서 론
지구에서 가장 높은 농도의 자연 방사성 원소는 대륙지각에서 나타난다. 암석 내 방사성 원소의 상대적 분포는 암석의 조성, 변성도, 연령, 성인 등에 관련된다. 암석의 자연 방사능(radioactivity)은 화성활동, 텍토닉스, 퇴적작용, 침식 및 풍화작용과 같은 광역적 지질작용에 대한 정보를 알려준다(Dickin, 2005; Kim, 2020). 대륙의 지표면에는 지각 내 방사성 원소의 붕괴로 인한 막대한 열이 공급되기 때문에 암석 내 자연 방사성 원소에 관한 연구는 지구 지열 분포에 대한 이해 및 모델링 수립에 가장 기초적인 단계이다(Rudlang, 2011; Maystrenko et al., 2014). 방사성 원소 중 우라늄과 토륨은 에너지 자원으로서 경제적 관심을 끌기도 하지만 원소 자체의 독성과 원소 붕괴 시 방출되는 방사성 가스의 잠재적 위해성으로 인해 보건적 관심을 끌기도 한다(Smethurst et al., 2008). 영국의 방사성 규제(IRR, 1985)에 의하면, Th의 공기 중 규제치가 U보다 20배나 낮아 Th이 U보다 더 유해하다고 알려져 있다.
암석 내 자연 방사성 원소 및 광물에 관한 국내 연구에는 경제적 관점의 자원지질학 연구와 보건적 관점의 환경지질학적 연구가 있다. 자원지질학적 측면에서는 옥천대 지역에서 탄질 셰일과 관련된 우라늄 광상에 관한 연구(Yun, 1984; Lee and Kim, 1985; Jeong, 2006; Shin and Kim, 2011)와 계명산층 페그마타이트에 수반되는 U-Th 광상에 관한 연구가 있다(Park and Kim, 1998; You et al., 2012). 환경지질학적 측면에서는 고준위 방사성 폐기물의 화강암반 내에 심층처분 시 방사성 핵종의 장기 거동 특성 이해를 위한 화강암 내 U-Th 함유광물에 대한 연구가 있다(Lee and Baik, 2007; Cho et al., 2017). 또한 지하수 내 방사성 물질의 기원 규명을 위해 중생대 쥐라기 화강암 내 방사성 원소 함유 광물들의 산출상태와 광물학적 정보에 관한 연구가 있다(Choo, 2002; Jeong et al., 2011, 2012; Hwang, 2013; Hwang et al., 2014).
최근 국내에서는 생활용품이나 건축자재, 토양과 지하수 등에서 검출된 자연 방사성 물질로 인해 사회적으로 다양한 문제가 발생하고 있다. 이들 자연 방사성 물질의 기원은 암석의 특성이나 성인, 그리고 암석 내 방사성 광물의 특성과 같은 광물-암석학적 요인들과 밀접한 상관관계가 있을 것으로 추정되고 있어 심성암류에 대한 방사성 원소 특성에 관한 연구가 수행되고 있다(Kim, 2020; Hwang and Moon, 2021). 고함량의 자연 방사성 물질이 포함되는 국내 지하수의 대부분은 화성암 중에서도 화강암질 조성의 중생대 화성암과 변성암에 집중되어 산출된다(NIER, 2010). 특히, 중생대 화강암류 지역은 고함량 방사성 물질 지하수가 집중적으로 산출되고 있다. 이들 지역은 해당 주민들의 생활환경에 대한 오염원으로 우려되고 있다. 현재까지 중생대 쥐라기 화강암 내 방사성 원소 및 광물에 관한 연구는 전술한 바와 같이 일부 수행된 바 있으나 중생대 백악기 화강암에 관한 관련 연구는 매우 부족한 실정이다. 화강암이 지하수 내 자연 방사성 물질의 공급원이 되기 위해서는 암석 내 방사성 원소 함량이 높아야 하고, 방사성 원소를 포함하는 방사성 광물의 용해성이 높아야 한다(Hwang and Moon, 2021). 화강암에서 상당량의 방사성 원소를 포함하는 부성분 광물들은 지하 유체에 대해 불용성인 경우가 많다. 따라서 화강암 대수층에서 자연 방사성 물질 기원 규명을 위해서는 방사성 원소를 주로 포함하고 있는 광물에 대한 규명이 매우 중요하다. 이 연구에서는 중부 옥천대 백악기 화강암의 방사성 광물의 산출상태와 화학조성, 그리고 화강암 내 방사성 원소의 지구화학적 특성을 고찰하였다. 이 연구 결과는 백악기 화강암 지역에서 토양과 지하수에서 산출되는 자연 방사성 물질의 기원 규명에 중요한 기초자료를 제공할 것이다.
