서 론
쇄석다짐말뚝공법의 개요
시료조성 및 실내실험
시료조성
실험장비구현 및 실내실험
실내실험 결과
가속도계 매설깊이에 따른 PGA분석 결과
하부지반 대비 상부지반의 가속도 증폭비 분석 결과
가속도계 위치별 응답스펙트럼 분석 결과
결 론
서 론
최근 국내의 지속적인 발전에 따른 생활용지, 사회 기반시설 등의 개발 요구는 증가하고 있으나 조건을 충족하는 지반은 제한되어 있다. 이에 따라 국토의 효율적인 이용을 위하여 연약지반 개발이 필요한 실정이다.
연약지반 개량의 경우 시공성, 경제성에 따라 여러 가지 공법들이 적용되고 있고, 주로 혼합처리공법, 진동다짐공법, 탈수공법 및 치환공법 등으로 구분이 가능하다. 이 중 조립토를 적용한 다짐말뚝공법은 여러 연약지반 개량공법 중 상부구조물에 의한 하중을 적절히 지지하기 위한 보강공법으로 경제적이며 효율적인 것으로 확인된다. 다짐을 이용한 말뚝공법은 연약지반상에 모래나 쇄석 등의 조립토 재료를 적용하여 연약지반을 최소 10%에서 최대 40% 이내로 치환하여 일정하게 압입하는 과정을 거친후 지반내 말뚝을 조성하여 연약지반의 지지력을 상향시키는 공법이다.
조립토 다짐말뚝공법은 1830년대에 Moreau(1835)에 의해 무기고의 기초를 건설하는 과정에서 개발되었으며, 임의의 심도에서 지반의 다짐이 가능한 실용적인 장비와 기법이 개발되어 사용되었다. 이 쇄석다짐말뚝은 Vibro flotation 기술이 개발되기 전인 1930년대까지는 거의 사용되지 않았으며(Hughes and Withers, 1974), 1960년대 이후 쇄석다짐말뚝에 대한 연구가 본격적으로 시작되었다(Kim, 2009).
Seed and Booker(1977)는 쇄석다짐말뚝의 시공과정에서 발생할 수 있는 간극수압의 소산 식을 제안하여 지진 시 쇄석다짐말뚝의 시공에 따른 해석을 수행하였다. 위의 연구들은 Hughes and Withers(1974)의 연구를 기초로 하여 수십 년간 단일말뚝에 대한 연구가 진행되어 왔으며, 무리말뚝에 대해서는 Barksdale and Bachus(1983), Hu et al.(1997)에 의해 진행되었다.
2020년 이후로는 Kim(2022)이 쇄석다짐말뚝으로 보강된 연약지반의 전단파괴 및 히빙발생 사례에 대한 연구를 수행하고, Choi et al.(2022a)은 재료에 따른 다짐말뚝 구근형성 메커니즘에 대한 연구와 다짐말뚝 시공시 공극 막힘 현상에 대한 분석을 수행하였다(Choi et al., 2022b).
이처럼 쇄석다짐말뚝에 대한 연구는 꾸준히 수행되었으나, 국내지진파인 경주, 포항지진파와 다양한 주파수대역의 인공지진파를 고려한 종합적인 연구는 수행되어지지 않았다. 본 연구에서는 첫째, 실제지반에서의 쇄석다짐말뚝 보강에 의한 하부지반의 동적거동특성을 확인하고자 하였으며, Deepsoil을 이용한 1차원 지반응답해석의 검증과 선형시간이력해석을 통한 실제지반에서의 거동특성을 확인하고자 하였다.
쇄석다짐말뚝공법의 개요
지반개량공법은 보강, 고결, 다짐, 압밀배수, 치환 등의 원리가 기본이다. 쇄석다짐말뚝공법은 압밀배수와 보강 및 다짐을 기본원리로 형성하며 연약지반의 일정 부분을 안정된 재료로 치환하여 복합지반을 형성하는 기초보강공법이다.
