서론
양산단층대를 포함하고 있는 경상분지에 대해서는 지층들과 이들의 퇴적환경 규명을 위한 지질학적, 층서고생물학적, 퇴적학적 연구와 이에 따른 분지형성 모델에 대한 많은 연구가 수행되어 왔다(Chang, 1975; Chang, 1992; Kim, 1992). 양산단층에 대한 선행연구는 주로 지질분포, 단층운동, 고지진, 제4기 단층 등의 암석학적 및 구조지질학적 연구와 전기 ‧ 전자탐사, 지표탄성파탐사, 중력탐사, 자력탐사 등의 지구물리학적 연구가 단일분야에서 단속적으로 이루어졌다. Tateiwa (1929)는 최초로 왜관, 대구, 영천, 경주 지역의 지질조사를 통해 경상분지 경상누층군을 하부로부터 낙동통, 신라통, 불국사통으로 구분하였다. 1962년부터는 국립지질조사소에 의해 순차적으로 지질도폭조사가 수행되었다. Chang (1975)은 Tateiwa (1929)의 자료를 참고로 하여 지질연대와 암석특성에 따라 경상분지 내 층서단위를 하부로부터 신동층군, 하양층군, 유천층군으로 재분류하였다. 양산단층의 지질구조 특성에 관해서는 광역적인 연구와 단층 발달지역 내 주 단층의 정밀조사를 통한 기하학적 및 운동학적 특성 및 응력장 연구 등 다양한 연구들이 수행된 바 있다(Kim, 1988; Chang and Chang, 1998; Chang, 2001; Ryoo et al., 2002; Kang and Ryoo, 2009; Choi et al., 2009; Han, 2012).
기존의 물리탐사에 의한 양산단층에 대한 연구는 단층대 노출 구간의 전기비저항 탐사를 통하여 단층대와 전기비저항 값을 비교 ‧ 분석하는 연구가 주를 이루고 있다. Kim and Kim (1983)은 수직 및 수평 전기탐사를 통하여 단층의 방향 및 파쇄대를 해석하였다. Kim and Lee (1988)는 파쇄대 규모와 단층면의 위치에 대한 지질 및 전기탐사 연구를 수행하였고, Lee and Han (1999)은 전기비저항 탐사를 통하여 경주 부근 양산단층 지역을 연구하였다. Kyuong et al. (1999)은 양산단층 남부 일부 지역에서 제4기 단층을 보고한 바 있다. 그러나, 양산단층대 남부지역인 언양-통도사 지역에는 양산단층곡을 따라 제4기의 충적층이 넓게 덮고 있으므로, 단층곡을 가로지르는 하천바닥에서 관찰되는 일부 단층대의 노두만으로는 양산단층대의 정확한 지하 발달양상과 이에 기초한 단층대의 발달특성 해석이 어렵다. 따라서 제4기층 아래에 발달하는 양산단층의 기하학적인 특징을 정확하게 파악하기 위해서는 양산단층이 피복되어 있을 것으로 예상되는 지역에 대한 정밀한 물리탐사의 필요성이 제기되어 왔다.
연구지역은 울산광역시 울주군 두동면, 언양읍, 삼남면을 포함하며, 북위 35°30'55", 동경 129°05'00"와 북위 35°37'50", 동경 129°12'40"의 범위이며, 지질학적으로는 경상분지 남부의 울주군 두서-상천 지역은 양산단층대를 포함한다. 연구지역은 야외조사 및 지질구조 조사에 근거한 지질분포, 지형, 단층특성 등에 의해서 북쪽에서 남쪽으로 가면서 1, 2, 3, 4 영역으로 구분하였다(Fig. 1). 본 연구의 야외지질조사에서는 영역별로 양산단층대의 분포, 발달양상과 단층핵 구간 및 이를 중심으로 발달하는 단층 손상대의 기하학적 발달 특성을 파악하고자 하였다. 또한 측선을 상세하게 설정하여 2차원 전기비저항 탐사를 실시하고, 야외 지질조사와 전기비저항탐사 결과를 종합하여 양산단층의 위치, 발달양상 및 단층핵 구간과 이를 중심으로 발달하는 단층 손상대의 지하 발달 특성을 파악하고자 하였다. 아울러 서 삼남, 상천 일원의 산지를 제외한 충적지에 대한 미지형 고도 측량을 실시하여 단층대와 지형적 변위의 유사성과 특성을 파악하고자 하였다.
