서론
연구지역 및 시료 분포
실내시험
실내시험 결과 분석
지역에 따른 물리 ‧ 역학적 특성
암종에 따른 물리 ‧ 역학적 특성
암종별 구성 성분에 따른 물리 ‧ 역학적 특성
단층 물질의 물리 ‧ 역학적 특성에 대한 비교 ‧ 분석
결론
서론
단층대는 터널, 비탈면, 기초 등 굴착공사 시 암반의 강도를 현저히 저하시키는 지질학적 위해요소로서 주로 단층점토(fault gouge), 각력(breccia), 파쇄암(cataclasite)으로 구성되며, 단층핵(fault core)과 손상대(damage zone)로 크게 구분된다(Caine et al., 1996; Heynekamp et al., 1999; Faulkner et al., 2003; Gudmundsson et al., 2010). 단층 작용 시 변위가 집중되는 단층핵은 지각의 지구조적 운동에 의한 마찰로 인해 암석의 파쇄와 풍화변질이 일어나 주로 세립의 물질로 구성되어 있으며, 손상대 내에는 습곡, 단열 등 단층운동과 관련된 2차 지질구조가 발달되어 있다. 이와같이 복잡한 메커니즘에 의해 생성된 단층대 내 구성 물질은 매우 불균질하고, 단층운동, 암종 및 구성 성분에 따라 다양한 특성을 보이기 때문에 구조물의 시공 시 주변에 분포하는 단층물질의 물리 ‧ 역학적 특성을 이해하는 것은 매우 중요하다. 그러나 대부분 구조물 시공 시 단층에 대한 불충분한 이해와 조사로 인해 그 특성을 명확하게 분석하지 못하고 있으며, 이는 부적절한 설계로 이어져 구조물의 안정성을 저해하는 요인으로 작용한다. 또한 단층물질은 매우 낮은 강도를 가지기 때문에 자립이 어렵고, 시료 채취 시교란이 발생하여 정형화된 시료를 채취하기 어렵기 때문에 신뢰성 높은 시험 결과를 기대하기 어렵다. 따라서 많은 연구자들은 단층물질의 역학적 특성을 규명하기 위해 다양한 시험 방법을 이용해 연구를 수행하고 있다. Ikari et al. (2009)는 편암과 셰일의 단층점토를 대상으로 실내시험을 수행하여 마찰계수를 산정하였고, Henderson et al. (2010)은 각력이 포함된 단층물질을 대상으로 링전단시험을 수행하여 기질지지(matrix-supported)의 각력이 암편지지(clastsupported)의 각력보다 낮은 전단강도 값을 보이고 파괴에더 취약한 것을 확인하였다. 또한 Haines (2013)는 단층점토를 대상으로 이축전단시험(double direct shear test)을 진행하여 점토광물(chlorite, illite, montmorillonite)에 따른 마찰계수를 산정하였으며, Moon et al. (2014)는 국내에 분포하는 단층물질을 대상으로 직접전단시험을 수행하여 수직응력과 입도별 무게비에 따른 전단강도 추정식을 제안한 바 있다. 또한 Seo et al. (2016)은 단층대를 지나는 33개의 터널의 현장 및 실내시험 자료로부터 단층물질의 역학적 특성의 분포 범위를 분석하고, RMR V등급 암반과 비교분석한 바 있다. 이외에도 단층점토 자체의 전단강도에 대한 연구(Sulem et al., 2004; Lee et al., 2007; Tesei et al., 2012; Yun et al., 2015), 단층점토가 절리면 사이의 충전물로서 미치는 영향에 대한 연구(Kulatilake et al., 1995; Sinha and Singh, 2000; Jang et al., 2010; Woo, 2012), 터널과 같은 구조물의 시공을 위한 단층물질의 역학적 특성에 대한 연구(Heo et al., 2007; Chung et al., 2009; Kim et al., 2012) 등이 지속적으로 수행되고 있다.
