물 배면에 토압으로 하중을 전달한다. 토석류 흐름이 계속될수록 토석류 충격하중 작용구간은 토석류 퇴적으로 사방댐 배면 상부로 이동하며 토석류 흐름 종료 시에는 사방댐 배면에 더 이상의 동 하중이 가해지지 않고 정지토압만이 작용한다.
링네트 충격하중 흡수 메커니즘
Fig. 19는 토석류 충격하중에 의한 링네트 거동을 수치해석적 기법을 적용하여 나타낸 결과로서, 링네트는 각각의 링의 변형을 이용하여 충격하중을 흡수하므로 링네트 하부구간에 충격하중이 전달됨과 동시에 링네트는 토석류 흐름방향으로 변형되면서 충격하중을 구조체가 흡수하고 링 직경보다 입자가 작은 토석류 일부는 구조물 전면으로 투과 하는것으로 해석되었다. 해석이 계속될수록 링네트는 토석류 흐름방향을 따라 변형이 진행되며 해석 종료시에는 배부름형태의 변형이 발생하였다.
수치해석 결과를 이용한 토석류 방지시설 충격하중 비교
Fig. 20은 수치해석 기법을 이용한 토석류 방지시설 구간별 충격하중 결과로서 모형실험, 수치해석 모두에서 토석류에 의한 충격하중은 방지시설에 전달된 후 약 3초 뒤부터는 변화가 미약하므로 본 연구에서는 충격하중 발생 1초전, 발생 후 약 3초 후 결과를 제시하였다. 방지시설에 가해진 충격하중에 대한 수치해석 결과를 검토해보면, 사방댐은 하부구간 4.38 kN, 중간구간 3.32 kN, 상부구간 1.78 kN, 링네트는 구간별로 2.28 kN, 2.00 kN, 1.44 kN이 가해진 것으로 해석되었다. Table 3은 방지시설에 가해진 충격하중에 대한 구간별 모형실험결과와 수치해석 결과를 비교한 것으로서 모형실험결과 대비 수치해석에서 획득한 결과의 정확성은 90% 이상 일치하는 것으로 검토되었다.
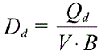
토석류 충격하중 제안식과 토석류 불투과형 사방댐 모형실험 결과 비교
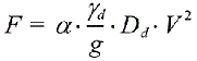
식 (1)은 일본 국토교통성에서 제시한 불투과형 사방댐 배면에 가해지는 토석류 충격력 예측 식으로서 본 연구에서는 제안된 식을 이용하여 사밤댐 배면에 가해지는 충격하을 검토하였다. 여기서, 토석류 단위중량 ϒd는 21 kN/m3, 흐름속도 V는 모형실험결과 모형실험장치 기울기가 40o일때 2.5 m/s~3.0 m/s 인 것으로 측정되었으며 토석류 횡단면에서 의 평균 수심으로 정의되는 토석류 수심 Dd는 식 (2)를 이용한 결과 0.1 m 로 계산되었다. 토석류 충격계수 α는 경험 상수로서 각각의 기관에서는 실험결과를 토대로 Table 4에 제시된 바와 같이 1.0~3.0의 결과를 제시하였다(VanDine, 1996; Lo, 2000; SWCB, 2005; MLR, 2006; NILIM, 2007; Hubl et al., 2017).
제안 식에 충격계수 중 널리 이용되는 1.0을 적용할 경우 사밤댐 배면에는 최대 1.93 kN의 충격하중이 작용하는 것으로 검토되었다. 모형실험결과 사방댐 배면에 작용한 최대 충격하중은 비탈면 경사 50o일 때 하부구간에서 4.14 kN으로 제안식을 이용한 사방댐 배면에 가해지는 충격하중은 모형 실험결과와 비교시 충격하중을 과소평가하는 것으로 검토되었다. 충격계수 α는 구성입자 성분에 따라 결정되는 경험상 수로서 구성성분 중 자갈성분이 많을수록 계수는 높은 경향을 보인다. 본 연구에 사용된 토석류와 같이 잔골재, 굵은 골재중량이 전체 구성비의 65% 이상을 차지하는 재료는 2.15를 적용할 경우 실제 모형실험 결과와 동일한 결과가 제시되는 것으로 계산되었다. 국내 토석류 발생현황을 고려한 충격계수 결정이 필요할 것으로 판단된다.
(1)
여기서,
: 단위폭당 토석류 충격력(kN/m)
: 토석류 단위중량으로 21 kN/m3 적용
: 토석류 흐름속도로서 3.0 m/s 적용
: 중력가속도로서 9.8 m/s2
: 토석류 충격력 계수(1~3)
: 토석류 흐름 깊이로서 0.10 m 적용
(2)
여기서,
: 토석류 수심
: 토석류 유량 0.3 t/m3 적용
: 토석류 흐름속도로서 3.0 m/s 적용
: 토석류 폭으로 1.0 m 적용
결 론
본 연구에서는 토석류 방지시설인 불투과형 사방댐과 링 네트에 대한 모형실험, 수치해석을 수행하였으며 제시된 결과를 토대로 두 구조물에 대한 성능평가, 충격하중 흡수 메커니즘을 분석하였다. 아래는 본 연구에서 제시되는 주요 결과를 요약한 것이다.
1. 본 연구에서는 토석류 방지시설 성능평가를 위해 토석류 흐름을 모사하는 토석류 흐름장치, 불투과형 사방댐, 링 네트 모형 구조물을 제작하였다. 강원도 토석류 발생구간에 대한 문헌검토 결과, 토석류는 발생부 길이, 경사가 각각 50m, 40o 구간에서 발생빈도가 가장 우세함에 따라 토석류 흐름장치 경사구간은 상사를 고려하여 1/10 크기로 제작하였으며 링네트 또한 실제 규격의 1/10 로 제작하여 실험을 수행하였다.
2. 축소모형실험 결과, 토석류는 유체와 유사한 흐름거동 을 하면서 경사부 하부로 이동함에 따라 불투과형 사방댐 배면에 가해지는 충격하중은 하부구간이 4.14 kN 로 가장 높게 작용하며 중간, 상부구간이 3.66 kN, 1.66 kN 가해지는 것으로 측정되었다. 링네트 실험결과 또한 불투과형 사방댐 결과와 같이 충격하중은 하부구간이 크며 상부로 갈수록 감소하는 경향을 보이지만 충격하중은 2.28 kN, 1.95 kN, 1.49 kN인 것으로 평가되었다.
3. 축소모형실험 분석결과, 불투과형 사방댐은 콘크리트 옹벽과 같이 구조물 자체의 강성을 이용하여 수평력에 저항 하므로 실제 구조물에 작용한 수평력은 이론식과 유사한 결과가 제시되는 반면, 링네트는 강연선 탄성 늘음과 네트 전 면으로의 입자 투과를 이용하므로 충격하중은 사방댐 결과 보다 최대 45% 감소하는 것으로 검토되었다.
4. 수치해석에서 제시된 모형방지시설 배면에 가해진 충격하중을 검토해보면, 실제 모형실험 결과와 정확성이 90% 이상 유사한 것으로 평가되었다. 반면에 기존 제안식을 이 용하여 충격하중을 추정해보면, 실제 실험결과와 편차가 큰 것을 확인할 수 있으며 본 모형실험 결과에서 제시된 최대 충격하중 4.14 kN을 획득하기 위해서는 충격계수는 2.15가 적용되어야 한다. 국내 토석류 발생현황을 고려한 충격계수 결정이 필요할 것으로 판단된다.
