연구방법
미지형 측량
GPS 위성측위 기술을 이용한 미지형측량은 미소한 지형변위를 알아내는 방법이다. GPS 위성측위의 실시간 동적측위(RTK, Real Time Kinematic)방식은 단일 또는 다중 기준국(reference station)의 기준좌표와 단일 또는 다중 이동국(rover)의 좌표 차이를 계산하여 이동국의 상대적인 위 치 좌표를 결정한다(Retscher, 2002). 본 연구에서는 좀 더 진보된 다중 가상 기준점(VRS, virtual reference station)의 실시간 동적측위 방식을 적용하였으며, 스마트폰을 양 방향 송신장치로 이용하였다. 실시간 동적측위 방식은 신속한 위 치 측위가 가능하고 수 cm 단위까지의 정확도를 가진다. 또 한, 좌표의 정확성을 기하기 위하여 정적측위도 함께 구하 였다. 다중 가상 기준점은 국토지리정보원에서 제공된다(NGII, 2003). 본 연구에는 SOKKIA 사의 미지형 측량장비(모델 VRS-RTK GPS)를 사용하였다.
위성 j와 시간에 따른 변하는 이동국 B 간의 거리 pjB(t)는 (1)식과 같고, pjB(t)로 부터 동적측위를 구할 수 있다(Retscher, 2002).
(1)
여기서, Xj(t), Yj(t), Zj(t)는 시점 t에 위성까지의 벡터성분이고, XB, YB, ZB는 이동국 B의 좌표를 나타낸다. 한편, 위성 j와 시간에 따라 변하지 않는 이동국 B 간의 거리 pjB(t)는 (2)식과 같고, 이로부터 정적측위를 구하게 된다(Hofmann et al. 2009).
(2)
전기비저항탐사
전기비저항탐사는 가장 널리 사용되는 물리탐사 중의 한 종류로서 한 쌍의 전류전극(C1, C2)을 통하여 지하에 직류 또는 저주파수 교류 전류를 흘려보내고 다른 한 쌍의 전위전극(P1, P2)에서 전위차를 측정하여 지하의 전기비저항 분포를 알아내는 방법이다. 지층의 전기비저항은 암석의 공극율, 공극수의 전기전도도, 암석의 종류, 지질구조(단층 파쇄대, 균열대 등), 풍화도, 온도 등에 좌우된다. 전기비저항탐사는 지층의 구조, 지하수의 부존상태, 오염물질의 분포, 지하자원 부존상태, 지하공동의 위치, 단층과 균열대 발달 유무, 유적지 탐사 등에 널리 사용된다. 전기비저항(ρ)는 전위 차(∆V)에 비례하고 전류(I)에 반비례하며 (3)식과 같다.
(3)
여기서, G는 거리계수(geometric factor)라고 하며, 전류 전극과 전위 전극 사이의 거리로 계산되는 상수이다.
전기비저항탐사에는 탐사 환경과 조건에 따라 여러 가지 전극 배열을 적용한다. 본 연구에서는 수직탐사와 수평탐사가 동시에 가능한 쌍극자 전극 배열법의 전기비저항탐사를 적용하였다. 쌍극자 배열법은 지표면 아래 대상 단면의 특징적인 지하구조와 그 연속성을 전기비저항 분포의 2차원 단면으로 해석할 수 있다(Park and Kim, 1994). 전기비저항탐사에서 획득된 겉보기 비저항 값은 암석의 전기비저항을 나타내는 것이 아니며 측정된 지점의 전기비저항 값을 대표하는 진 심도를 의미하지 않는다. 그러므로, 겉보기 비저항 값으로부터 지하의 참 전기비저항 값을 구하기 위해서는 Dipro Ver. 4.0의 유한요소법 역산(inversion)으로 수치모델링을 실시하였다. 본 연구에서 사용한 전기비저항탐사 장비는 Super-Sting R1과 56ch Switch Box (AGI Inc.)이다.