지질 개요
연구지역의 지질은 선캄브리아 시대의 기반암과 고생대 및 중생대의 퇴적암류, 그리고 이들을 관입한 화성암류로 구성되어 있다(Fig. 1). 편암 및 편마암으로 구성된 선캄브리아 시대의 기반암은 연구지역 동부에 분포하고, 조선누층군의 탄산염암 및 옥천누층군의 이질 퇴적암류로 구성된 고생대의 퇴적암층은 연구지역의 중앙에 분포한다. 이들 상부에 고생대 말-중생대 초의 평안누층군이 부정합으로 피복하여 분포한다. 화성암류는 대동누층군을 관입한 쥐라기 화강암류, 쥐라기 화강암류를 관입한 백악기의 화강암류, 그리고 이들을 피복한 백악기 화산암류로 구성된다.
옥천대에는 쥐라기 화강암이 비교적 넓게 분포하지만, 옥천대 중부지역인 연구지역에는 월악산 화강암과 속리산 화강암이 분포하는데 이들은 Rb-Sr 전암 절대연령이 각각 89 Ma, 94 Ma인 백악기 화강암이다(Lee et al., 2010). 이들 두 화강암은 조선누층군을 관입한 저반으로 산출되며, 월악산 화강암은 암체의 동측부에서 선캄브리아 시대 기반암을 관입하였다. 월악산과 속리산 화강암은 주로 홍색의 암색으로 관찰되며, 암상은 주로 중-조립질이나 북측의 관입 경계부에서 일부는 세립질로 산출된다. 두 화강암에는 천부에 관입한 화강암의 특성인 공동구조(miarolitic texture)가 잘 관찰된다. 속리산 화강암은 주로 홍색의 흑운모 화강암으로 구성되며 북부에는 세립질 반상 화강암이 일부 산출된다. 월악산 화강암은 흑운모 화강암과 흑운모-각섬석 화강암으로 주로 구성된다. 흑운모 화강암은 속리산 화강암과 광물 구성이 유사하고 흑운모-각섬석은 화강암체의 동측부에서 일부 산출된다. 두 화강암은 연구지역 중앙부에서 서로 연결된다. 두 화강암의 주 구성 광물은 석영, 알칼리 장석, 사장석, 흑운모 등이며, 부성분 광물은 저어콘, 모나자이트, 제노타임이다. 불투명 광물은 자철적, 적철석, 티탄철석 등으로 구성된다. 월악산과 속리산 화강암에 대한 XRD 분석 결과, 두 화강암의 광물 구성 비는 서로 유사하며, 석영 27~42%, 알칼리장석 22~31%, 사장석 29~40%, 흑운모 1~10%로 나타났다. 두 화강암의 광물 조성은 QAP-삼각도(Streckeisen, 1976)에서 화강암 영역에 도시되며, 사장석이 알칼리장석보다 조금 높은 구성비를 보인다(Fig. 2).

Fig. 1.
Geological and map of the Weolaksan and Sokrisan area showing sample loacatons(after Kim et al., 1967; Lee and Kim, 1972; Lee and Park, 1965; Won and Lee, 1967).