본 연구에서는 단층물질의 물리 ‧ 역학적 특성을 규명하기 위해 국내의 75개 단층에서 채취한 109개의 단층물질을 대상으로 각종 실내시험을 실시하여 물리 ‧ 역학적 특성을 분석하였다. 실내시험으로는 각종 물성 시험과 입도분석, XRD (X-ray diffraction) 분석, 직접전단시험 등을 실시하였고, 시험 결과로부터 단위중량, 비중, 공극률, 자갈함량, 실트/점토 함량, 점토광물함량, 내부마찰각, 점착력을 도출하였다. 시험결과를 바탕으로 지역, 암종 및 구성 성분에 따른 단층물질의 물리 ‧ 역학적 특성을 분석하였으며, 기존 연구사례와의 비교를 통해 실험 결과의 신뢰성을 검증하였다.
연구지역 및 시료 분포
국내에 분포하는 단층물질의 물리 ‧ 역학적 특성을 분석하기 위해 75개 단층에서 채취한 109개의 단층물질을 대상으로 실내시험을 실시하였다. 단층물질은 강원도 6개소, 경상도 44개소, 충청도 20개소, 전라도 5개소의 단층에서 채취하였다(Fig. 1a). 암종별로는 화강암이 38개로 가장 많으며, 셰일 31개, 안산암 29개, 천매암 6개, 편마암 3개, 편암 2개이다(Fig. 1b). 또한, 구성 성분별 단층물질은 파쇄암이 74개로 가장 많으며, 단층점토 13개, 손상대 22개이다(Fig. 1c).
실내시험
단층물질에 대한 시료채취는 단층점토(Fig. 2a), 파쇄암(Fig. 2b) 및 손상대(Fig. 2c)로 구분하여 실시하였다. 단층점토와 파쇄암에서 측정한 물리 ‧ 역학적 특성은 건조단위중량, 비중, 공극률, 자갈함량, 실트/점토 함량, 점토광물 함량, 내부마찰각 및 점착력이며, 손상대에서 채취한 물질은 비정형 암석 시료로서 정확한 부피 측정이 어렵기 때문에 점토광물 함량과 내부마찰각, 점착력만을 측정하였다.
단위중량과 비중시험은 흙의 함수비 측정방법(ASTM D2216-10)과 흙의 비중시험법(ASTM D854-10)을 준용하였으며(Fig. 3a and 3b), 공극률은 흙의 삼상도 관계식으로부터 산정하였다. 입도 분석은 흙의 체가름시험(ASTM D 422-63)과 흙의 씻기 시험방법(KS F 2309)을 이용하여(Fig. 3c) 4.75 mm 이상의 입자는 자갈, 0.075 mm 이하의 입자는 실트/점토로 구분하였다. 또한 점토광물의 함량은 XRD 분석을 통해 정량화하였고, 내부마찰각과 점착력은 직접전단시험(ASTM D 3080-11; ASTM D 5607-08)을 통해 결정하였다(Fig. 3d). 한편 단층 손상대에서 채취한 암석 시료는 시험을 위한 시료 성형이 어렵기 때문에 비정형시료를 대상으로 직접전단시험을 실시하였다. 비정형시료에 대한 직접전단시험은 일반적인 절리면 전단시험과 달리 한번 파괴된 후 시험에 이용될 수 없기 때문에 동일한 장소에서 다수의 시료를 채취하여 시험을 실시하였다. 또한 시료의 전단 면적에 따라 달라지는 수직응력 조건을 반영하기 위해 시험 전 디지털 작업을 통해 전단면의 면적을 측정한 후 시험을 실시하였다(Fig. 3e).
실내시험 결과 분석
지역, 암종 및 구성 성분에 따른 단층물질의 물리 ‧ 역학적 특성을 분석하기 위하여 실내시험 결과에 대한 상자그림(box plot)을 작성하였다. 상자그림은 Tukey (1970)가 제안한 것으로 그룹별 데이터의 양이 많을 때 각 그룹의 중앙값(median), 사분위수 범위(interquartile range, IQR), 수염 범위(whisker range)를 비교함으로써 그룹 간 데이터 분포를 쉽게 가시화할 수 있는 방법이다. 또한 상자그림은 사분위수 범위와 수염 범위를 설정함으로써 이상치(outlier data)를 판별할 수 있다. 그러나 본 연구에서는 이상치가 포함되면 y축의 스케일에 의해 사분위수 범위가 명확하게 표현되지 않기 때문에 이상 데이터를 제거하고 상자그림을 작성하였다.