지질 특성
일반지질
경상분지에는 주로 백악기의 경상누층군에 속하는 육성기 원 퇴적암류가 광범위하게 분포하며 후기 백악기의 화성활동에 의한 중성 및 산성 화산암류와 불국사 관입암류가 산재한다. 경상분지 남부에 속하는 연구지역은 양산단층대를 중심으로 서편에는 유천층군 안산암류와 불국사 화성활동의 산물인 언양화강암이 분포하며, 동편에는 경상누층군에 속하는 하양층군 퇴적암류와 규장암이 우세하다. 그리고 이들 암석을 제4기 충적층이 부정합으로 덮고 있다(Fig. 2).
하양층군 퇴적암류는 Lee and Kang (1964)에 의해 양산도폭에서 대양동층으로, Lee and Lee (1972)에 의해 언양도폭에서 함안층과 대구층으로 분류되었으며, Choi et al. (1980)와 Chang (1992)에 의해서 퇴적암류 층서가 대비된 바 있다. 언양에서 경주지역으로 가면서 하양층군 퇴적암류는 점이적인 암상변화를 보이면서, 주로 적색, 자주색, 녹회색, 암회색, 회색 등의 실트스톤, 사암, 역질 실트스톤, 역질 사암, 역질 셰일 및 셰일로 구성되며 부분적으로는 역암이 나타난다(Chang, 1992).
백악기 화산암류인 유천층군은 경상누층군의 최상위에 위치하며 하위의 하양층군을 경사부정합으로 피복한다. 유천 층군 암석들은 주로 연구지역의 서편에 분포하며, 안산암질암류, 데사이트 등으로 구성된다. 안산암질암류는 각력질 안산반암, 안산반암, 안산암 및 응회각력암, 라필리응회암 및 응회암 등으로 나타나며, 부분적으로는 유리질의 데사이트 질 암상을 보이기도 한다(Lee and Lee, 1972).
불국사 화성암류는 양산단층의 동편과 서편에 분포한다. 불국사 화성암류는 주로 흑운모 화강암으로 구성되고, 화강섬록암, 반암류, 암맥 등을 포함하며, 여러 지역에서 퇴적암류와 화산암류를 관입하고 있다. 불국사 화성암류의 주 구성광물은 석영, 사장석, 알칼리장석(대부분 정장석이나 퍼사이트질 정장석)이고, 백운모와 석류석은 나타나지 않는다. 불국사화강암은 유천층군 화산암류로 가까이 갈수록 열에 의해 광물입자가 중립질 내지 세립질로 작아진다(Lee and Lee, 1972). 연구지역의 제4기의 충적층은 주로 태화강 상류의 강변 퇴적층과 언양 상천, 삼남 일대 및 계곡부에 하상 퇴적층 형태로 소규모로 분포한다.
1 영역은 자색 내지 적색셰일 및 사암이 우세하고 양산단층 중심부에서 녹회색 내지 담회색 셰일이 협재되어 분포한다. 또한 유천층군 안산암이 북서쪽에 분포하고 불국사 화성암류인 언양화강암은 두서 남쪽에 분포하며 양산단층 서편인접부에 석영반암이 대상으로 분포한다. 2 영역은 녹회색 내지 담회색 셰일이 우세하고, 일부 적색 내지 자색셰일이 협재되고 언양휴게소 주변에는 안산암이 분포한다. 3 영역에는 회색, 자색 내지 적색 사암 및 셰일이 분포하고, 규장암이 퇴적암류를 관입하고 있다. 4 영역은 양산단층을 기준으로 서쪽 지역에는 안산암류와 화강암류가 그리고 동쪽지역에는 안산암류와 하양층군에 속하는 퇴적암이 분포한다.