연구방법
화강암 내 방사성 광물의 특성 연구를 위하여 연마 박편을 제작하여 편광 현미경에서 광물 구성과 조직에 관한 관찰을 수행하였다. 편광 현미경으로는 확인이 어려운 세립의 방사성 광물의 산출상태는 전자현미경의 후방 산란 전자영상(back-scattered electron image, BSE) 자료를 이용하여 연구하였다. 후방 산란 전자영상은 무거운 원소의 광물일수록 밝은 영상을 보이는 특성을 보이므로 무거운 방사성 원소를 포함하는 작은 부성분 광물의 산출을 확인하고 기재하는 데 유용하다. 확인된 방사성 광물에 대하여는 에너지분산분광기(energy dispersive X-ray spectrometer, EDS)를 이용하여 방사성 광물의 화학조성을 확인하였다. 전자현미경 연구는 기초과학지원연구원 대전 본원의 FE-SEM(field emission scanning electron microscope, Hitachi S-4800, Japan)을 이용하였다.
화강암 내 방사성 원소의 지구화학적 특성 연구를 위해 월악산 화강암 10개 시료 및 속리산 화강암 15개 시료를 대상으로 주원소, 미량원소, 그리고 희토류 원소를 분석하였다. 화강암 시료는 위치 대표성을 고려하여 선정하였고, 선정된 시료들은 전암 화학분석을 위하여 텅스텐 카바이드 재질의 분쇄기를 사용하여 분말 시료를 만들었다. 암석 분석은 Canada의 Actlabs에서 XRF, ICP-AES, ICP-MS, INAA를 이용하여 수행하였다. 화강암의 모드 조성 분석을 위해 전암 분석용 분말 시료를 이용하여 XRD 분석을 수행하였다. XRD 분석은 기초과학지원연구원 대전 본원에서 다목적 X-선 회절분석기(Dmax 2400, Rigaku사)를 이용하였다.
연구결과 및 토의
방사성 광물의 종류 및 산출상태
Table 1은 월악산과 속리산 화강암에서 산출되는 부성분 광물의 종류와 산출 빈도 그리고 부성분 광물에 함유된 방사성 원소 종류를 나타낸 것이다.
방사성 광물 종류: U 또는 Th을 포함하면서 두 화강암에서 공통으로 산출되는 부성분 광물은 저어콘(zircon), 제노타임(xenotime), 토라이트(thorite), 퍼구소나이트(fergusonite) 등이다. 속리산 화강암에서는 우라니나이트(uraninite)가 그리고 월악산 화강암에서는 모나자이트(monazite)가 산출된다. 불투명 광물로는 속리산 화강암에서는 자철석(magnetite)과 적철석(hematite)이, 그리고 월악산 화강암에서는 자철석과 티탄철석(ilmenite)이 산출된다. 과알루미나질 화강암에서 U을 가장 많이 포함하는 부성분 광물은 제노타임 > 우라니나이트 > 모나자이트 > 저어콘 순이며, Th을 가장 많이 포함하는 부성분 광물은 모나자이트 > 토라이트 > 저어콘 순이다(Bea, 1996). 연구지역 화강암에서도 U과 Th을 많이 함유한 부성분 광물은 과알루미나질 화강암에서와 유사한 경향을 보인다. U과 Th을 모두 함유하면서 두 지역 화강암에서 공통적으로 산출되는 Nb-산화광물의 일종인 퍼구소나이트는 과알칼리(peralkaline) 화강암에서 산출되는 대표적인 U-Th 광물이지만, 연구지역의 과알루미나질 화강암에서도 소량 산출된다. U과 Th을 포함하는 광물에는 3가지 유형이 있다. 유형 I은 U과 Th이 주성분인 우라노토라이트(uranothorite)와 같은 규산염 광물 혹은 우라니나이트와 같은 산화광물, 유형 II는 U과 Th이 다른 원소를 소량 치환하고 있는 모나자이트, 저어콘, 인회석 등과 같은 부성분 광물, 그리고 유형 III는 U과 Th을 함유하는 조암광물이 있다. 연구지역에서 산출되는 U-Th 광물은 유형 I과 II에 해당된다.
Table 1.
Abundance of accessory minerals and the radioelements they host in the Weolaksan and Sokrisan granites
방사성 광물의 산출상태와 화학조성에 관하여 기술하면 다음과 같다.