쇄석다짐말뚝공법은 과잉간극수압의 소산을 통해 점토지반의 압밀을 촉진하는 공법이다. 수평배수재를 통해 상재하중은 지반에 전이되지만, 상부에 의한 응력이 지지층까지 전달되지 못하고 말뚝체와 주변지반이 하중을 분담하여 복합지반의 거동을 나타내며, 하중에 의해 쇄석다짐말뚝이 팽창하여 주변지반에 수평응력과 말뚝체의 전단저항력에 의하여 지지력이 상승하게 된다. Fig. 1은 해당 공법의 개념도를 제시하고 있다.
시료조성 및 실내실험
시료조성
본 연구에서 사용된 실내모형실험시료의 경우 풍화토와 점성토의 두 가지 시료를 사용하였다. 쇄석다짐말뚝의 연약지반개량을 개량시 적용하므로, 모형지반의 상부는 점성토, 하부지반은 풍화토를 고려하여 실험을 수행하였다. Table 1은 실험에 사용한 시료의 토질실험 결과를 나타낸 것이고, Fig. 2는 두 시료의 입도분포 곡선을 나타낸 것이다.
Table 1.
Subsurface distribution according to ground survey locations and depths
| Classification | (kg/cm2) | (%) | #200 (%) | ||
| Weathered soil | 2.80 | 1.63 | 18.8 | 90.1 | |
| Cohesive soil | 2.63 | 1.73 | 14.7 | 9.0 |
실험장비구현 및 실내실험
1g 진동대
Fig. 3은 본 연구에서 사용된 1g 진동대 시험 장비를 나타내며, 주요 사양은 Table 2에 정리되어 있다. 가진기의 본체 크기는 3,000(L) × 1,000(B) × 500(H) mm이며, 가진 테이블의 크기는 2,000 × 600(L × B) mm로 설계되었고, 최대 허용 재하 중량은 1.5 t이다. 가진기 스트로크는 최대 200 mm (±100 mm)이며, 실린더와 스트로크에는 비접촉식 변위 센서(측정 범위: 20 mm)가 장착되어 있다. 유압 서보 시스템은 380 V 전기모터를 기반으로 210 bar의 압력을 사용하며, 최대 10 tf의 출력이 가능한 1축 변위 제어 방식으로 구성되어 있다.
시험은 Processor Controller를 통해 변위 제어 입력을 설정하고, 유압 펌프에서 발생한 압력을 서보 액추에이터가 동하중으로 변환함으로써 이루어진다. 이때 액추에이터에 탑재된 비접촉식 센서를 통해 발생 변위를 계측하고, 그 값을 Processor Controller가 실시간으로 수신하여 입력파형을 제어한다. 이러한 시스템을 통해 가진 판 위에 설치된 모형 또는 실제 규모 구조물의 변위, 가속도, 간극수압 등의 다양한 물리량을 정밀하게 계측할 수 있다.
Table 2.
Specifications of the 1g shaking table test equipment
| Classification | Specifications |
| Table size | 2,000 × 600 mm |
| Maximum acceleration | 1.0 g |
| Full payload | 1.8 tonf |
| Stroke | 200 mm (±100 mm) |
| Maximum capacity at dynamic | 5.1 tonf |
실험수행모델
시험 수행에 앞서 진동대의 제원 및 제반 시험조건을 고려한 상사법칙을 적용하여 원형의 1/40 크기로 구현하였으며, 상부 점성토 15 m, 하부 풍화토 5 m를 구현하고자 하였다. 해석케이스는 무보강 수평지반과 쇄석다짐말뚝으로 보강된 수평지반의 2케이스 실험을 수행하였으며, 입력하중은 Table 3과 같이 대표적인 단주기파와 장주기파인 Ofunato파, Hachinohe파와 최근 국내에 발생된 경주지진파, 포항지진파를 입력하였고 추가적으로 인공지진파를 사용하였다. 총 2가지 경우를 조성 후 5가지의 지진하중을 입력하여 동적 모형 시험을 수행하였다.