지질구조
경상분지의 남부 일대에는 북북동-남남서 방향의 양산단층이 발달하며, 양산단층의 동편에 동래단층과 일광단층, 서편에는 모량단층, 밀양단층, 자인단층 등이 발달하고 있다(Fig. 3). 양산단층대 중에서 경주를 중심으로 북쪽 구간에서는 퇴적암의 층리가 북서, 서 그리고 남서 방향으로 경사져 있으며, 남쪽 구간에서는 지층이 서, 남서 그리고 남으로 경사져 있어 남쪽과 북쪽이 서로 다른 양상이다(Chang, 2001). 이는 언양도폭(Lee and Lee, 1972)과 모량도폭(Kim et al., 1971)에서도 확인된다. 본 야외지질조사에 의하면, 양산단층대 서편 경주지역 퇴적암류는 서쪽 방향(10°/N88°W)으로 그리고 양산단층대 동편 언양지역 퇴적암류는 남서쪽(9°/S68°W)으로 각각 10° 내외의 저각으로 서로 반대 방향으로 침강하는 습곡축을 갖는 완만한 습곡을 보이며, 양산단층대 주변에서 퇴적암의 층리면의 주향, 경사가 다양하게 나타난다. Chang (2001)에 의하면, 양산단층대 주변 퇴적암의 다양한 층리면의 주향, 경사가 양산단층의 주향이동으로 인해서 형성된 단층예인(fault drag)이라기보다는, 서로 다른 지질시대의 양산단층 응력체계에 의한 다중변형의 결과로 보았다. 따라서 양산단층대는 지질시대에 따라 다중변형을 받았던 것으로 판단된다.
연구지역 내에서 양산단층대와 지형의 특성을 살펴보면, 지형상으로는 남부에서 북부로 갈수록 단층곡이 발달하는 경향을 보이고 있다. 영역별로 보면, 단층곡은 3, 4 영역보다 1, 2 영역에서 더 잘 나타나고 있으며, 암상은 1 영역에서 4 영역으로 갈수록 단순화되는 경향을 보인다. 퇴적암 층리면의 주향은 1 영역에서는 대체로 북북동-남남서 내지 북동-남서 방향, 2 영역에서는 북북동-남남서 방향과 북서 남동 방향, 3 영역에서는 북북동-남남서 방향, 북동-남서 방향, 북서-남동 방향, 그리고 4 영역에서는 북북동-남남서 방향이 우세하다.
지구물리탐사 결과
미지형 측량
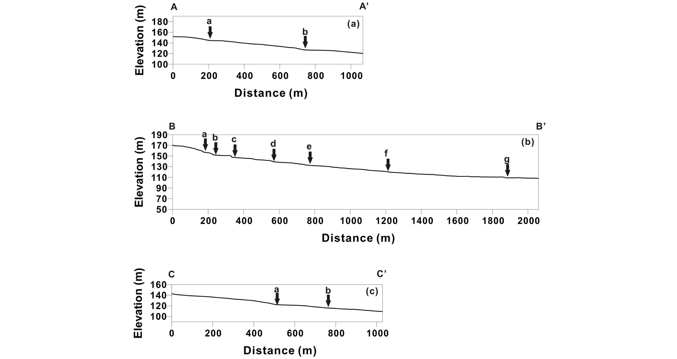
양산단층과 같은 대규모 단층이 오랜 시간 반복적인 단층운동을 할 경우 노두에서 뿐만 아니라 지층을 피복하고 있는 충적층에서도 단층운동의 영향에 의한 미지형 변위가 나타나는지를 확인하기 위하여 미지형 측량을 실시하였다. 미지형 측량은 양산단층을 횡단하여 실시하였으며, 도로를 제외하고 지형 훼손이 비교적 적은 충적층 발달 지역인 상천천의 북쪽과 남쪽 지역 3개 단면(A-A', B-B', C-C')에서 실시하였다(Fig. 4). A-A'단면(측량거리 1,068 m)에서는 107 측점, B-B' 단면(측량거리 2,059 m)에서는 215 측점, 그리고 C-C' 단면(측량거리 1,028 m)에서는 106 측점 자료를 획득하였다.
상천천 남쪽의 A-A' 단면은 최소 고도가 120.26 m, 최대 고도가 151.67 m로 고도 차이는 31.41 m이다. 시점부에서 측선거리 약 250 m까지는 화강암 구간으로 비교적 고도 차이가 심하게 나타나며, 측선거리 약 250 m 이상의 퇴적암 영역에서는 비교적 작은 고도 차를 보인다. 두 지점(a, b)에서 지형 구배가 변화하며, a 지점은 화강암과 퇴적암의 경계부이고, b 지점은 양산단층대 경계로 추정된다(Fig. 5).