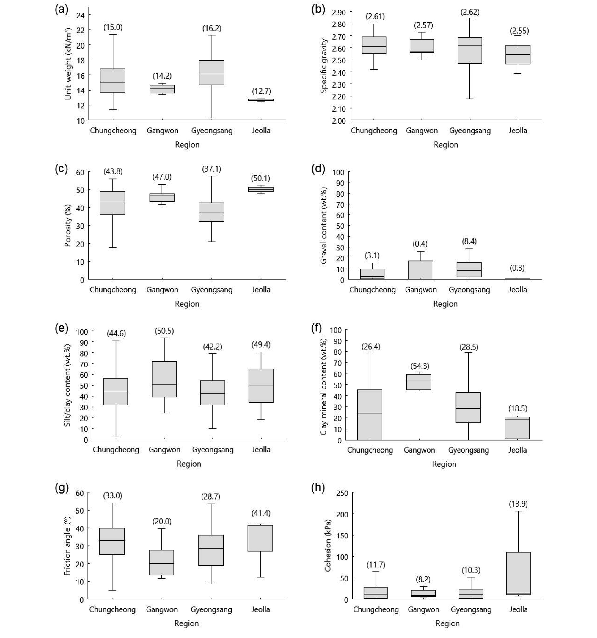
지역에 따른 물리 ‧ 역학적 특성
단층물질의 특성은 단층운동의 특성에 지배를 받아 단층별로 차이가 있을 것으로 예상되지만 본 연구가 초기연구인점을 감안하여 지역에 따른 단층물질의 물리 ‧ 역학적 특성을 분석해 보았다. 단위중량의 IQR은 충청도와 경상도에서 각각 13.7~16.8 kN/m3, 14.7~17.9 kN/m3으로 넓은 분포 범위를 보이며, 강원도와 전라도는 각각 13.6~14.7 kN/m3, 12.6~12.8 kN/m3로 상대적으로 좁은 분포 범위를 보인다(Fig. 4a). 또한 단위중량의 중앙값은 경상도에서 16.2 kN/m3으로 가장 큰 값을 보이며, 전라도에서 12.7 kN/m3로 가장 낮은 값을 보인다. 비중은 경상도에서 2.47~2.69로 가장 넓은 IQR을 보이나, 중앙값은 2.55~2.62로 지역별로 큰 차이를 보이지는 않는다(Fig. 4b). 공극률의 IQR은 단위중량과 동일하게 충청도와 경상도에서 각각 36.1~48.9%, 32.1~42.6%로 넓게 분포하지만, 중앙값은 강원도와 전라도에서 각각 47.0%, 50.1%로 충청도와 경상도에 비해 높은 값을 보인다(Fig. 4c). 입도분석을 통해 산정한 자갈 함량의 IQR은 전체적으로 0.1~17.3 wt.%에 분포하며, 중앙값은 10.0 wt.% 이하의 값을 나타낸다(Fig. 4d). 또한 실트/점토 함량의 중앙값은 각 지역별로 42.2~50.5 wt.%로 큰 차이를 보이지 않으나(Fig. 4e), XRD 분석을 통해 산정한 점토광물 함량의 중앙값은 18.5~54.3 wt.%로 지역별로 큰 차이를 보인다(Fig. 4f). 특히 강원도에서 채취한 단층물질은 다른 지역에 비해 1.9~2.9배 높은 점토광물을 함유하고 있는 것으로 나타났다. 이는 강원도의 단층물질이 대부분 선캠브리아기 또는 고생대에 생성된 암석에서 채취한 것으로서 다른 지역의 단층물질보다 풍화, 속성, 열수 및 변성 작용 등 점토광물이 생성될 수 있는 환경에 더 오랜 기간 동안 노출되었기 때문인 것으로 판단된다. 한편 내부마찰각과 점착력의 중앙값은 손상대 시료가 많이 포함되어 있는 전라도에서 각각 41.4o와 13.9 kPa로 가장 높은 값을 보이며, 점착력의 IQR은 전라도에서 10.6~110.2 kPa로 넓게 분포하지만 다른 지역에서는 30 kPa 이하의 IQR을 보인다(Fig. 4g and 4h).