Table 3은 시험수행케이스를 나타낸 것이다.
Table 3.
Experimental model case
| Classification | Input seismic wave |
| Unreinforced | Ofunato wave |
| Hachinohe wave | |
| G.C.P | Gyeong-ju wave |
| Pohang wave | |
| Artificial wave |
Fig. 4와 Table 3은 쇄석다짐말뚝의 간격과 직경을 나타낸 것으로 본 연구에서 적용한 말뚝의 직경과 규격은 1/40 스케일을 반영하여 Table 4와 같이 적용하였다. 실내모형실험시 축소된 말뚝의 직경과 계측센서의 크기를 고려하여 사각배치로 조성하였다.
Table 4.
Pile spacing and crushed stone diameter
| Classification | Pile diameter (mm) | Gravel diameter (mm) | Pile spacing (mm) |
| Model test (1/40 Scale) | 20.0 | 2.0 | 55.0 |
| Actual ground | 800.0 | 80.0 | 2,200.0 |
Fig. 5는 가속도계 매설 위치별 분석 방향을 나타낸 것으로 지반의 심도에 따른 가속도 증폭의 경향과 지반 보강에 따른 가속도 증폭의 경향을 확인하고자 다음과 같은 방향으로 분석을 수행하였다.
쇄석다짐말뚝의 경우 자갈을 100%로 구성하여 주입하였으며, 무보강 지반과의 가속도 증폭을 확인하기 위하여 말뚝의 좌측, 중앙, 우측의 세 구간으로 나누어 가속도 센서를 매설하였다. 말뚝의 배치를 1열과 2, 3, 4열로 적용한 것은 단일말뚝과 군말뚝의 배치에 따른 지반보강의 효과와 가속도 증폭비를 확인하기 위하여 다음과 같이 배치하였다.
입력지진파
Fig. 6은 실내모형시험에 사용된 입력지진파를 나타낸 것이다. 지진파는 실제 어떤 위치에서 기록된 지진파형으로 지진이 발생한 진원지에서부터 지표면으로 도달하면서 매질 즉, 지반의 특성에 따라서 파의 성분이 달라진다. 따라서 어떤 파는 장주기 성분이 우월한 파가 되기도 하고, 단주기 성분이 탁월한 파가 되기도 하다. 장주기 성분이 많다는 것은 상대적으로 지반이 유연해서 장주기 특성을 많이 갖고 있는 매질을 통과한 지진파가 기록되었다는 의미이고, 단주기 성분이 많다는 것은 상대적으로 지반이 단단하거나, 암반과 같은 지반특성을 많이 갖는 매질을 통과한 지진파가 기록되었다는 의미이다.
현재까지 기록된 실제 기록지진 중에서 장주기 지진파로 대표적인 Hachinohe 지진파(1968년, 일본 Tokachi-Oki 관측, 진도 7.9, 최대가속도 0.170 g)와 단주기 지진파로 대표적인 Ofunato 지진파(1968년, 일본 Tokachi-Oki, 진도 7.4, 최대가속도 0.161 g)를 선정하였다. 상기의 지진기록은 일본에서 구조물의 내진설계에 가장 많이 이용되는 기록이고 내진설계시 현장여건에 맞게 지진파를 조정하여 동해석에 사용할 수 있다. 그리고 국내에서 발생된 경주지진파(2016년 경주, 규모 5.8)와 포항지진파(2017년 포항, 규모 5.4)를 적용하여 국내여건에 맞는 지진여건을 본 실험에 조성하여 수행하였다. 구조물의 내진설계는 중요도에 따라 특등급 및 1등급, 내진성능수준에 따라 기능수행수준과 붕괴방지수준으로 구분하여 적절한 해석방법을 사용한다.