저어콘(ZrSiO4); 저어콘은 화강암에서 가장 흔한 부성분 광물로서 암석 성인의 지시자 및 절대연령 측정용으로 가장 많이 연구된 광물이다. 연구지역 저어콘은 40 µm 이내의 입자로서 주로 흑운모 내 자철석(혹은 적철석)이나 모나자이트와 함께 산출된다(Figs. 3, 5). 저어콘은 제노타임과 공생하며 산출되기도 한다(Fig. 3D). 저어콘은 방사성 원소를 거의 포함하지 않은 경우(Figs. 4C, 6B)와 U을 1.4 wt.% 포함하는 경우(Fig. 6C)에서 보는 바와 같이 하나의 박편에서도 산출되는 저어콘 입자간의 U과 Th 함량이 다르다. Th 함량은 저어콘에서 0.75 wt.%를 넘지 못하며 대부분은 20~100 ppm 정도이며, 우라니나이트에서는 10 wt.%에 달하는 경우도 있으나 10~100 ppm 정도가 가장 흔하다고 보고되어 있다(Bea, 1996). 화성암에서 저어콘 결정 내 Th과 U 함량은 매우 다양하며, 그 상대적 비는 결정 성장 과정의 물리화학적 환경에 따른 결과이다(Hoskin and Schaltegger, 2003), 일반적으로는 저어콘에는 Th 보다는 U이 상대적으로 더 흔하게 포함된다(Heaman and Parrish, 1993).
토라이트(ThSiO4); 토라이트는 메타알루미나질 및 과알루미나질의 모든 화강암에서 흔하게 산출된다. 연구지역의 토라이트는 타형(Fig. 3C), 반자형(Fig. 5C) 그리고 자형(Fig. 5D)의 결정으로 자철석, 저어콘, 제노타임 등과 함께 다양하게 산출된다. 토라이트는 U을 1~10 wt.%까지 다량으로 포함하기도 하지만 Th과 U 함량이 거의 유사한 우라노토라이트가 산출되기도 한다. 연구지역 토라이트는 3.6~4.8 wt.%의 U을 포함한다(Figs. 4A, 6A). 토라이트는 변질작용에 대한 저항성이 높지만, U 함량이 높은 토라이트 결정은 U의 붕괴로 인한 방사성 손상에 따른 미세 균열 생성과 변질작용으로 U-유출(loss)이 용이하게 일어날 수 있다(Pagel, 1982). 따라서 순수한 토라이트에 비해 우라늄을 포함한 토라이트는 지하수 내 유용한 U의 공급원이 될 수 있다.
모나자이트(LREEPO4); 모나자이트는 규장질 과알루미나 화강암에서 가장 흔하게 산출되지만 실리카 함량과 알루미나 포화도에 관계없이 모든 유형의 화강암류에서 산출된다. 모나자이트는 체라라이트(cheralite, ThCa(PO4)2), 허토나이트(huttonite, ThSiO4)와 고용체 관계이므로 Th은 U에 의해 교대되기도 한다. 체라라이트는 Th4+ + Ca2+ ↔ 2LREE3+와 같은 치환으로 모나자이트와 함께 흔하게 산출된다. 연구지역 모나자이트는 월악산 화강암의 흑운모 내부에서 주로 1~10 µm 크기의 독립 입자로 잘 산출되며, Th과 함께 LREE 원소로는 Ce과 La를 그리고 Ca과 Si를 주요 원소로 함유하지만(Fig. 4B), 속리산 화강암의 모나자이트는 방사성 원소를 거의 함유하지 않는다.