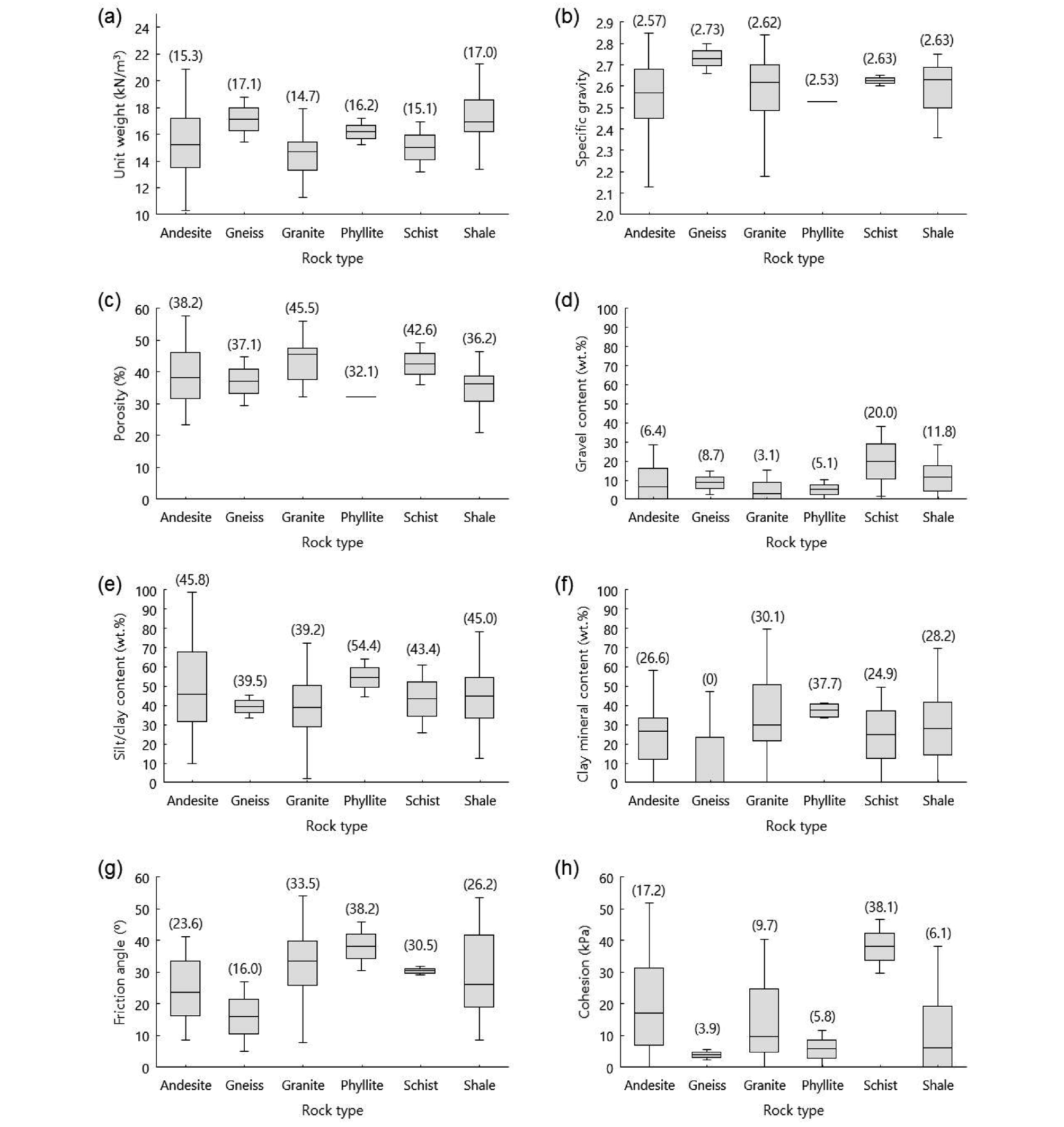
암종에 따른 물리 ‧ 역학적 특성
단층 물질을 포함하는 기반암의 암종에 따른 물리 ‧ 역학적 특성을 분석하였다. 분석대상 암종은 화강암, 안산암, 셰일, 천매암, 편암 및 편마암으로 6종류이다. 단위중량은 건조단위중량을 분석한 것으로서, IQR은 안산암에서 13.5~17.2 kN/m3로 가장 넓은 범위를 보이며, 중앙값은 모든 암종에서 14.7~17.1 kN/m3로 산정되었다(Fig. 5a). 비중의 경우 안산암과 화강암, 셰일에서 각각 2.45~2.68, 2.49~2.70, 2.50~2.69로 다른 암종에 비해 상대적으로 넓은 IQR을 보이지만, 중앙값은 모든 암종이 2.53~2.73으로 큰 차이를 보이지 않는다(Fig. 5b). 공극률의 중앙값은 화강암과 편암에서 각각 45.5%, 42.6%로 가장 큰 값을 보이며, 천매암에서 32.1%로 가장 작은 값을 보인다(Fig. 5c). 자갈 함량의 중앙값은 편암이 20.0 wt.%, 셰일이 11.8 wt.%로 측정되었고, 다른 암종들은 약 10.0 wt.% 이하의 중앙값을 보인다(Fig. 5d). 실트/점토함량의 중앙값은 천매암에서 54.4 wt.%로 가장 큰 값을 보이며, 다른 암종들은 39.2~45.8 wt.