모형사면 조성
Fig. 7은 실내모형실험의 지반조성과정을 나타낸 것이다. 현장시공여건과 가장 유사한 환경을 조성하기 위하여, 먼저 하부 풍화토 지반을 조성하고, 가속도계를 매설하고자 하였다. 하부 풍화토층의 경우 다짐도 90%이상으로 조성하였으며, 90%의 다짐도의 경우, 다짐실험을 통한 흙의 건조단위중량을 확인하고 그에 따른 토조 체적별 흙의 중량을 산정하였다. 토조높이의 5 cm씩 주입하며 D다짐봉을 이용한 층다짐을 수행하였다. 다짐이 완료된 풍화토층에 대하여 케이싱을 삽입한 후에 가속도계 매설위치도와 같이 센서를 매설하였고, 축소스케일에 따라 말뚝의 직경을 배치하였다.
상부 점성토층의 경우 하부 풍화토층과 마찬가지로 5 cm씩 층다짐을 수행하고자 하였으며, 연약지반 조건을 고려하여 다짐도 50% 이하의 환경을 조성하고자 하였으며, 다짐봉을 사용하지 않고 시료 주입후, 지반의 평탄화 작업만 수행하였다. 점성토 시료의 주입 완료 후, 케이싱을 제거하고 공극에 자갈을 넣고 다짐을 수행하였다. 다짐이 완료된 후, 압밀이 진행되도록 24시간 동안 상재하중을 가한 후에 가진을 수행하였다.
실내실험 결과
가속도계 매설깊이에 따른 PGA분석 결과
Fig. 8은 가속도계 매설깊이에 따른 최대지반가속도(PGA)를 비교하고, 쇄석다짐말뚝(GCP) 보강 유무에 따른 영향을 분석한 결과이다. 무보강 지반의 경우, 상부 대비 하부에서의 평균 증폭률은 약 61.57%로 나타났으며, 입력된 각 지진파별 증폭률은 Ofunato 84.60%, Hachinohe 58.20%, 경주 32.95%, 포항 46.33%, 인공지진파 85.79%로 나타났다.
GCP 보강이 적용된 경우, 보강 위치에 따라 증폭률 감소 정도에 차이를 보였다. 좌측 보강부는 평균 52.25%로 무보강 대비 9.32% 감소하였고, 중앙 보강부는 41.23%로 20.34%의 가장 큰 감소폭을 보였다. 우측 보강부는 52.85%로 8.72%의 감소율을 나타냈다. 이러한 결과는 보강 위치에 따라 진동의 상향 전달 경로가 달라지며, 특히 중앙부에 집중된 보강이 상하방향 진동에 대해 가장 효과적인 감쇠 효과를 보였다는 것을 의미한다.
이는 GCP 보강체가 진동에너지를 흡수 또는 분산시키는 역할을 하며, 진동대 실험에서 확인된 바와 같이 실구조물의 기초 중심부에 보강이 집중될 경우 더욱 효율적인 동적 안정성을 확보할 수 있음을 시사한다.
무보강의 경우 61.57%의 가속도 증폭율을 확인하였고, 보강지반의 경우 최소 41.23에서 최대 52.85%의 가속도 증폭을 확인하였다. 무보강 대비 보강시 가속도 폭률의 감소 폭은 최소 8.72%에서 최대 20.34%의 감소폭을 확인할 수 있었다. Table 5는 사석보강에 따른 계측기 매설 위치별 가속도증폭 결과를 나타낸 것이다.
Table 5.