제노타임[(Y, HREE)PO4]; 제노타임은 저어콘(ZrSiO4), 코피나이트(USiO4), 토라이트(ThSiO4)와 동일구조를 갖는 고용체 광물이다. 제노타임과 저어콘의 중간상(IXZP, intermediate xenotime-zircon phase)은 제노타임과 함께 밀접히 공생하며 산출된다. 제노타임과 IXZP는 주로 과알루미나질 우백질 화강암에서 특징적으로 산출되지만 과알칼리 화강암에서도 산출된다. 연구지역 제노타임은 저어콘과 연정(Fig. 3D) 혹은 단독 결정(Fig. 5C)으로 1~20 µm 크기로 산출되기도 한다. 제노타임의 화학조성식은 (Y, HREE)PO4이지만 화강암류에서 산출되는 제노타임에서는 LREE를 포함하기도 한다.
퍼구소나이트(YNbO4); 컬럼바이트(columbite) 광물군들은 Nb, Ti, Y, U, REE를 포함하는 매우 다양한 화학조성을 갖는 광물 복합체로서 화강암과 페그마타이트에서 흔히 산출되는 부성분 광물이다. 연구지역에서 산출되는 컬럼바이트 계열의 광물은 상당량의 U, Th, LREE를 포함하는 퍼구소나이트에 해당된다(Fig. 4D). Fig. 7과 Fig. 8은 월악산과 속리산 화강암의 흑운모 내에서 산출되는 퍼구소나이트 내 원소분포를 보여준다. 월악산 화강암의 퍼구소나이트는 U과 Th를 포함하는 반면(Fig. 7), 속리산 화강암의 퍼구소나이트에서는 Th을 소량 포함하지만 U은 포함하지 않는다(Fig. 8).
우라니나이트(UO2); 우라니나이트는 과알루미나질 우백질 화강암에서 흔하게 산출되는 U이 주성분인 부성분 광물이다. 속리산 화강암의 자철석에서 퍼구소나이트와 함께 우라니나이트가 5 µm 내외의 작은 입자로 산출된다(Fig. 9B). 속리산에서 산출되는 우라니나이트는 30 wt.%의 Th를 포함하고 있어 Th-우라니나이트에 해당된다(Fig. 9D). Th을 포함하는 우라니나이트는 Th을 함유하지 않는 순수한 우라니나이트에 비해서 변질작용에 대한 저항성이 더 큰 것으로 알려져 있다(Grandstaff, 1976). 우라니나이트가 산화환경에서 열수변질 혹은 풍화작용을 받을 경우 상당량의 U-유출이 일어날 수 있어, 우라니나이트는 지하수 내 효과적인 U의 공급원이 될 수 있다.
주성분 및 방사성 원소 지구화학
주성분 원소; 월악산과 속리산 화강암의 주성분 및 미량성분 분석 결과는 Table 2와 같다. 두 화강암에서 주성분 원소들의 화학조성 범위는 73.3~79.3 wt.% SiO2, 0.8~3.0 wt.% Fe2O3(total Fe), <0.2 wt.% MgO, <0.7 wt.% CaO, <0.04 wt.% P2O5, 2.9~3.8 wt.% Na2O, 4.3~5.6 wt.% K2O이다. 두 화강암의 알루미나 포화지수인 A/CNK 비는 1.3 이상이어서 과알루미나질에 해당된다(Shand, 1943). 연구지역의 화강암은 P가 결핍되고 알칼리(7.5~9.0wt.% Na2O+K2O)가 부화된 과알루미나질 특성을 보인다. 알루미나 포화지수는 화강암의 근원암을 반영하는 중요한 지시자이다(Chappell, 1999). Jwa(2004)는 우리나라 중생대 백악기 화강암은 70% 이상의 SiO2 함량에서 높은 알루미나 포화지수을 갖지만 쥐라기 화강암과 달리 백운모나 석류석과 같은 과알루미나 광물이 산출되지는 않으므로 S-형이 아니라 고분화된 I-형 화강암의 특성을 보인다고 해석하였다. 그러나 Fig. 9A에서 보는 바와 같이, 속리산 화강암에서 안드라다이트(andradite)질 석류석의 산출이 확인되는 바 속리산 화강암이 S-형일 가능성도 있어 근원 마그마의 특성에 관한 후속적인 연구가 필요하다. 월악산과 속리산의 두 지역 화강암의 성인에 관해서는 Cheong and Chang(1997)과 Lee et al.(2010)은 유사한 마그마 기원으로 제안한 바 있다. 두 지역 화강암의 마그마 특성은 I-type으로 제안되었으나(Cheong and Chang, 1997; Jwa, 2004), A-type일 가능성도 제안된 바 있다(Lee et al., 2010).