상천천을 따른 측선인 B-B' 단면은 최소 고도가 108.19 m, 최대 고도가 170.69 m로 고도 차이는 62.5 m이다. 시점부에서 중앙부까지는 화강암 구간으로 비교적 고도차이가 심하게 나타나며, 중앙부부터 종점부의 퇴적암 구간은 비교적 고도차가 작다. 지형구배 변화는 7개 지점(a~g)에서 나타났으며, a, b, c 지점은 선상지 말단부 영역의 양산단층대, d, e 지점은 화강암 영역의 양산단층대, f, g 지점은 육안으로 확인된 양산단층대에 속한다(Fig. 5). 상천천 북쪽의 C-C' 단면은 최소 고도가 109.27 m, 최대 고도가 142.69 m로 고도 차이는 33.42 m이며, 서고동저의 지형을 보이고 있다. 두 지점(a, b)에서 지형구배가 변화하며, 이들 지점은 B-B' 단면의 f, g 지점의 연장부로 추정된다(Fig. 5).
전기비저항탐사 해석
1과 2 영역 주변은 도로와 주거지 등으로 전기비저항탐사 측선 전개의 한계가 있어 3, 4 영역에서만 전기비저항탐사를 실시하였다. 전기비저항탐사 측선의 전개는 경부고속도로와 도로를 지나갈 수 있는 구간을 선정하였으며, 양산단층대 방향이 북북동 방향임을 감안하여 이에 수직이 될 수 있는 경작지 또는 도로를 이용하였다. 측선 전개 시 측선방향은 서북서-동남동 내지 동-서 방향으로 하였고, 전극 간격은 20 m로 하였다. 전극의 전개수는 n=8, 가탐심도는 100 m, 주입 전류는 50 mA 이상으로 설정하였다.
3 영역
3 영역에서는 양산단층대 주변의 전기비저항 분포 영상과 연장성 여부를 확인하고자 400~1,000 m 연장의 13개(D31~D3-13)의 측선들을 평행하게 설치하였다(Fig. 6). 측선 방향은 양산단층 방향과 직각으로 서북서 방향으로 설정하였다. 전기비저항 이상대는 대체로 북동 방향으로 평행하게 연장되는데 이는 양산단층대가 단일한 단층이 아니고, 최소 3~4매의 단층점토와 파쇄대가 복합적으로 형성된 단층임을 지시한다. Kyung et al.(1999)에 의하면, 양산단층 남부 상천리 일대에서 큰 폭의 양산단층대에 의해서 22~63 ohm-m의 저 비저항 값이 나타나는 것으로 해석하였다.
측선 D3-1과 D3-2에서는 양산단층대의 단층점토에 의해서 40 ohm-m 이하의 고각의 저 비저항대가 확인된다. 측선 150 m 이상에서 나타나는 저 비저항대는 양산단층대내에 발달된 파쇄대와 단층점토대로 추정된다(Fig. 6). 경부고속도로의 서편에 위치하는 D3-3에서는 지표부근에서 나타나는 500 ohm-m 이상의 고 비저항대는 충적층의 영향으로 판단되고 심부의 저 비저항대는 양산단층대의 단층파쇄대와 단층점토대로 해석된다(Fig. 6). 경부고속도로의 동편의 D3-4에서는 고속도로 인접부에서 지표부에서 500 ohm-m 이상 고 비저항대가 나타나며, 이는 측선 D3-3에서와 마찬가지로 층적층의 영향으로 판단된다(Fig. 6). 경사진 또는 고각의 저 비저항대는 양산단층대 내부에 발달하는 경사진 또는 고각의 단층점토대를 시사한다.
측선 D3-5, D3-6에서 나타나는 3~4조의 폭 20~60 m의 40 ohm-m 이하의 저 비저항대는 양산단층대 내부의 고각의 단층점토대와 파쇄대를 지시한다(Fig. 6). 경부고속도로 동편에 위치하는 측선 D3-7에서는 40~240, 420, 540 m 측선 구간에서 확인되는 40 ohm-m 이하의 고각의 저 비저항대는 양산단층대 내부에 발달하는 단층점토대와 파쇄대로 판단된다. 경부고속도로 서편에 위치하는 측선 D3-8에서 측선구간 220~320 m에서 경사진 저 비저항대가 나타난다. 측선 D38에서 측선구간 220~320 m과 D3-11의 측선구간 40~160 m은 서로 연결되며, 양산단층대의 주방향인 북동방향과 동일한 방향성을 보인다(Fig. 6).