Analysis of response spectrum acceleration according to reinforcement location in cross-sectional models
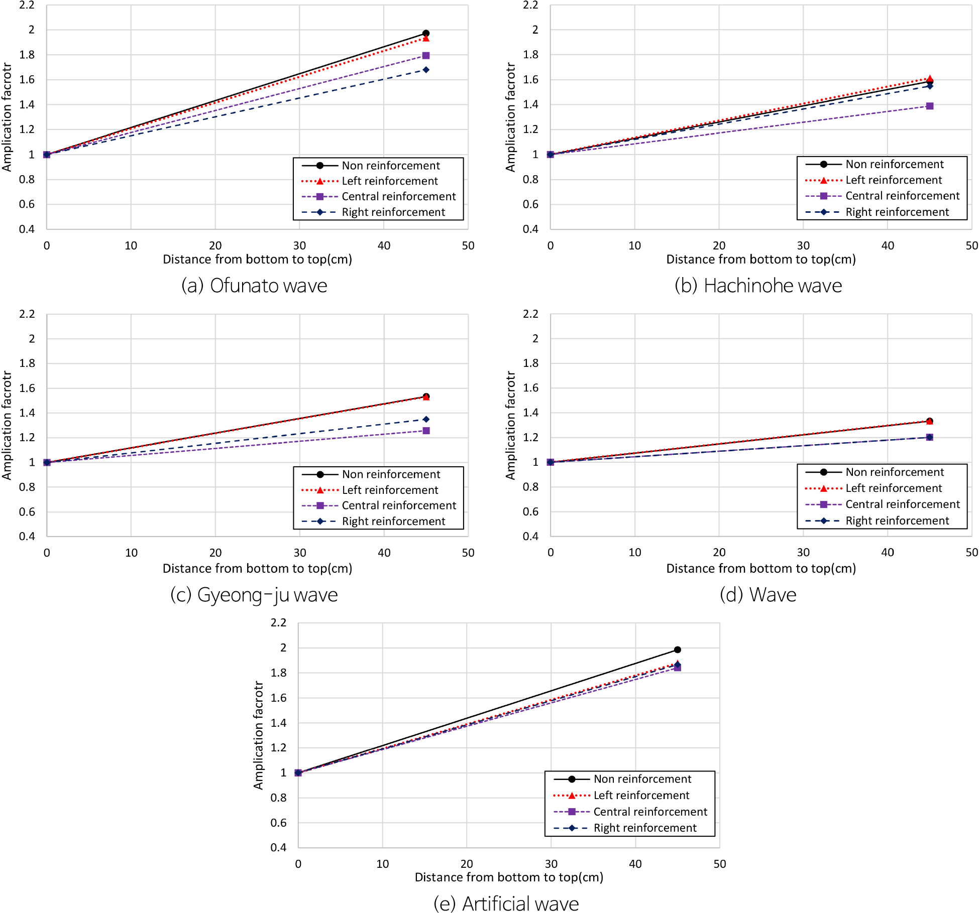
하부지반 대비 상부지반의 가속도 증폭비 분석 결과
Fig. 9는 각 입력 지진파에 대해 지반 하부에서 상부로 전달되는 가속도의 증폭비를 비교하여, 쇄석다짐말뚝(GCP) 보강 전후의 동적 거동 차이를 분석한 것이다. 무보강 상태에서는 상부 가속도가 하부 대비 평균 약 1.68배로 증폭되었으며, 이는 연약지반에서 지진하중이 상부로 전파될 때 진동이 확대되는 특성을 반영한다.
Ofunato 지진파의 경우, 무보강 상태에서 1.97배의 증폭이 발생하였으며, GCP 보강이 적용된 좌측, 중앙, 우측에서는 각각 1.93배, 1.79배, 1.68배로 다소 감소한 응답을 보였다. Hachinohe 지진파는 무보강 1.58배에 비해 보강 좌측 1.61배, 중앙 1.39배, 우측 1.55배로 나타났으며, 좌우 보강의 경우 감소폭이 작거나 오히려 증가한 사례도 확인되었다.
경주 지진파에서는 무보강 시 1.53배였던 반면, 보강 좌측 1.52배, 중앙 1.26배, 우측 1.35배로 나타났으며, 중앙 보강부에서 가장 효과적인 감쇠효과를 나타냈다. 포항 지진파는 무보강 1.33배, 보강 좌측 1.32배, 중앙 및 우측 모두 1.20배로 분석되었으며, 증폭 억제 효과가 상대적으로 명확히 나타났다. 인공지진파에서는 무보강 1.98배에 비해, 보강 좌측 1.88배, 중앙 1.84배, 우측 1.87배로 모두 감소하는 경향을 보였다.