Table 2.
Major element, trace element, and REEs contents of the Weolaksan and Sokrisan granites
방사성 원소: 연구지역 월악산 화강암의 U과 Th 함량은 각각 4.5~20.5, 27.5~102.0 ppm이며, 평균값은 각각 8.4, 46.0 ppm이다. 속리산 화강암의 U, Th 함량은 각각 1.9~23.3, 15.5~43.3 ppm이며, 평균값은 각각 8.3, 34.9 ppm이다(Table 2). 두 화강암의 U과 Th 함량 범위와 평균값은 서로 유사하며, 두 화강암의 U과 Th 전체 평균은 각각 8.3, 39.3 ppm이다. 화강암류 내 U과 Th의 세계 평균 함량은 각각 4~5, 12~15 ppm으로 보고되어 있고(Levinson, 1980; Alnour et al., 2012), 대륙지각 상부 기원의 화강암류에서 U 함량이 3~4 ppm, Th 함량이 10~15 ppm으로 보고되어 있다(Wesserburg, 1964), 연구지역 화강암류의 U과 Th의 평균 함량은 세계 평균에 비해 약 2배 정도로 높다. Hwang and Moon(2021)은 기존의 연구에서 보고된 중생대 화강암의 전암 분석 자료에서 옥천대 백악기 화강암의 U과 Th 함량이 쥐라기 화강암과 경상분지의 백악기 화강암보다 높다고 보고한 바 있다. 이는 연구지역 옥천대 백악기 화강암이 경상분지의 백악기의 화강암류와는 서로 다른 환경에서 생성되었음을 시사한다. Jwa(2004)는 백악기 화강암의 대표적인 분포지인 경상분지, 옥천대, 영동-광주분지 중에서 옥천대 화강암에서 Nd-Sr 동위원소 조성이 가장 부화된 특징을 보이는 것은 지각물질의 개입이 상대적으로 매우 컸기 때문이라고 보고하였고, Kim et al.(2012)은 옥천대 화강암은 대륙지각 물질로부터 기원된 것으로 추정하였다. 따라서 연구지역 화강암의 높은 U과 Th 함량은 고분화된 암상 특성과 함께 대륙지각 기원의 암석 성인과 관련이 있는 것으로 추정된다.
U-Th 지구화학적 특성: 일반적으로 U과 Th 함량은 분화가 진행됨에 따라 증가하지만(Rollinson, 1993), 연구지역의 고분화된 화강암에서는 SiO2 함량 증가에 대해 U은 증가하는 반면 Th은 일정한 경향을 보인다(Fig. 10A, B). U과 SiO2가 양의 상관관계를 보이는 것은 U의 암석 내 분포가 마그마 과정과 관련되어 있음을 의미한다. 비조화 원소인 U과 Th은 마그마 분화작용 동안에 U과 Th은 일반적으로 양의 상관관계를 보이지만, 기원 마그마의 종류와 분화 정도에 따라 두 원소의 상관관계는 다양할 수 있다. Fig. 11은 월악산과 속리산 화강암체 내 U의 분포를 보여주는 거품형 다이어그램(bubble diagram)으로서, 높은 U 함량은 두 화강암체의 북측 접촉 경계부에 집중되는 경향이 있다. 이는 두 화강암체의 북측부가 상대적으로 후기에 정치된 고분화 암상이기 때문인 것으로 추정된다(Yun et al., 2014).