%로 산정되었다(Fig. 5e). 점토광물 함량은 화강암에서 21.5~51.1 wt.%로 가장 넓은 IQR을 보이며, 중앙값은 천매암에서 37.7 wt.%로 가장 큰 값을 보인다(Fig. 5f). 내부마찰각과 점착력은 천매암과 편암이 각각 38.2o와 38.1 kPa로 가장 큰 중앙값을 보이며, 편마암은 내부마찰각과 점착력이 각각 16.0o, 3.9 kPa로 가장 낮은 중앙값을 보인다(Fig. 5g and 5h).
암종별 구성 성분에 따른 물리 ‧ 역학적 특성
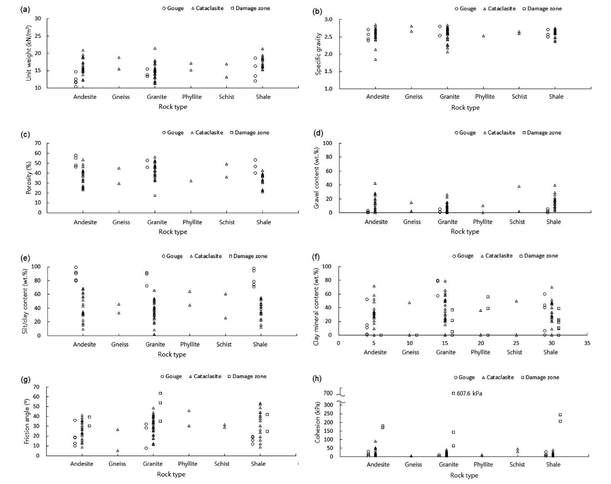
Fig. 5에서 분석한 암종별 단층물질의 물리 ‧ 역학적 특성을 구성 성분별로 세분화하여 분석하였다. 단층점토와 파쇄암의 구분은 Sibson (1977)과 Takagi and Kobayashi (1996)의 단층암 분류 기준을 준용하였다. 이들은 암편의 함량 30%를 기준으로 단층암을 분류하였는데 육안으로 확인이 가능한 크기의 물질(visible fragment)을 암편으로 규정하고, 암편이 30% 이상인 경우 단층파쇄암, 30% 이하인 경우 단층점토로 분류하였다. 따라서 암편은 조립자와 세립자의 경계인 0.075mm를 기준으로 단층점토와 파쇄암을 구분하였다.