이러한 결과는 GCP 보강체가 진동의 상향 전파를 제어하는 데 유효함을 보여주며, 특히 중앙부에 보강된 경우에서 가장 일관된 감쇠효과를 나타냈다. 이는 GCP가 지반의 진동 중심 경로에 위치할 경우, 하중을 주변으로 분산시키고 에너지 전달을 흡수 또는 저감하는 기능을 수행하고 있음을 시사한다. 또한 일부 사례에서는 보강에도 불구하고 증폭비가 크게 변하지 않은 경우도 존재하였는데, 이는 지진파의 주기 특성 및 보강 위치와의 상호작용에 따라 감쇠 성능이 다르게 나타날 수 있음을 의미한다.
가속도계 위치별 응답스펙트럼 분석 결과
동하중이 발생할 때 지반의 응답은 지진동의 주파수와 지반의 고유진동수(Natural frequency)에 따라 달라진다. 응답스펙트럼은 서로 다른 고유진동수를 갖는 지진동에 대한 최대응답을 선형으로 표현한 것이고, 이때 응답변수를 가속도로 하는 경우 가속도 응답스펙트럼이라 칭한다.
스펙트럼 가속도(Spectral acceleation)는 동하중이 여러 가지 주기의 진동계에 주는 최대 응답가속도를 나타낸다. 특정 지진에 대해 단자유도 구조물이 갖는 응답(가속도)은 감쇠비가 일정한 경우에 고유진동수에 따라 변한다. 서로 다른 고유진동수를 갖는 단자유도 구조물의 최대응답을 크기로 하고, 고유진동수(또는 고유주기)를 가로축으로 하여 그린 그림을 응답스펙트럼이라고 한다. 이 가속도 응답스펙트럼을 이용하면 실제 시험에 이용한 동하중 이외의 주파수 범위에서 발생하는 증폭을 확인할 수 있으며, 본 시험에서 사용한 지진파로 보이지 않는 증폭 특성을 확인할 수 있다.
모형지반의 위치별 대표 가속도계를 선정하여 계측한 응답가속도 증폭특성을 가속도 응답스펙트럼을 통하여 표현하였다. 위치별 대표 가속도계는 무보강의 경우 하부(ACC2), 중심부(ACC6), 상부(ACC10)로 선정하였고, 보강조건의 경우 하부(ACC4), 중심부(ACC8), 상부(ACC12)로 적용하였다. 가속도 응답스펙트럼 도출을 위해 계측된 가속도 데이터를 1차원 지반 응답 해석프로그램인 Deepsoil V7.0을 이용하여 변환하였다.
Fig. 10은 각 지진파에 대한 가속도 응답스펙트럼(SA)을 도출하여, 주기별 응답 특성을 비교한 것이다. 분석은 무보강 조건(하부: ACC2, 중심: ACC6, 상부: ACC10)과 GCP 보강 중앙부 조건(하부: ACC4, 중심: ACC8, 상부: ACC12)을 기준으로 수행되었다.
무보강 지반의 경우, 하부 대비 상부의 스펙트럼 가속도 증폭률은 Ofunato 67.33%, Hachinohe 48.20%, 경주 27.38%, 포항 87.48%, 인공지진파 42.83%로 나타났다. GCP 보강 후에는 각각 65.99%, 40.16%, 10.16%, 60.78%, 30.27%로 증폭률이 감소하였다. 보강에 따른 증폭률 감소폭은 Ofunato 1.34%, Hachinohe 8.04%, 경주 17.22%, 포항 26.70%, 인공지진파 12.56%로 확인되었다.