연구지역 두 화강암의 Th/U 비의 범위와 평균값은 각각 1.8~11.7, 5.4이며 SiO2 함량이 증가함에 따라 Th/U 비는 감소하는 특성을 보인다(Fig. 10C). Th/U 비가 SiO2 함량과 음의 상관관계를 갖는 것은 과알루미나질 마그마의 분화과정에서 Th에 비해 U이 상대적으로 후기 정출 광물에 포함되는 분화특성에 기인한다(Cuney, 2014). Fig. 10C, D에서 보는 바와 같이 두 화강암의 Th/U 평균값이 5.4로 지각 평균값인 4.0(Taylor and McLennan, 1985)에 가깝다는 것은 Th과 U의 암석 내 분포가 주로 지각 기원 물질의 magmatic process에 의한 것이며 마그마 분화 후기의 열수 과정의 영향은 상대적으로 적었음을 의미한다(Yu et al., 2020).
방사성 광물
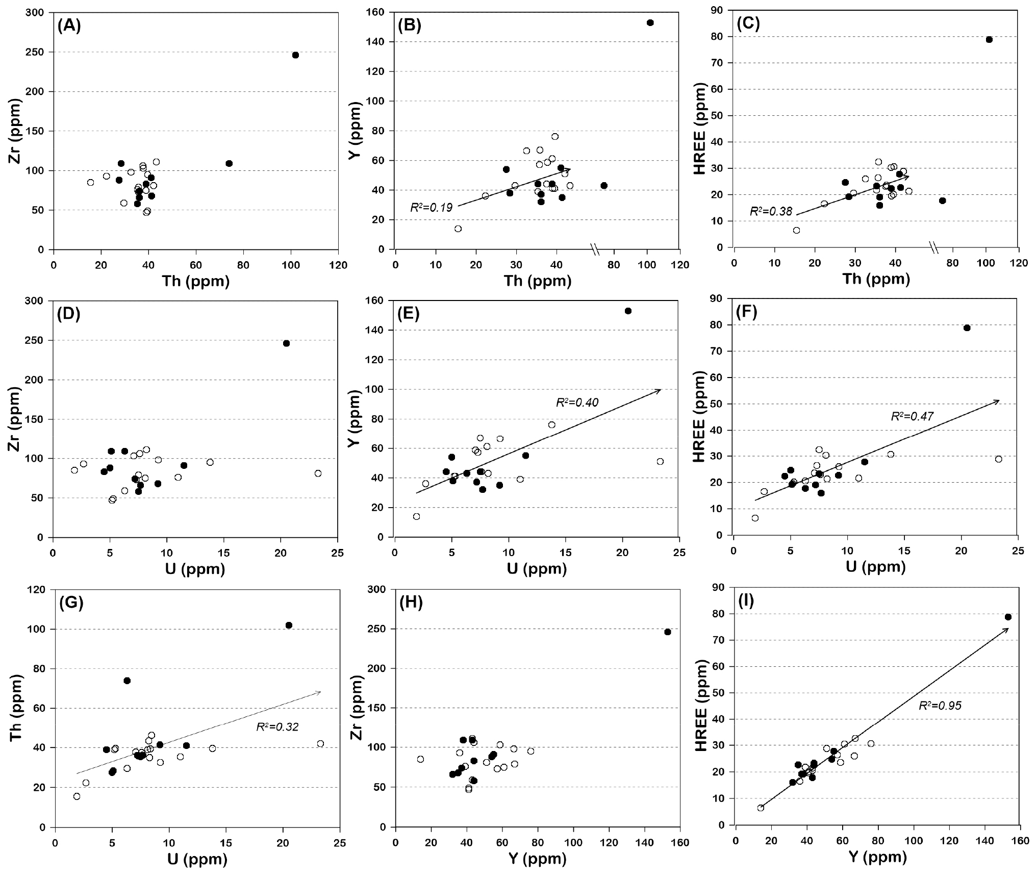
Th과 U은 친석원소이지만, 이온 반경이 크고 원자가가 높은 고장력(HFS) 원소이기도 하다. 자연계에서 우라늄은 U4+와 U6+ 상태의 높은 이온전위(ionic potential)를 가지므로 일반적인 조암광물의 결정격자 속에 쉽게 치환될 수 없어 조암광물에는 미량으로 존재하며, 상당량의 Th과 U이 저어콘, 토라이트, 제노타임 등과 같은 부성분 광물에 주로 많이 포함된다. 연구지역 화강암의 U과 Th의 평균 함량은 세계 평균 함량에 비해 약 2배 정도로 높은데, 이들 상당량의 U과 Th은 앞에서 기술한 저어콘, 토라이트, 모나자이트, 제노타임, 퍼구소나이트, 우라니나이트 등의 부성분 광물들에 포함되어 있다. 이들 광물들은 동일한 시료에서도 U과 Th 포함 여부와 함유량이 일정하지 않아 방사성 원소를 포함하는 주요 호스트 광물(host mineral)을 파악하는데 제한이 있다. Hwang and Moon(2021)은 연구지역 화강암은 방사성 원소 함량이 높고 라돈 함량이 높은 지하수가 산출되고 있음에도 불구하고 라돈의 모원소인 우라늄 함량이 높은 지하수 산출이 드문 원인을 방사성 원소를 포함하는 광물의 용해성 여부와 관련이 있다고 보고하였다. 