Fig. 6은 단층 물질의 암종별 구성 성분에 따른 물리 ‧ 역학적 특성의 분석 결과를 나타낸 것이며, Table 1은 평균값을 요약한 것이다. 단층점토의 평균 단위중량은 안산암 12.1 kN/m3, 화강암 14.1 kN/m3, 셰일 15.1 kN/m3로 동일한 암종의 파쇄암보다 낮은 값을 보인다(Fig. 6a; Table 1). 이는 세립분으로 구성된 단층점토의 공극률이 파쇄암보다 높은값을 보이기 때문이며(Fig. 6c), 비중의 경우 구성된 흙 입자 자체의 밀도를 나타내는 특성이므로 단층점토와 파쇄암이 큰 차이를 보이지 않는다(Fig. 6b). 자갈함량은 파쇄암에서 0~42.4 wt.%로 넓게 분포하며, 실트/점토는 단층점토에서 71.0wt.% 이상의 함량을 보인다(Fig. 6d and 6e). XRD 분석을 통한 점토광물 함량의 경우 화강암의 단층점토에서 71.6 wt.%의 높은 평균값을 보이나, 이외의 경우 약 15.1~33.8 wt.%의 평균값을 보인다(Fig. 6f; Table 1). 단층점토의 내부마찰각은 모든 암종에서 35.8o 이하이며, 평균값은 안산암 18.9o, 화강암 22.7o, 셰일 16.4o로 산정되었다(Fig. 6g; Table 1). 파쇄암의 평균 내부마찰각은 안산암 25.1o, 화강암 31.1o, 셰일 32.9o로 단층점토보다 큰 값을 보이며(Table 1), 암편의 영향으로 인해 5.1~53.7o로 매우 넓은 분포 범위를 보인다(Fig. 6g). 손상대의 경우 평균 내부마찰각이 화강암 50.9o, 셰일 33.6o이고, 단층점토와 파쇄암에서 24.8o 이상으로 산정되었다(Fig. 6g; Table 1). 점착력의 경우 파쇄암은 단층점토에 비해 넓은 분포 범위를 보이나 대부분 50 kPa이하로 산정되었으며, 손상대는 64.5 kPa 이상으로 단층점토와 단층파쇄암에 비해 상대적으로 큰 점착력을 보인다(Fig. 6h).
단층 물질의 물리 ‧ 역학적 특성에 대한 비교 ‧ 분석
단층물질은 불균질성으로 인해 시료채취 위치, 시험방법, 생성환경 등에 따라 다른 특성을 보인다. 따라서 국내 단층대에서의 시험 자료를 분석한 기존 연구 사례(Seo et al., 2016)와의 비교를 통해 단층 물질의 물리 ‧ 역학적 특성을 분석하였다. Seo et al. (2016)의 연구 결과는 단층대를 통과하는 33개 터널에서 수행한 584개의 각종 현장 및 실내시험 자료로서 단위중량, 내부마찰각 및 점착력을 대상으로 비교분석하였다.
암종에 따른 단위중량을 분석한 결과, 모든 암종에서 Seo et al. (2016)의 연구결과 값이 높은 IQR을 보이며, 중앙값도 18.9~22.7 kN/m3 범위에 분포하여 본 연구의 14.7~17.1kN/m3보다 높은 값을 보인다(Fig. 7a). 내부마찰각은 안산암, 화강암, 셰일의 경우 본 연구의 IQR 내에 Seo et al. (2016)의 연구결과가 분포하며, 중앙값은 편마암과 천매암에서 차이가 있을 뿐 다른 암종에서 거의 유사한 결과 값을 보이는 것으로 나타났다(Fig. 7b). 점착력의 경우 중앙값은 편암에서 본 연구의 결과 값이 38.1 kPa로 Seo et al. (2016)의 연구 결과 값 36.0 kPa보다 약간 높을 뿐 다른 암종에서는 Seo et al. (2016)의 연구 결과 값이 11.8~34.6 kPa 더 높은 값을 보인다(Fig. 7c). 단위중량, 내부마찰각 및 점착력의 비교분석 결과, 본 연구 결과 값이 전반적으로 낮게 나타나는데 그 주된 이유는 시험 환경에 의한 영향 때문인것으로 판단된다. 점착력과 내부마찰각의 경우 본 연구는 실내에서의 직접전단시험만을 실시하였지만, Seo et al. (2016)의 연구에서는 실내에서의 직접전단시험 및 삼축압축시험, 현장에서의 시추공 전단시험을 실시한 결과를 반영한 것이다. 또한 본 연구에 이용된 단층 물질은 대부분 단층점토 및 파쇄암이기 때문에 손상대 분석 자료가 많은 Seo et al. (2016)의 연구 결과보다 낮게 산정되는 특징을 보이고 있다.