측선 D3-10의 80~400 m 구간의 저 비저항대(40 ohm-m 이하)가 넓게 나타나고 있으며, 이는 양산단층대 내부의 약 20~60 m 폭의 단층핵과 단층손상대를 시사한다(Fig. 6). 고속도로 서편의 화강암체에 위치하는 측선 D3-11에서는 양산단층대의 저 비저항대의 폭이 퇴적암지역보다 상대적으로 작게 나타난다. 한편, 경부고속도로 동쪽의 퇴적암 지역에 위치하는 측선 D3-12와 D3-13에서는 고각의 저 비저항대(40 ohm-m 이하)가 뚜렷하게 나타난다. 이는 양달마을의 트렌치 단층조사에서 확인된 단층대와 거의 일치한다(Kyung, 2003).
심도 30, 50, 70 m 전기비저항탐사 평면도에서는 대체로 저 비저항대들이 북북동 방향으로 평행하게 연장된다(Fig. 7). 또한, 화강암지역에서는 저 비저항대 폭이 좁게 나타나고 퇴적암류 지역에서는 저 비저항대의 폭이 넓게 나타나는 특징을 보인다.
4 영역
4 영역에서는 대체로 동서로 평행한 560~1,460 m 길이의 8개(D4-1~D4-8) 측선들에 대해서 전기비저항탐사를 수행하였다(Fig. 8). 상천천 주변 이들 측선의 단면도와 평면도의 전기비저항 해석결과, 수조의 저 비저항대들이 대체로 북북동 내지 북동방향으로 평행하게 발달한다. 이는 양산단층이 북북동 방향의 단층으로서 지질시대에 따라 응력장의 변화에 따라 운동형태가 변화되었으며, 전체구간에서 불규칙한 단층 폭의 발달과 함께 단층핵과 손상대가 매우 불규칙한 양상을 보임을 지시한다.
측선 D4-1과 D4-2에서는 대체로 40 ohm-m 이하의 경사진 또는 고각의 저 비저항대가 확인되며, 이는 양산단층대 내부의 단층점토대 구간으로 판단된다(Fig. 8). 폭이 최소 100 m 이상의 저 비저항대(20 ohm-m 이하)는 양산단층대의 단층핵에 해당하며, 폭 40 m의 40 ohm-m의 비저항대가 단층핵 주변부에 분포한다.
측선 D4-3에서는 중앙부에 나타나는 폭 150 m 이상의 고각의 저 비저항대(40 ohm-m 이하)는 양산단층대의 주 손상대에 해당하며, 주 손상대 내에서는 퇴적암 층리의 경사 각이 고각으로 나타난다. 측선 D4-4에서는 3개 구간(측점 140 m 부근, 260~280 m, 340~420 m)에서 고각의 저 비저항대가 확인된다. 이 저 비항대는 측선 D4-3의 저 비저항대와 연결되는 것으로 판단된다.
상천천을 따라 실시한 측선 D4-5에서는 측선거리 약 540 m 까지인 화강암 분포지역에서는 고각의 저 비저항대(40 ohm-m 이하) 2개가 확인되고, 540 m 이상의 퇴적암 분포지 역에서는 고각의 저 비저항대(40 ohm-m 이하) 5개가 확인 된다(Fig. 8). 이 고각의 저 비저항대는 대체로 남북내지 북북동 방향을 보이며, 상천천 바닥에서 확인되는 양산단층의 주 방향과 일치한다. 측선 1,240 m에서 나타나는 저 비저항대와 고 비저항대의 경계는 양산단층대과 퇴적암의 경계로 판단된다.