특히 경주 및 포항 지진파처럼 중 ‧ 장주기 성분이 포함된 파형에서는 GCP 보강 효과가 더욱 뚜렷하게 나타났으며, 이는 GCP가 해당 주기대역에서의 진동 응답을 효과적으로 제어함을 시사한다. 응답스펙트럼 상에서도 보강 후 상부의 응답이 전체 주기영역에서 감소하는 경향을 보여, GCP 보강이 단순한 정적 지지력 향상을 넘어서 지진하중에 대한 동적 감쇠 성능까지 제공함을 실험적으로 입증한 결과로 볼 수 있다.
Table 6.
Analysis of response spectrum acceleration according to reinforcement location in cross-sectional models
결 론
본 연구는 쇄석다짐말뚝(gravel compaction pile, GCP) 보강이 연약지반의 동적 거동에 미치는 영향을 정량적으로 분석하기 위하여 1g 진동대 실내모형실험을 수행하였으며, 무보강 및 보강 조건에 대해 다양한 지진하중을 입력하여 지반의 가속도 응답특성 및 증폭률, 응답스펙트럼 등을 비교하였다. 실험 및 해석을 통해 도출된 주요 결론은 다음과 같다.
(1) PGA 기반 증폭률 분석 결과, 무보강 지반에서는 상부 대비 하부의 평균 증폭률이 61.57%로 확인되었고, GCP 보강이 이루어진 경우 위치에 따라 41.23~52.85%로 감소하였다. 특히 중앙부 보강에서 가장 낮은 평균 증폭률(41.23%)을 보여 무보강 대비 20.34%의 증폭 억제 효과를 나타냈다. 이는 진동의 중심 전달경로인 중앙부에 GCP가 집중될 경우 말뚝체 및 주변 치환 영역이 지진하중을 효과적으로 분산 및 감쇠함을 의미하며, 구조물 하부에 집중 보강 시 더 나은 내진 성능 확보가 가능함을 시사한다.
(2) 지반 상 ‧ 하부 간 가속도 증폭비 분석에서는 무보강 시 평균 약 1.68배의 증폭이 나타났으며, 보강 적용 시 최소 1.20배까지 감소하였다. 경주, 포항 지진파와 같이 주기가 중간 정도이거나 에너지 함량이 높은 지진파에 대해 GCP 보강이 뚜렷한 효과를 발휘하였으며, 이는 지반의 고유진동수와 입력지진파의 주기가 공진을 일으키는 것을 방지하거나 제어하는 데 GCP가 효과적으로 작용함을 보여준다. 또한, 실내모형의 스케일 특성상 강체 반응보다 유연한 거동이 우세한 조건에서도 감쇠 효과가 명확하게 드러났다는 점은 실규모 구조물에서도 적용 가능성을 높여준다.
(3) 응답스펙트럼 분석을 통해 보강 유무에 따른 전 주기 영역에서의 응답 특성을 확인한 결과, 무보강 시에는 포항(87.48%), Ofunato(67.33%) 등에서 높은 스펙트럼 가속도 증폭률이 나타난 반면, 보강 후에는 포항에서 60.78%, Ofunato에서 65.99%로 감소하였다. 최대 감소폭은 포항 지진파에서 26.70%로 분석되었으며, 이는 GCP가 단자유도계 구조물의 고유주기와 중첩되는 중 ‧ 장주기 영역에서의 응답을 효과적으로 감쇠시킴을 보여준다.
(4) 이상의 결과를 종합하면, GCP 보강은 연약지반의 지지력 향상뿐만 아니라 지진하중에 대한 동적 응답을 저감시키는 내진 보강 효과를 동시에 제공할 수 있으며, 보강 위치와 배열에 따라 감쇠 성능이 달라질 수 있음을 실험적으로 검증하였다. 따라서 GCP 보강은 단순한 정적 안정성 확보를 넘어서, 지반-구조물 시스템의 동적 안전성 확보를 위한 실질적인 내진 설계 수단으로 고려될 수 있다.