결론
본 연구에서는 단층물질의 물리 ‧ 역학적 특성을 분석하기 위해 국내의 75개 단층에서 채취한 109개의 단층물질을 대상으로 실내시험을 실시하였다. 실내시험을 통해 건조단위 중량, 비중, 공극률, 자갈함량, 실트/점토 함량, 점토광물 함량, 내부마찰각 및 점착력을 산정하고, 지역, 암종 및 구성성분에 따른 물리 ‧ 역학적 특성을 분석하였다.
(1) 단층물질의 지역별 물리 ‧ 역학적 특성을 상자그림을 통해 분석한 결과, 전라도의 단층물질은 타 지역과 비교했을 때 단위중량, 자갈함량 및 점토광물 함량에서 각각 12.7kN/m3, 0.3 wt.%, 18.5 wt.%로 가장 낮은 중앙값을 보이나, 공극률, 내부마찰각, 점착력은 각각 50.1%, 41.4o, 13.9 kPa로 가장 높은 중앙값을 보인다.
(2) 암종에 따른 단층물질의 물리 ‧ 역학적 특성은 편마암의 경우 단위중량과 비중에서 각각 17.1 kN/m3와 2.73으로 가장 높은 중앙값을 보이며, 화강암은 공극률과 점토광물 함량에서 각각 45.5%와 30.1 wt.%로 가장 높은 중앙값을 보인다. 또한 편암은 자갈함량 20.0 wt.%와 점착력 38.1 kPa, 천매암은 실트/점토 함량 54.4 wt.%와 내부마찰각 38.2o로 각각 가장 높은 중앙값을 보인다.
(3) 암종별 구성 성분에 따른 분석 결과, 비중의 평균값은 단층점토에서 2.52~2.66로 파쇄암의 2.53~2.73과 큰 차이를 보이지 않으며, 단층점토의 공극률과 실트/점토 함량은 각각 46.5~51.6%, 82.9~88.2 wt.%로 파쇄암의 32.6~42.6%, 37.1~54.4 wt.%에 비해 큰 평균값을 보인다. 공극률과 실트/점토 함량을 제외한 다른 인자들의 물리 ‧ 역학적 특성은 단층점토가 파쇄암 및 손상대보다 낮은 값을 보이는 것으로 나타났다.
(4) 기존의 연구 사례(Seo et al., 2016)와 단위중량, 내부 마찰각 및 점착력을 비교 ‧ 분석한 결과, 전반적으로 본 연구의 결과 값이 낮은 것으로 나타났다. 이는 시험 환경의 차이에 따른 영향이며, 본 연구에 이용된 단층물질은 대부분은 단층점토 및 파쇄암으로서 손상대에서 분석한 자료가 많은 Seo et al. (2016)의 연구 결과보다 낮게 산정된 것으로 판단된다.
(5) 본 연구에서 분석된 변성암 단층물질의 경우 시료의 수가 다른 암종에 비해 상대적으로 적기 때문에 향후 추가적인 시료채취 및 시험을 통해 지역 및 암종별 물리 ‧ 역학적 특성을 상세히 분석할 필요가 있으며, 단층 환경, 손상정도 및 시험 방법 등 다양한 조건을 고려하여 분석을 수행한다면 구조물 설계 및 시공 시 더욱 신뢰성 있는 자료로서 활용될 수 있을 것이다.