측선 D4-6에서는 측점 120 m, 380~400 m 구간에서 80° 내외의 경사의 저 비저항대가 확인되며, 이는 화강암류 내부차단층(subsidiary fault) 으로 판단된다. 또한 측점 520 m 지점의 수직 저비저항대는 양산단층대의 주 단층파쇄대로 판단된다. 측선 D4-7의 해석결과 중앙부 일대의 40 ohm-m 이하의 저비저항 이상대는 양산단층대의 연장선상으로 발달하는 이상대로 판단된다(Fig. 8).
측선 D4-8에서 220~540 m 구간의 넓은 저 비저항대는 화강암과 퇴적암의 경계부에 해당한다. 740~900 m 구간의 북북동 방향으로 발달하는 고각의 저 비저항대는 퇴적암 지역으로서 양산단층대의 주 손상대로서 단층점토대와 단층파 쇄대가 교호하는 구간으로 추정된다.
심도 30 m 전기비저항탐사 평면도에서는 대체로 저 비저항대들이 북북동 방향으로 평행하게 연장된다(Fig. 9). 심도 50 m 전기비저항탐사 평면도에서는 이상대의 주 방향이 북북동 방향과 남북 방향으로 연장된다. 심도 70 m 전기비저항탐사 평면도에서는 이상대의 주 방향이 북북서, 북북동 방향과 남북 방향으로 연장된다.
4 영역에서 측선 D4-3, 측선 D4-5, 측선 D4-6/D4-7은 각각 미지형 측량 단면도의 A-A', B-B', C-C'에 해당한다. 미지형 측량 단면도와 전기비저항탐사 측선을 비교하면, 양산단층대의 미지형 측량 구배 변화지점과 저 전기비저항대가 서로 잘 일치하는 것으로 나타났다.
결론
본 연구에서는 경상분지 남부 울주군 두서-상천 지역(1~4 영역) 양산단층대의 야외지질조사, 전기비저항탐사 및 미지형 측량을 통하여 양산단층대의 분포, 발달양상 및 단층핵 구간과 단층 손상대의 지하 발달 특성을 파악하였다. 영역 별로 1 영역은 퇴적암류, 석영반암, 2 영역은 퇴적암류, 안산암, 3 영역은 퇴적암류, 규장암, 4 영역은 퇴적암류, 안산 암류, 화강암류가 주로 분포하고 있다. 단층곡은 지형적으로 3, 4 영역보다 1, 2 영역에서 더 뚜렷하게 나타나고 있다. 층리면의 주향은 1 영역에서는 대체로 북북동-남남서 방향 내지 북동-남서 방향, 2 영역에서는 북북동-남남서 방향과 북서-남동 방향, 3 영역에서는 북북동-남남서 방향, 북동-남서 방향, 북서-남동 방향, 4 영역에서는 북북동-남남서 방향이 우세하다. 야외지질조사에 의하면, 다양한 단층 폭을 가지는 단층핵과 손상대가 나타난다.
전기비저항탐사 결과, 3 영역의 측선 D3-1과 D3-2에서 나타나는 주로 40 ohm-m 이하의 수직적인 저 비저항대는 양산단층대의 단층점토 발달 구간으로 판단된다. 3 영역의 전기비저항탐사의 심도 50 m 평면도에서는 이상대가 주로 북북동 방향 내지 북동 방향으로 연장된다. 화강암류 이상대의 폭은 좁게 나타나고 퇴적암류의 이상대 폭은 넓게 나타난다. 심도 70 m 평면도에서는 전기비저항 이상대가 대체로 북북동 방향과 북동 방향으로 연장된다. 화강암 지역의 저 전기비저항대 폭은 좁게 나타나는 반면에, 퇴적암 지역의 저 전기비저항대 폭은 넓게 나타난다. 4 영역의 전기비 저항탐사 결과, 상천천 주변에서 심도별 전기비저항이상대 들이 대체로 북북동 내지 북동방향으로 평행하게 발달한다. 또한 양산단층대의 저 전기비저항대와 미지형 측량 구배 변화지점이 서로 잘 일치하는 것으로 나타났다.
미지형 측량, 야외 지질조사, 전기비저항탐사에 의하면, 양산단층대가 하나의 단층핵과 파쇄대로 구성된 것이 아니고, 최소 3~5매의 단층핵, 단층 손상대와 파쇄대로 구성된 다중 지각변형의 산물임이 밝혀졌다.