따라서 방사성 원소를 주로 포함하는 호스트 광물의 규명은 지하수 내 자연 방사성 물질의 기원 연구에 중요하다. Fig. 12는 연구지역에서 산출되는 방사성 광물에 포함된 이온 반경이 크고 원자가가 높은 원소인 Th, U, Zr, Y, HREE 간의 상관관계를 보여준다. Th은 Y과 HREE에 대해서 미약한 양의 상관관계를 보이는 반면(Fig. 12B, C), U은 Y과 HREE에 대해 뚜렷한 양의 상관관계를 보인다(Fig. 12E, F). Zr은 Th, U, Y에 대하여 특별한 경향성을 보이지 않는다(Fig. 12A, D, H). Y는 HREE와 양의 상관관계를 보이는데(Fig. 12I) 이는 제노타임[(Y, HREE)PO4]의 화학조성을 반영한다. U과 Th이 Y과 HREE에 대하여 양의 상관관계를 공통적으로 보이는 것은 방사성 원소가 저어콘(ZrSiO4)과 모나자이트[(Th, LREE)PO4]보다는 제노타임[(Y, HREE)PO4]에 주로 함유되어 산출되기 때문인 것으로 해석된다. 또한 U과 Th이 서로 뚜렷한 양의 상관관계를 보이는 것은(Fig. 12G) U을 포함하는 토라이트(ThSiO4)와 Th을 포함하는 우라니나이트(UO2)의 산출과도 관련이 있는 것으로 추정된다.
결 론
월악산-속리산 백악기 화강암에 대한 방사성 광물 산출상태와 U-Th 지구화학에 관한 연구 결과는 다음과 같다.
(1) 월악산과 속리산 화강암 내 방사성 원소를 포함하면서 산출되는 부성분 광물은 저어콘, 토라이트, 모나자이트, 제노타임, 퍼구소나이트, 우라니나이트 등이다.
(2) 주성분 화학조성 범위는 73.3~79.3 wt.% SiO2, 0.8~3.0 wt.% Fe2O3(total Fe), <0.2 wt.% MgO, <0.7 wt.% CaO, <0.04 wt.% P2O5, 2.9~3.8 wt.% Na2O, 4.3~5.6 wt.% K2O이다. 알칼리 포화지수는 1.3 이상으로 과알루미나질 특성을 보인다.
(3) 화강암의 U과 Th 평균 함량은 각각 8.3, 39.3 ppm으로서 세계 평균에 비해 약 2배 정도로 높은 것은 고분화 암상 특성과 대륙지각 기원의 암석 성인에 기인한다.
(4) 화강암의 Th/U 평균값이 5.4로 지각 평균값에 가깝다는 것은 방사성 원소의 화강암 내 분포가 주로 지각 기원 물질의 마그마 과정에 조절되었음을 의미한다.
(5) U과 Th은 Zr, Y, HREE 간의 상관관계로 보아 저어콘이나 모나자이트 보다는 주로 제노타임에 함유되어 산출되는 것으로 해석된다.













